Номер 3.196, страница 197 - гдз по алгебре 9 класс учебник Арефьева, Пирютко

Алгебра, 9 класс Учебник, авторы: Арефьева Ирина Глебовна, Пирютко Ольга Николаевна, издательство Народная асвета, Минск, 2019, голубого цвета

Авторы: Арефьева И. Г., Пирютко О. Н.

Тип: Учебник

Издательство: Народная асвета

Год издания: 2019 - 2026

Цвет обложки: голубой, синий с графиком

ISBN: 978-985-03-3077-2

Допущено Министерством образования Республики Беларусь

Популярные ГДЗ в 9 классе

Глава 3. Дробно-рациональные уравнения и неравенства. Параграф 13. Дробно-рациональные неравенства. Метод интервалов для решения рациональных неравенств - номер 3.196, страница 197.

№3.196 (с. 197)
Условие. №3.196 (с. 197)
скриншот условия
Алгебра, 9 класс Учебник, авторы: Арефьева Ирина Глебовна, Пирютко Ольга Николаевна, издательство Народная асвета, Минск, 2019, голубого цвета, страница 197, номер 3.196, Условие

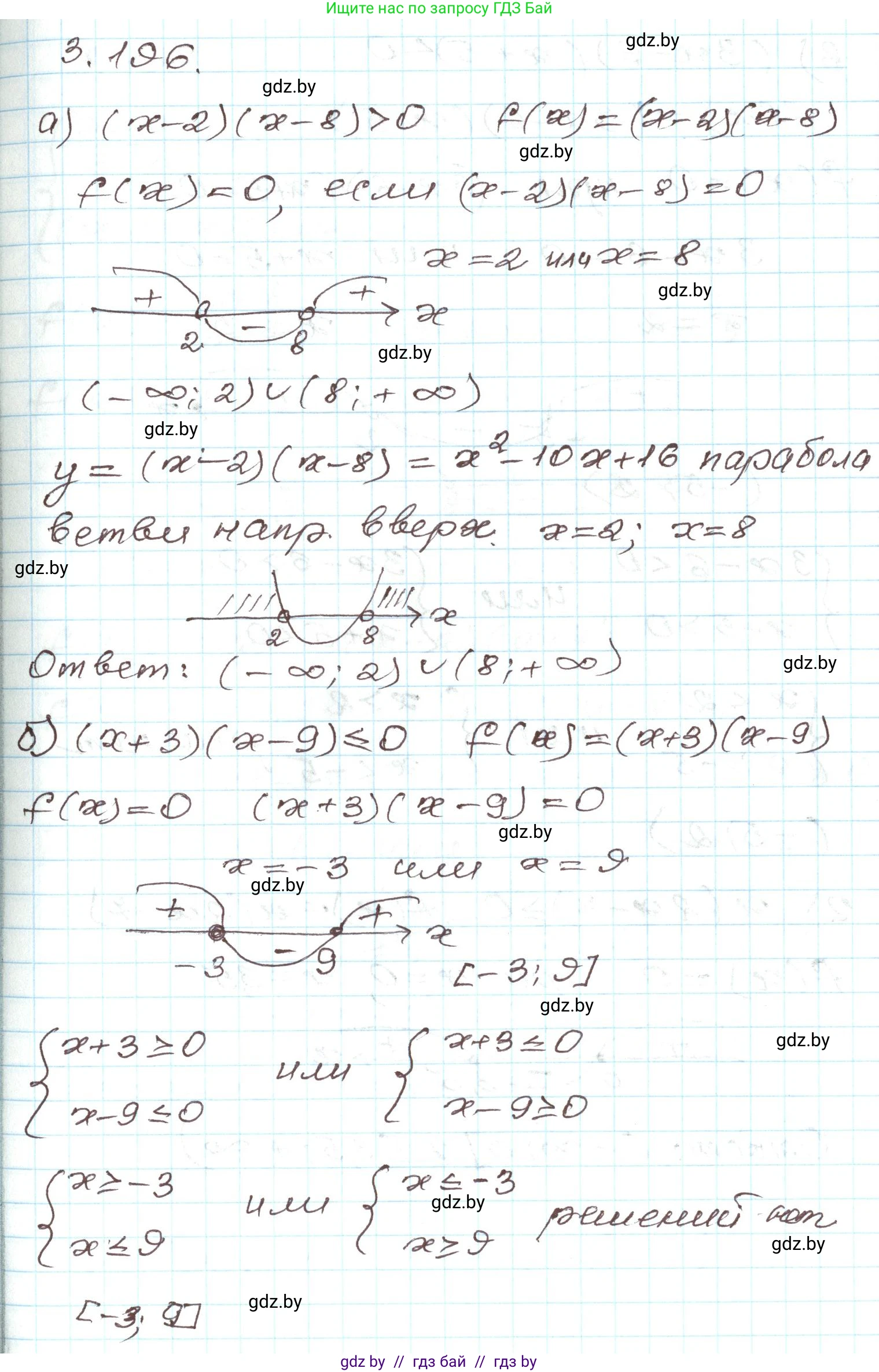
3.196. Решите неравенство двумя способами:

