Номер 3.29, страница 150 - гдз по алгебре 9 класс учебник Арефьева, Пирютко

Алгебра, 9 класс Учебник, авторы: Арефьева Ирина Глебовна, Пирютко Ольга Николаевна, издательство Народная асвета, Минск, 2019, голубого цвета

Авторы: Арефьева И. Г., Пирютко О. Н.

Тип: Учебник

Издательство: Народная асвета

Год издания: 2019 - 2026

Цвет обложки: голубой, синий с графиком

ISBN: 978-985-03-3077-2

Допущено Министерством образования Республики Беларусь

Популярные ГДЗ в 9 классе

Глава 3. Дробно-рациональные уравнения и неравенства. Параграф 10. Дробно-рациональные уравнения - номер 3.29, страница 150.

№3.29 (с. 150)
Условие. №3.29 (с. 150)
скриншот условия
Алгебра, 9 класс Учебник, авторы: Арефьева Ирина Глебовна, Пирютко Ольга Николаевна, издательство Народная асвета, Минск, 2019, голубого цвета, страница 150, номер 3.29, Условие

3.29*. Найдите корни уравнения:

a) $\frac{1}{x-1} - \frac{3}{x^2+2} = \frac{3}{x^3-x^2+2x-2}$;

б) $\frac{4}{x^2-16} - \frac{1}{x^2+8x+16} = \frac{10}{x^3-16x-4x^2+64}$.

Решение. №3.29 (с. 150)
Алгебра, 9 класс Учебник, авторы: Арефьева Ирина Глебовна, Пирютко Ольга Николаевна, издательство Народная асвета, Минск, 2019, голубого цвета, страница 150, номер 3.29, Решение Алгебра, 9 класс Учебник, авторы: Арефьева Ирина Глебовна, Пирютко Ольга Николаевна, издательство Народная асвета, Минск, 2019, голубого цвета, страница 150, номер 3.29, Решение (продолжение 2)
Решение 2. №3.29 (с. 150)

a) Рассмотрим уравнение:

$$ \frac{1}{x-1} - \frac{3}{x^2+2} = \frac{3}{x^3-x^2+2x-2} $$

Сначала разложим на множители знаменатель в правой части уравнения, используя метод группировки:

$$ x^3-x^2+2x-2 = x^2(x-1) + 2(x-1) = (x-1)(x^2+2) $$

Теперь уравнение можно переписать в виде:

$$ \frac{1}{x-1} - \frac{3}{x^2+2} = \frac{3}{(x-1)(x^2+2)} $$

Область допустимых значений (ОДЗ) определяется условиями, при которых знаменатели не равны нулю. Выражение $x^2+2$ всегда положительно, так как $x^2 \ge 0$. Следовательно, единственное ограничение - это $x-1 \neq 0$, то есть $x \neq 1$.

Умножим обе части уравнения на общий знаменатель $(x-1)(x^2+2)$, чтобы избавиться от дробей:

$$ 1 \cdot (x^2+2) - 3 \cdot (x-1) = 3 $$

Раскроем скобки и решим полученное уравнение:

$$ x^2+2 - 3x + 3 = 3 $$
$$ x^2 - 3x + 5 = 3 $$
$$ x^2 - 3x + 2 = 0 $$

Это квадратное уравнение. Найдем его корни по теореме Виета. Сумма корней равна $3$, а их произведение равно $2$. Корнями являются $x_1=1$ и $x_2=2$.

Проверим найденные корни на соответствие ОДЗ ($x \neq 1$).

  • Корень $x_1 = 1$ не входит в ОДЗ, так как при этом значении знаменатель дроби $\frac{1}{x-1}$ обращается в ноль. Это посторонний корень.
  • Корень $x_2 = 2$ удовлетворяет ОДЗ.

Таким образом, уравнение имеет единственный корень.

Ответ: 2.

