Номер 4.20, страница 209 - гдз по алгебре 9 класс учебник Арефьева, Пирютко

Алгебра, 9 класс Учебник, авторы: Арефьева Ирина Глебовна, Пирютко Ольга Николаевна, издательство Народная асвета, Минск, 2019, голубого цвета

Авторы: Арефьева И. Г., Пирютко О. Н.

Тип: Учебник

Издательство: Народная асвета

Год издания: 2019 - 2026

Цвет обложки: голубой, синий с графиком

ISBN: 978-985-03-3077-2

Допущено Министерством образования Республики Беларусь

Популярные ГДЗ в 9 классе

Глава 4. Прогрессии. Параграф 14. Числовая последовательность - номер 4.20, страница 209.

№4.20 (с. 209)
Условие. №4.20 (с. 209)
скриншот условия
Алгебра, 9 класс Учебник, авторы: Арефьева Ирина Глебовна, Пирютко Ольга Николаевна, издательство Народная асвета, Минск, 2019, голубого цвета, страница 209, номер 4.20, Условие

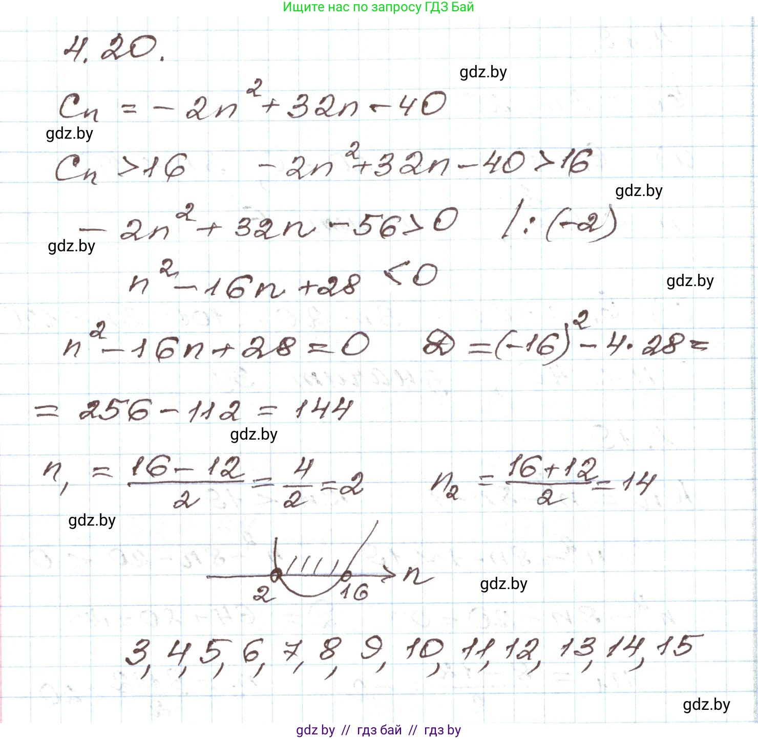
4.20* Последовательность ($c_n$) задана формулой $n$-го члена $c_n = -2n^2 + 32n - 40$.

Найдите номера членов данной последовательности, больших 16.

Решение. №4.20 (с. 209)
Алгебра, 9 класс Учебник, авторы: Арефьева Ирина Глебовна, Пирютко Ольга Николаевна, издательство Народная асвета, Минск, 2019, голубого цвета, страница 209, номер 4.20, Решение
Решение 2. №4.20 (с. 209)

Для нахождения номеров членов последовательности ($c_n$), которые больше 16, необходимо решить неравенство $c_n > 16$.

Подставим в это неравенство заданную формулу $n$-го члена $c_n = -2n^2 + 32n - 40$:

$-2n^2 + 32n - 40 > 16$

Перенесем все слагаемые в левую часть, чтобы получить квадратное неравенство:

$-2n^2 + 32n - 40 - 16 > 0$

$-2n^2 + 32n - 56 > 0$

Для удобства решения разделим обе части неравенства на $-2$. Важно помнить, что при делении на отрицательное число знак неравенства меняется на противоположный:

$n^2 - 16n + 28 < 0$

Далее найдем корни соответствующего квадратного уравнения $n^2 - 16n + 28 = 0$. Это можно сделать с помощью дискриминанта.

Вычислим дискриминант по формуле $D = b^2 - 4ac$:

$D = (-16)^2 - 4 \cdot 1 \cdot 28 = 256 - 112 = 144$

Поскольку $D = 144 = 12^2$, корни уравнения равны:

$n_1 = \frac{-(-16) - \sqrt{144}}{2 \cdot 1} = \frac{16 - 12}{2} = \frac{4}{2} = 2$

$n_2 = \frac{-(-16) + \sqrt{144}}{2 \cdot 1} = \frac{16 + 12}{2} = \frac{28}{2} = 14$

Мы решаем неравенство $n^2 - 16n + 28 < 0$. Графиком функции $f(n) = n^2 - 16n + 28$ является парабола, ветви которой направлены вверх, так как коэффициент при $n^2$ положителен. Значения функции отрицательны (меньше нуля) на интервале между ее корнями.

Следовательно, решением неравенства является интервал $2 < n < 14$.

По определению, номер члена последовательности $n$ должен быть натуральным числом ($n \in \mathbb{N}$). Найдем все натуральные числа, которые принадлежат интервалу $(2, 14)$:

3, 4, 5, 6, 7, 8, 9, 10, 11, 12, 13.

Ответ: 3, 4, 5, 6, 7, 8, 9, 10, 11, 12, 13.

Помогло решение? Оставьте отзыв в комментариях ниже.

Присоединяйтесь к Телеграм-группе @gdz_by_belarus

Присоединиться

Мы подготовили для вас ответ c подробным объяснением домашего задания по алгебре за 9 класс, для упражнения номер 4.20 расположенного на странице 209 к учебнику 2019 года издания для учащихся школ и гимназий.

Теперь на нашем сайте ГДЗ.ТОП вы всегда легко и бесплатно найдёте условие с правильным ответом на вопрос «Как решить ДЗ» и «Как сделать» задание по алгебре к упражнению №4.20 (с. 209), авторов: Арефьева (Ирина Глебовна), Пирютко (Ольга Николаевна), учебного пособия издательства Народная асвета.