а) $(x - 2)(x - 8) > 0;$

б) $(x + 3)(x - 9) \leq 0;$

в) $(3x - 6)(x + 5) < 0;$

г) $x(2x - 7) \geq 0.$

Решение. №3.196 (с. 197)
Алгебра, 9 класс Учебник, авторы: Арефьева Ирина Глебовна, Пирютко Ольга Николаевна, издательство Народная асвета, Минск, 2019, голубого цвета, страница 197, номер 3.196, Решение Алгебра, 9 класс Учебник, авторы: Арефьева Ирина Глебовна, Пирютко Ольга Николаевна, издательство Народная асвета, Минск, 2019, голубого цвета, страница 197, номер 3.196, Решение (продолжение 2)
Решение 2. №3.196 (с. 197)

а) $(x-2)(x-8) > 0$

Способ 1: Метод интервалов

  1. Найдем корни уравнения $(x-2)(x-8) = 0$. Корнями являются $x_1=2$ и $x_2=8$.
  2. Отметим эти корни на числовой оси. Так как неравенство строгое ($>0$), точки будут выколотыми (пустыми). Ось разделяется на три интервала: $(-\infty; 2)$, $(2; 8)$ и $(8; +\infty)$.
  3. Определим знак выражения $(x-2)(x-8)$ на каждом интервале, подставляя в него любое значение из этого интервала.
    • При $x > 8$ (например, $x=10$): $(10-2)(10-8) = 8 \cdot 2 = 16 > 0$. Знак "+".
    • При $2 < x < 8$ (например, $x=3$): $(3-2)(3-8) = 1 \cdot (-5) = -5 < 0$. Знак "-".
    • При $x < 2$ (например, $x=0$): $(0-2)(0-8) = (-2) \cdot (-8) = 16 > 0$. Знак "+".
  4. По условию, выражение должно быть больше нуля, поэтому выбираем интервалы со знаком "+".

Способ 2: Графический метод

  1. Рассмотрим функцию $y = (x-2)(x-8)$, что эквивалентно $y = x^2 - 10x + 16$.
  2. Графиком этой функции является парабола. Коэффициент при $x^2$ равен $1$ ($a=1 > 0$), значит, ветви параболы направлены вверх.
  3. Точки пересечения параболы с осью Ox (нули функции) — это корни уравнения $x^2 - 10x + 16 = 0$, то есть $x_1=2$ и $x_2=8$.
  4. Схематически изобразим параболу: она пересекает ось Ox в точках 2 и 8, ветви направлены вверх.
  5. Неравенство $(x-2)(x-8) > 0$ выполняется там, где график функции находится выше оси Ox.
  6. Из графика видно, что это происходит при $x < 2$ и при $x > 8$.

Ответ: $x \in (-\infty; 2) \cup (8; +\infty)$.


б) $(x+3)(x-9) \le 0$

Способ 1: Метод интервалов

  1. Найдем корни уравнения $(x+3)(x-9) = 0$. Корнями являются $x_1=-3$ и $x_2=9$.
  2. Отметим эти корни на числовой оси. Так как неравенство нестрогое ($\le 0$), точки будут закрашенными. Ось разделяется на три промежутка: $(-\infty; -3]$, $[-3; 9]$ и $[9; +\infty)$.
  3. Определим знак выражения $(x+3)(x-9)$ на каждом интервале.
    • При $x > 9$ (например, $x=10$): $(10+3)(10-9) = 13 \cdot 1 = 13 > 0$. Знак "+".
    • При $-3 < x < 9$ (например, $x=0$): $(0+3)(0-9) = 3 \cdot (-9) = -27 < 0$. Знак "-".
    • При $x < -3$ (например, $x=-4$): $(-4+3)(-4-9) = (-1) \cdot (-13) = 13 > 0$. Знак "+".
  4. По условию, выражение должно быть меньше или равно нулю, поэтому выбираем промежуток со знаком "-" и включаем его концы.

Способ 2: Графический метод

  1. Рассмотрим функцию $y = (x+3)(x-9)$, то есть $y = x^2 - 6x - 27$.
  2. Графиком является парабола с ветвями, направленными вверх, так как коэффициент при $x^2$ равен $1$ ($a=1 > 0$).
  3. Нули функции: $x_1=-3$ и $x_2=9$.
  4. Схематически парабола пересекает ось Ox в точках -3 и 9.
  5. Неравенство $(x+3)(x-9) \le 0$ выполняется там, где график функции находится на оси Ox или ниже неё.
  6. Это происходит на отрезке между корнями, включая сами корни.

