Номер 3.197, страница 197 - гдз по алгебре 9 класс учебник Арефьева, Пирютко

Алгебра, 9 класс Учебник, авторы: Арефьева Ирина Глебовна, Пирютко Ольга Николаевна, издательство Народная асвета, Минск, 2019, голубого цвета

Авторы: Арефьева И. Г., Пирютко О. Н.

Тип: Учебник

Издательство: Народная асвета

Год издания: 2019 - 2026

Цвет обложки: голубой, синий с графиком

ISBN: 978-985-03-3077-2

Допущено Министерством образования Республики Беларусь

Популярные ГДЗ в 9 классе

Глава 3. Дробно-рациональные уравнения и неравенства. Параграф 13. Дробно-рациональные неравенства. Метод интервалов для решения рациональных неравенств - номер 3.197, страница 197.

№3.197 (с. 197)
Условие. №3.197 (с. 197)
скриншот условия
Алгебра, 9 класс Учебник, авторы: Арефьева Ирина Глебовна, Пирютко Ольга Николаевна, издательство Народная асвета, Минск, 2019, голубого цвета, страница 197, номер 3.197, Условие

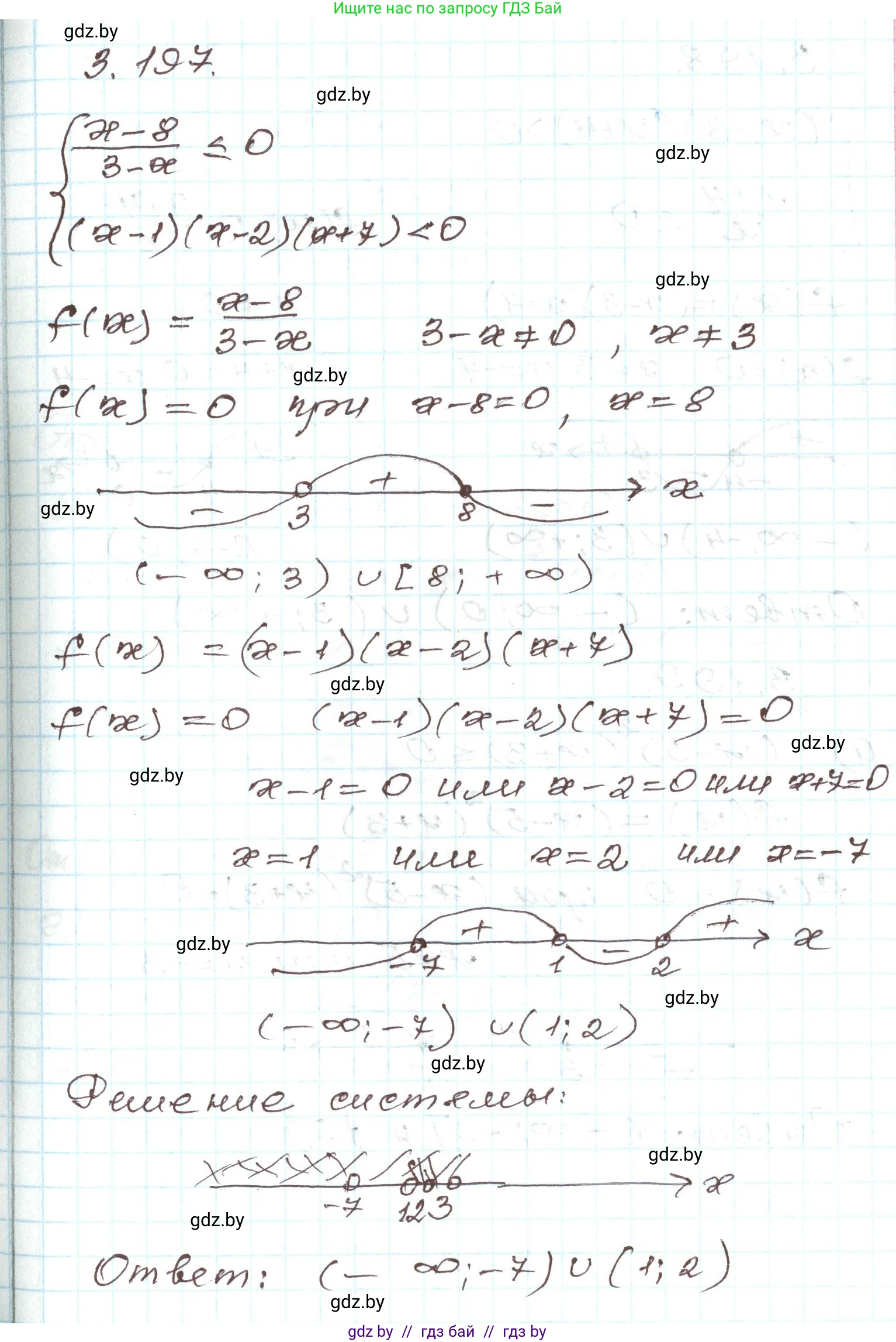
3.197. Решите систему неравенств

$$ \begin{cases} \frac{x-8}{3-x} \le 0, \\ (x-1)(x-2)(x+7) < 0. \end{cases} $$
Решение. №3.197 (с. 197)
Алгебра, 9 класс Учебник, авторы: Арефьева Ирина Глебовна, Пирютко Ольга Николаевна, издательство Народная асвета, Минск, 2019, голубого цвета, страница 197, номер 3.197, Решение
Решение 2. №3.197 (с. 197)

Для решения данной системы необходимо решить каждое неравенство по отдельности, а затем найти пересечение их множеств решений.

