Номер 4.101, страница 223 - гдз по алгебре 9 класс учебник Арефьева, Пирютко

Алгебра, 9 класс Учебник, авторы: Арефьева Ирина Глебовна, Пирютко Ольга Николаевна, издательство Народная асвета, Минск, 2019, голубого цвета

Авторы: Арефьева И. Г., Пирютко О. Н.

Тип: Учебник

Издательство: Народная асвета

Год издания: 2019 - 2026

Цвет обложки: голубой, синий с графиком

ISBN: 978-985-03-3077-2

Допущено Министерством образования Республики Беларусь

Популярные ГДЗ в 9 классе

Глава 4. Прогрессии. Параграф 15. Арифметическая прогрессия - номер 4.101, страница 223.

№4.101 (с. 223)
Условие. №4.101 (с. 223)
скриншот условия
Алгебра, 9 класс Учебник, авторы: Арефьева Ирина Глебовна, Пирютко Ольга Николаевна, издательство Народная асвета, Минск, 2019, голубого цвета, страница 223, номер 4.101, Условие

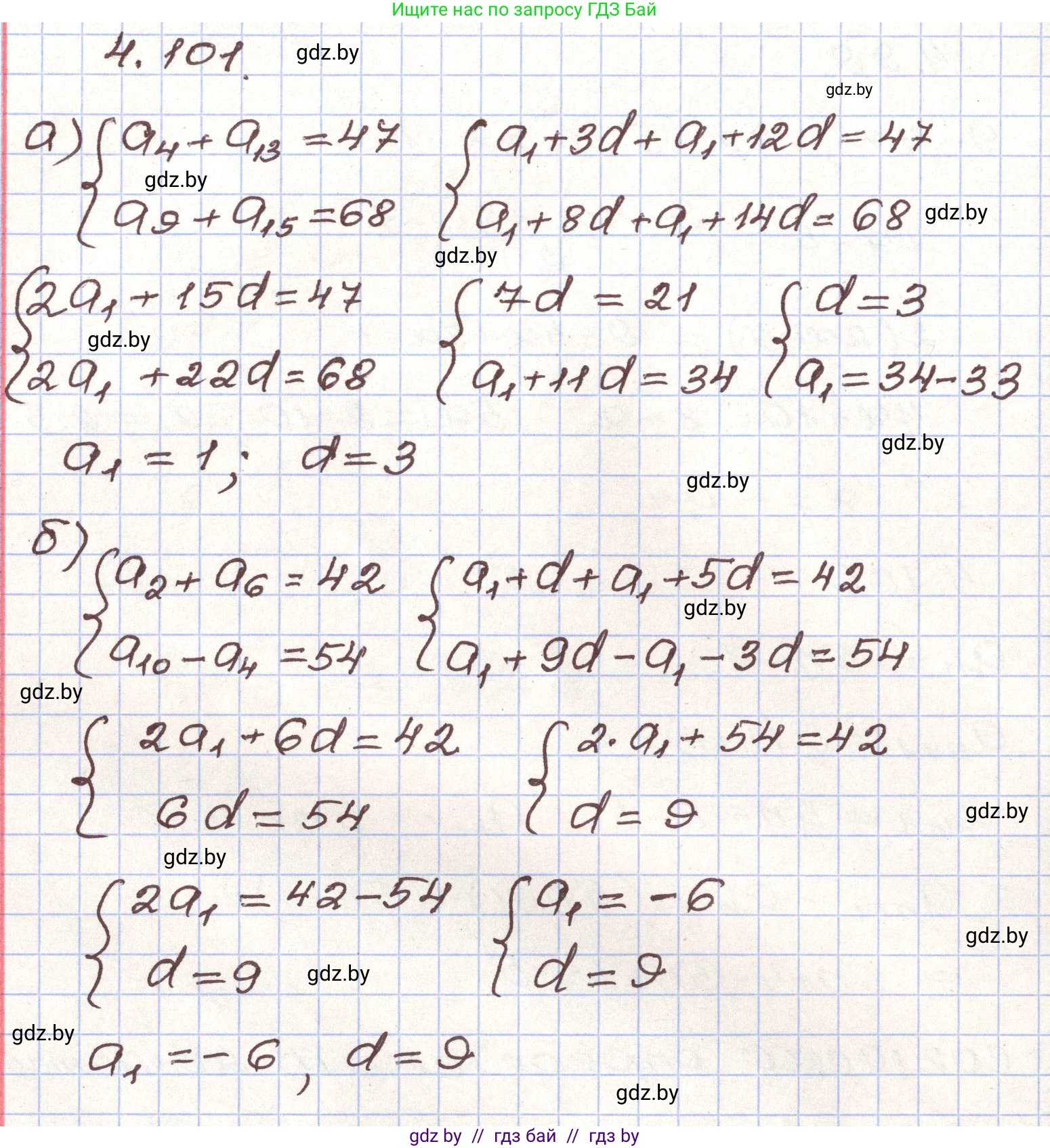
4.101*. Проанализируйте условие и найдите первый член и разность арифметической прогрессии ($a_n$), если:

a) $a_4 + a_{13} = 47$ и $a_9 + a_{15} = 68;$

б) $a_2 + a_6 = 42$ и $a_{10} - a_4 = 54.$

Решение. №4.101 (с. 223)
Алгебра, 9 класс Учебник, авторы: Арефьева Ирина Глебовна, Пирютко Ольга Николаевна, издательство Народная асвета, Минск, 2019, голубого цвета, страница 223, номер 4.101, Решение
Решение 2. №4.101 (с. 223)

Для решения задачи воспользуемся формулой n-го члена арифметической прогрессии: $a_n = a_1 + (n-1)d$, где $a_1$ — первый член прогрессии, а $d$ — её разность.

а) Согласно условию, имеем два уравнения:

$a_4 + a_{13} = 47$

$a_9 + a_{15} = 68$

Выразим каждый член прогрессии через $a_1$ и $d$:

$a_4 = a_1 + (4-1)d = a_1 + 3d$

$a_{13} = a_1 + (13-1)d = a_1 + 12d$

$a_9 = a_1 + (9-1)d = a_1 + 8d$

$a_{15} = a_1 + (15-1)d = a_1 + 14d$

Подставим полученные выражения в исходные уравнения и получим систему:

$\begin{cases} (a_1 + 3d) + (a_1 + 12d) = 47 \\ (a_1 + 8d) + (a_1 + 14d) = 68 \end{cases}$

Упростим каждое уравнение в системе:

$\begin{cases} 2a_1 + 15d = 47 \\ 2a_1 + 22d = 68 \end{cases}$

Теперь решим систему. Вычтем первое уравнение из второго, чтобы найти $d$:

$(2a_1 + 22d) - (2a_1 + 15d) = 68 - 47$

$7d = 21$

$d = \frac{21}{7} = 3$

Подставим найденное значение $d = 3$ в первое уравнение системы ($2a_1 + 15d = 47$) для нахождения $a_1$:

$2a_1 + 15 \cdot 3 = 47$

$2a_1 + 45 = 47$

$2a_1 = 47 - 45$

$2a_1 = 2$

$a_1 = 1$

Ответ: $a_1 = \mathbf{1}, d = \mathbf{3}$.


б) Согласно условию, имеем два уравнения:

$a_2 + a_6 = 42$

$a_{10} - a_4 = 54$

Выразим каждый член прогрессии через $a_1$ и $d$:

$a_2 = a_1 + (2-1)d = a_1 + d$

$a_6 = a_1 + (6-1)d = a_1 + 5d$

$a_{10} = a_1 + (10-1)d = a_1 + 9d$

$a_4 = a_1 + (4-1)d = a_1 + 3d$

Подставим полученные выражения в исходные уравнения:

1) $(a_1 + d) + (a_1 + 5d) = 42 \implies 2a_1 + 6d = 42$. Разделим обе части уравнения на 2, получим: $a_1 + 3d = 21$.

2) $(a_1 + 9d) - (a_1 + 3d) = 54 \implies a_1 + 9d - a_1 - 3d = 54 \implies 6d = 54$.

Из второго преобразованного уравнения легко найти $d$:

$6d = 54$

$d = \frac{54}{6} = 9$

Теперь подставим значение $d = 9$ в первое преобразованное уравнение ($a_1 + 3d = 21$) для нахождения $a_1$:

$a_1 + 3 \cdot 9 = 21$

$a_1 + 27 = 21$

$a_1 = 21 - 27$

$a_1 = -6$

Ответ: $a_1 = \mathbf{-6}, d = \mathbf{9}$.

Помогло решение? Оставьте отзыв в комментариях ниже.

Присоединяйтесь к Телеграм-группе @gdz_by_belarus

Присоединиться

Мы подготовили для вас ответ c подробным объяснением домашего задания по алгебре за 9 класс, для упражнения номер 4.101 расположенного на странице 223 к учебнику 2019 года издания для учащихся школ и гимназий.

Теперь на нашем сайте ГДЗ.ТОП вы всегда легко и бесплатно найдёте условие с правильным ответом на вопрос «Как решить ДЗ» и «Как сделать» задание по алгебре к упражнению №4.101 (с. 223), авторов: Арефьева (Ирина Глебовна), Пирютко (Ольга Николаевна), учебного пособия издательства Народная асвета.