Номер 4.185, страница 242 - гдз по алгебре 9 класс учебник Арефьева, Пирютко

Алгебра, 9 класс Учебник, авторы: Арефьева Ирина Глебовна, Пирютко Ольга Николаевна, издательство Народная асвета, Минск, 2019, голубого цвета

Авторы: Арефьева И. Г., Пирютко О. Н.

Тип: Учебник

Издательство: Народная асвета

Год издания: 2019 - 2026

Цвет обложки: голубой, синий с графиком

ISBN: 978-985-03-3077-2

Допущено Министерством образования Республики Беларусь

Популярные ГДЗ в 9 классе

Глава 4. Прогрессии. Параграф 17. Геометрическая прогрессия - номер 4.185, страница 242.

№4.185 (с. 242)
Условие. №4.185 (с. 242)
скриншот условия
Алгебра, 9 класс Учебник, авторы: Арефьева Ирина Глебовна, Пирютко Ольга Николаевна, издательство Народная асвета, Минск, 2019, голубого цвета, страница 242, номер 4.185, Условие

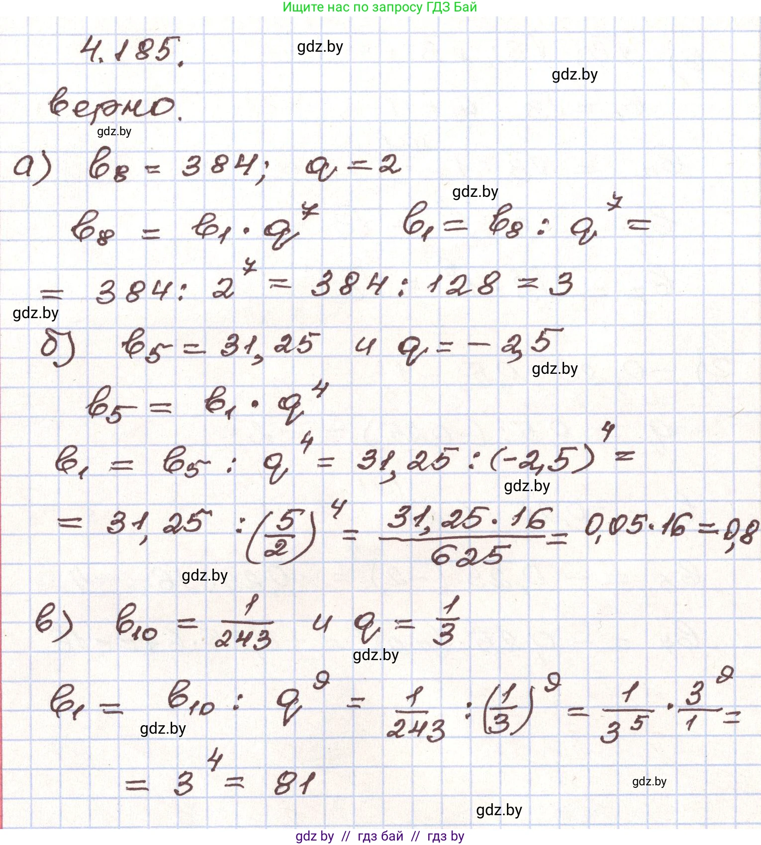
4.185. Верно ли, что можно найти первый член геометрической прогрессии по одному из его членов и знаменателю прогрессии? Найдите первый член геометрической прогрессии ($b_n$), в которой:

a) $b_8 = 384$ и $q = 2$;

б) $b_5 = 31,25$ и $q = -2,5$;

в) $b_{10} = \frac{1}{243}$ и $q = \frac{1}{3}$.

Решение. №4.185 (с. 242)
Алгебра, 9 класс Учебник, авторы: Арефьева Ирина Глебовна, Пирютко Ольга Николаевна, издательство Народная асвета, Минск, 2019, голубого цвета, страница 242, номер 4.185, Решение
Решение 2. №4.185 (с. 242)

Да, верно. Зная формулу n-го члена геометрической прогрессии $b_n = b_1 \cdot q^{n-1}$, можно выразить из нее первый член $b_1$. Для этого нужно разделить n-й член прогрессии $b_n$ на знаменатель $q$ в степени $n-1$:

$b_1 = \frac{b_n}{q^{n-1}}$

Так как по условию известны n-й член ($b_n$), его номер ($n$) и знаменатель прогрессии ($q$), мы можем вычислить значение первого члена ($b_1$).

а) Дано: $b_8 = 384$ и $q = 2$. Используем формулу для нахождения первого члена прогрессии, выраженную из формулы n-го члена:$b_1 = \frac{b_n}{q^{n-1}}$Подставляем известные значения, где $n=8$:$b_1 = \frac{b_8}{q^{8-1}} = \frac{384}{2^7}$Вычисляем степень знаменателя:$2^7 = 128$Находим первый член прогрессии:$b_1 = \frac{384}{128} = 3$
Ответ: 3

б) Дано: $b_5 = 31,25$ и $q = -2,5$. Подставляем значения в формулу, где $n=5$:$b_1 = \frac{b_5}{q^{5-1}} = \frac{31,25}{(-2,5)^4}$Для удобства вычислений представим десятичные дроби в виде обыкновенных:$31,25 = 31\frac{1}{4} = \frac{125}{4}$$-2,5 = -2\frac{1}{2} = -\frac{5}{2}$Вычисляем степень знаменателя:$(-2,5)^4 = (-\frac{5}{2})^4 = \frac{5^4}{2^4} = \frac{625}{16}$Находим первый член прогрессии:$b_1 = \frac{\frac{125}{4}}{\frac{625}{16}} = \frac{125}{4} \cdot \frac{16}{625} = \frac{125 \cdot 16}{4 \cdot 625} = \frac{1 \cdot 4}{1 \cdot 5} = \frac{4}{5} = 0,8$
Ответ: 0,8

в) Дано: $b_{10} = \frac{1}{243}$ и $q = \frac{1}{3}$. Подставляем значения в формулу, где $n=10$:$b_1 = \frac{b_{10}}{q^{10-1}} = \frac{\frac{1}{243}}{(\frac{1}{3})^9}$Представим число 243 как степень числа 3:$243 = 3^5$Подставляем это значение в формулу:$b_1 = \frac{\frac{1}{3^5}}{\frac{1}{3^9}} = \frac{1}{3^5} \cdot \frac{3^9}{1} = \frac{3^9}{3^5}$По свойству степеней $a^m/a^n = a^{m-n}$:$b_1 = 3^{9-5} = 3^4 = 81$
Ответ: 81

Помогло решение? Оставьте отзыв в комментариях ниже.

Присоединяйтесь к Телеграм-группе @gdz_by_belarus

Присоединиться

Мы подготовили для вас ответ c подробным объяснением домашего задания по алгебре за 9 класс, для упражнения номер 4.185 расположенного на странице 242 к учебнику 2019 года издания для учащихся школ и гимназий.

Теперь на нашем сайте ГДЗ.ТОП вы всегда легко и бесплатно найдёте условие с правильным ответом на вопрос «Как решить ДЗ» и «Как сделать» задание по алгебре к упражнению №4.185 (с. 242), авторов: Арефьева (Ирина Глебовна), Пирютко (Ольга Николаевна), учебного пособия издательства Народная асвета.