1. Решение первого неравенства $\frac{x-8}{3-x} \le 0$

Это дробно-рациональное неравенство, которое решается методом интервалов.
Сначала найдем точки, в которых числитель или знаменатель обращаются в ноль:

  • Нуль числителя: $x - 8 = 0 \implies x = 8$. Эта точка включается в решение, так как неравенство нестрогое ($\le$).
  • Нуль знаменателя: $3 - x = 0 \implies x = 3$. Эта точка всегда исключается из решения (выкалывается), так как деление на ноль недопустимо.

Наносим точки $x=3$ (выколотая) и $x=8$ (закрашенная) на числовую ось. Они разбивают ось на три интервала. Определим знак выражения $\frac{x-8}{3-x}$ на каждом из них:

  • Интервал $(-\infty, 3)$: возьмем $x=0$. $\frac{0-8}{3-0} = -\frac{8}{3} < 0$. Знак "минус".
  • Интервал $(3, 8]$: возьмем $x=5$. $\frac{5-8}{3-5} = \frac{-3}{-2} = \frac{3}{2} > 0$. Знак "плюс".
  • Интервал $[8, +\infty)$: возьмем $x=10$. $\frac{10-8}{3-10} = \frac{2}{-7} < 0$. Знак "минус".

Нам нужны интервалы, где значение выражения меньше или равно нулю. Это интервалы со знаком "минус".
Ответ: $x \in (-\infty, 3) \cup [8, +\infty)$.

2. Решение второго неравенства $(x-1)(x-2)(x+7) < 0$

Это полиномиальное неравенство, которое также решается методом интервалов.
Найдем корни многочлена в левой части:
$(x-1)(x-2)(x+7) = 0 \implies x_1 = 1, x_2 = 2, x_3 = -7$.
Поскольку неравенство строгое ($<$), все эти точки будут выколотыми на числовой оси.
Точки $-7, 1, 2$ разбивают числовую ось на четыре интервала. Определим знаки выражения на них, начав с крайнего правого:

  • Интервал $(2, +\infty)$: возьмем $x=3$. $(3-1)(3-2)(3+7) = 2 \cdot 1 \cdot 10 = 20 > 0$. Знак "плюс".
  • Поскольку все корни имеют нечетную кратность (1), знаки на интервалах будут чередоваться:
    Интервал $(1, 2)$: знак "минус".
    Интервал $(-7, 1)$: знак "плюс".
    Интервал $(-\infty, -7)$: знак "минус".

Нам нужны интервалы, где значение выражения меньше нуля. Это интервалы со знаком "минус".
Ответ: $x \in (-\infty, -7) \cup (1, 2)$.

3. Нахождение решения системы неравенств

Теперь найдем пересечение (общую часть) решений, полученных на предыдущих шагах.

  • Решение первого неравенства: $x \in (-\infty, 3) \cup [8, +\infty)$.
  • Решение второго неравенства: $x \in (-\infty, -7) \cup (1, 2)$.

Изобразим эти множества на одной числовой прямой. Пересечением будут интервалы, принадлежащие обоим решениям.
Пересечение множества $(-\infty, 3) \cup [8, +\infty)$ с множеством $(-\infty, -7) \cup (1, 2)$ состоит из двух интервалов:
$(-\infty, -7)$ и $(1, 2)$.
Таким образом, решением системы является объединение этих интервалов.
Ответ: $x \in (-\infty, -7) \cup (1, 2)$.

Помогло решение? Оставьте отзыв в комментариях ниже.

Присоединяйтесь к Телеграм-группе @gdz_by_belarus

Присоединиться

Мы подготовили для вас ответ c подробным объяснением домашего задания по алгебре за 9 класс, для упражнения номер 3.197 расположенного на странице 197 к учебнику 2019 года издания для учащихся школ и гимназий.

Теперь на нашем сайте ГДЗ.ТОП вы всегда легко и бесплатно найдёте условие с правильным ответом на вопрос «Как решить ДЗ» и «Как сделать» задание по алгебре к упражнению №3.197 (с. 197), авторов: Арефьева (Ирина Глебовна), Пирютко (Ольга Николаевна), учебного пособия издательства Народная асвета.