Ответ: $x \in [-3; 9]$.


в) $(3x-6)(x+5) < 0$

Способ 1: Метод интервалов

  1. Найдем корни уравнения $(3x-6)(x+5) = 0$.
    $3x-6=0 \Rightarrow 3x=6 \Rightarrow x=2$.
    $x+5=0 \Rightarrow x=-5$.
    Корнями являются $x_1=-5$ и $x_2=2$.
  2. Отметим корни на числовой оси выколотыми точками (неравенство строгое, $<0$). Получаем интервалы: $(-\infty; -5)$, $(-5; 2)$ и $(2; +\infty)$.
  3. Определим знак выражения $(3x-6)(x+5)$ на каждом интервале.
    • При $x > 2$ (например, $x=3$): $(3\cdot3-6)(3+5) = 3 \cdot 8 = 24 > 0$. Знак "+".
    • При $-5 < x < 2$ (например, $x=0$): $(3\cdot0-6)(0+5) = -6 \cdot 5 = -30 < 0$. Знак "-".
    • При $x < -5$ (например, $x=-6$): $(3\cdot(-6)-6)(-6+5) = (-24) \cdot (-1) = 24 > 0$. Знак "+".
  4. Нас интересует интервал, где выражение меньше нуля (знак "-").

Способ 2: Графический метод

  1. Рассмотрим функцию $y = (3x-6)(x+5)$, что эквивалентно $y = 3x^2 + 9x - 30$.
  2. Графиком является парабола с ветвями, направленными вверх, так как коэффициент при $x^2$ равен $3$ ($a=3 > 0$).
  3. Нули функции: $x_1=-5$ и $x_2=2$.
  4. Схематически парабола пересекает ось Ox в точках -5 и 2.
  5. Неравенство $(3x-6)(x+5) < 0$ выполняется там, где график функции находится ниже оси Ox.
  6. Это происходит на интервале между корнями.

Ответ: $x \in (-5; 2)$.


г) $x(2x-7) \ge 0$

Способ 1: Метод интервалов

  1. Найдем корни уравнения $x(2x-7) = 0$.
    $x_1=0$.
    $2x-7=0 \Rightarrow 2x=7 \Rightarrow x_2 = \frac{7}{2}$.
    Выделим целую часть из дроби: $x_2 = 3\frac{1}{2}$.
  2. Отметим корни на числовой оси закрашенными точками (неравенство нестрогое, $\ge 0$). Получаем промежутки: $(-\infty; 0]$, $[0; 3\frac{1}{2}]$ и $[3\frac{1}{2}; +\infty)$.
  3. Определим знак выражения $x(2x-7)$ на каждом интервале.
    • При $x > 3\frac{1}{2}$ (например, $x=4$): $4(2\cdot4-7) = 4 \cdot 1 = 4 > 0$. Знак "+".
    • При $0 < x < 3\frac{1}{2}$ (например, $x=1$): $1(2\cdot1-7) = 1 \cdot (-5) = -5 < 0$. Знак "-".
    • При $x < 0$ (например, $x=-1$): $-1(2\cdot(-1)-7) = (-1) \cdot (-9) = 9 > 0$. Знак "+".
  4. Нас интересуют промежутки, где выражение больше или равно нулю (знак "+"), включая концы.

Способ 2: Графический метод

  1. Рассмотрим функцию $y = x(2x-7)$, то есть $y = 2x^2 - 7x$.
  2. Графиком является парабола с ветвями, направленными вверх, так как коэффициент при $x^2$ равен $2$ ($a=2 > 0$).
  3. Нули функции: $x_1=0$ и $x_2=\frac{7}{2} = 3\frac{1}{2}$.
  4. Схематически парабола пересекает ось Ox в точках 0 и $3\frac{1}{2}$.
  5. Неравенство $x(2x-7) \ge 0$ выполняется там, где график функции находится на оси Ox или выше неё.
  6. Это происходит при $x \le 0$ и при $x \ge 3\frac{1}{2}$.

Ответ: $x \in (-\infty; 0] \cup [3\frac{1}{2}; +\infty)$.

Помогло решение? Оставьте отзыв в комментариях ниже.

Присоединяйтесь к Телеграм-группе @gdz_by_belarus

Присоединиться

Мы подготовили для вас ответ c подробным объяснением домашего задания по алгебре за 9 класс, для упражнения номер 3.196 расположенного на странице 197 к учебнику 2019 года издания для учащихся школ и гимназий.

Теперь на нашем сайте ГДЗ.ТОП вы всегда легко и бесплатно найдёте условие с правильным ответом на вопрос «Как решить ДЗ» и «Как сделать» задание по алгебре к упражнению №3.196 (с. 197), авторов: Арефьева (Ирина Глебовна), Пирютко (Ольга Николаевна), учебного пособия издательства Народная асвета.