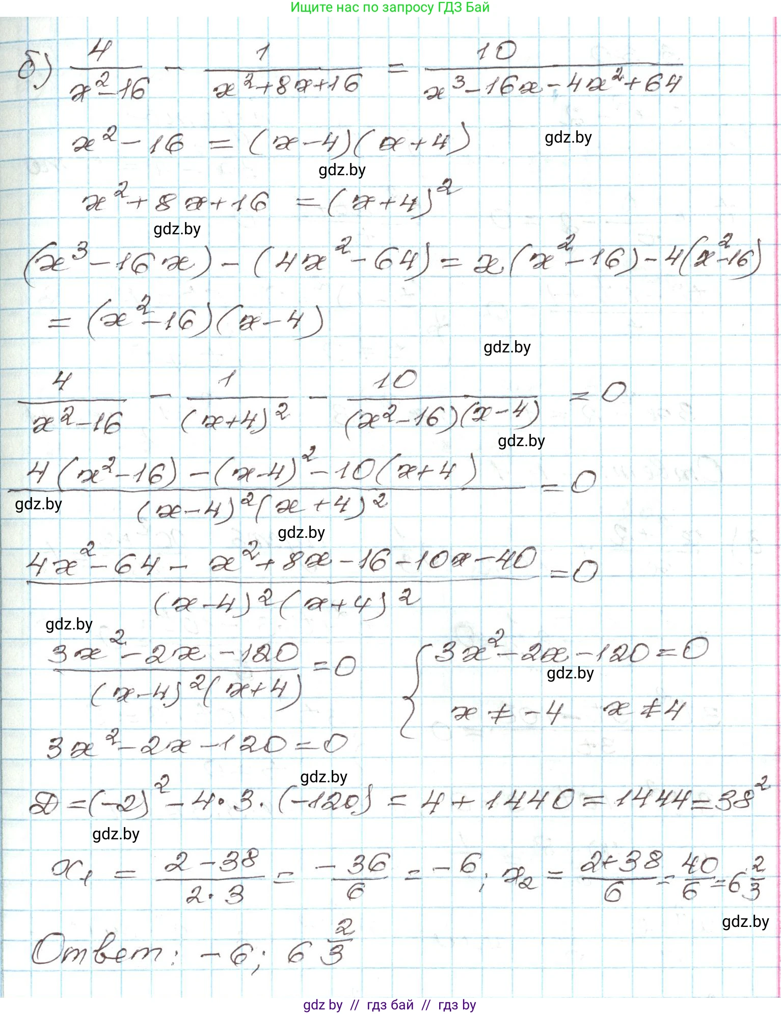
б) Рассмотрим уравнение:

$$ \frac{4}{x^2-16} - \frac{1}{x^2+8x+16} = \frac{10}{x^3-16x-4x^2+64} $$

Разложим на множители все знаменатели:

  • $x^2-16 = (x-4)(x+4)$ (разность квадратов)
  • $x^2+8x+16 = (x+4)^2$ (полный квадрат)
  • $x^3-16x-4x^2+64 = x^3-4x^2-16x+64 = x^2(x-4)-16(x-4) = (x^2-16)(x-4) = (x-4)(x+4)(x-4) = (x-4)^2(x+4)$ (группировка)

Перепишем уравнение с разложенными знаменателями:

$$ \frac{4}{(x-4)(x+4)} - \frac{1}{(x+4)^2} = \frac{10}{(x-4)^2(x+4)} $$

Область допустимых значений (ОДЗ) определяется условиями: $x-4 \neq 0$ и $x+4 \neq 0$. Таким образом, $x \neq 4$ и $x \neq -4$.

Наименьший общий знаменатель для всех дробей равен $(x-4)^2(x+4)^2$. Умножим обе части уравнения на него:

$$ \frac{4 \cdot (x-4)^2(x+4)^2}{(x-4)(x+4)} - \frac{1 \cdot (x-4)^2(x+4)^2}{(x+4)^2} = \frac{10 \cdot (x-4)^2(x+4)^2}{(x-4)^2(x+4)} $$

После сокращения дробей получим:

$$ 4(x-4)(x+4) - (x-4)^2 = 10(x+4) $$

Раскроем скобки и упростим выражение:

$$ 4(x^2-16) - (x^2-8x+16) = 10x+40 $$
$$ 4x^2 - 64 - x^2 + 8x - 16 = 10x+40 $$
$$ 3x^2 + 8x - 80 = 10x+40 $$

Перенесем все члены в левую часть, чтобы получить стандартное квадратное уравнение:

$$ 3x^2 - 2x - 120 = 0 $$

Решим это квадратное уравнение с помощью дискриминанта $D = b^2 - 4ac$:

$$ D = (-2)^2 - 4 \cdot 3 \cdot (-120) = 4 + 1440 = 1444 $$
$$ \sqrt{D} = \sqrt{1444} = 38 $$

Найдем корни уравнения по формуле $x = \frac{-b \pm \sqrt{D}}{2a}$:

$$ x_1 = \frac{-(-2) + 38}{2 \cdot 3} = \frac{40}{6} = \frac{20}{3} $$
$$ x_2 = \frac{-(-2) - 38}{2 \cdot 3} = \frac{-36}{6} = -6 $$

Оба корня, $x_1 = \frac{20}{3}$ и $x_2 = -6$, удовлетворяют ОДЗ ($x \neq 4, x \neq -4$).

Представим неправильную дробь $\frac{20}{3}$ в виде смешанного числа: $6\frac{2}{3}$.

Ответ: -6; 6$\frac{2}{3}$.

Помогло решение? Оставьте отзыв в комментариях ниже.

Присоединяйтесь к Телеграм-группе @gdz_by_belarus

Присоединиться

Мы подготовили для вас ответ c подробным объяснением домашего задания по алгебре за 9 класс, для упражнения номер 3.29 расположенного на странице 150 к учебнику 2019 года издания для учащихся школ и гимназий.

Теперь на нашем сайте ГДЗ.ТОП вы всегда легко и бесплатно найдёте условие с правильным ответом на вопрос «Как решить ДЗ» и «Как сделать» задание по алгебре к упражнению №3.29 (с. 150), авторов: Арефьева (Ирина Глебовна), Пирютко (Ольга Николаевна), учебного пособия издательства Народная асвета.