Номер 4.225, страница 246 - гдз по алгебре 9 класс учебник Арефьева, Пирютко

Алгебра, 9 класс Учебник, авторы: Арефьева Ирина Глебовна, Пирютко Ольга Николаевна, издательство Народная асвета, Минск, 2019, голубого цвета

Авторы: Арефьева И. Г., Пирютко О. Н.

Тип: Учебник

Издательство: Народная асвета

Год издания: 2019 - 2026

Цвет обложки: голубой, синий с графиком

ISBN: 978-985-03-3077-2

Допущено Министерством образования Республики Беларусь

Популярные ГДЗ в 9 классе

Глава 4. Прогрессии. Параграф 17. Геометрическая прогрессия - номер 4.225, страница 246.

№4.225 (с. 246)
Условие. №4.225 (с. 246)
скриншот условия
Алгебра, 9 класс Учебник, авторы: Арефьева Ирина Глебовна, Пирютко Ольга Николаевна, издательство Народная асвета, Минск, 2019, голубого цвета, страница 246, номер 4.225, Условие

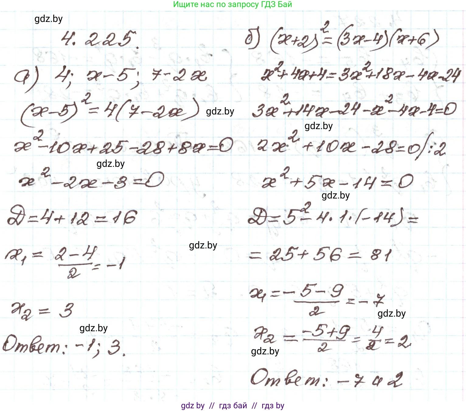
4.225. Найдите, при каком значении переменной значения выражений будут последовательными членами геометрической прогрессии:

а) $4$; $x - 5$ и $7 - 2x$;

б) $3x - 4$; $x + 2$ и $x + 6$.

Решение. №4.225 (с. 246)
Алгебра, 9 класс Учебник, авторы: Арефьева Ирина Глебовна, Пирютко Ольга Николаевна, издательство Народная асвета, Минск, 2019, голубого цвета, страница 246, номер 4.225, Решение
Решение 2. №4.225 (с. 246)

Для того чтобы три выражения были последовательными членами геометрической прогрессии, необходимо и достаточно, чтобы выполнялось ее характеристическое свойство: квадрат среднего члена должен быть равен произведению двух крайних. Если обозначить члены прогрессии как $b_1, b_2, b_3$, то свойство можно записать в виде формулы: $b_2^2 = b_1 \cdot b_3$.

а) Даны выражения: $4$, $x-5$ и $7-2x$.

Обозначим их как члены геометрической прогрессии: $b_1 = 4$, $b_2 = x-5$, $b_3 = 7-2x$.

Подставим эти выражения в формулу характеристического свойства:

$(x-5)^2 = 4 \cdot (7-2x)$

Раскроем скобки и упростим полученное выражение:

$x^2 - 10x + 25 = 28 - 8x$

Перенесем все члены в левую часть, чтобы получить квадратное уравнение вида $ax^2 + bx + c = 0$:

$x^2 - 10x + 8x + 25 - 28 = 0$

$x^2 - 2x - 3 = 0$

Решим полученное квадратное уравнение. Можно воспользоваться теоремой Виета:

  • Сумма корней: $x_1 + x_2 = -(-2) = 2$
  • Произведение корней: $x_1 \cdot x_2 = -3$

Методом подбора находим корни: $x_1 = 3$ и $x_2 = -1$.

Ответ: $x = \mathbf{3}$ или $x = \mathbf{-1}$.

б) Даны выражения: $3x-4$, $x+2$ и $x+6$.

Обозначим их как члены геометрической прогрессии: $b_1 = 3x-4$, $b_2 = x+2$, $b_3 = x+6$.

Подставим эти выражения в формулу характеристического свойства:

$(x+2)^2 = (3x-4)(x+6)$

Раскроем скобки в обеих частях уравнения:

$x^2 + 4x + 4 = 3x^2 + 18x - 4x - 24$

$x^2 + 4x + 4 = 3x^2 + 14x - 24$

Перенесем все члены в правую часть и приведем подобные слагаемые:

$0 = 3x^2 - x^2 + 14x - 4x - 24 - 4$

$0 = 2x^2 + 10x - 28$

Разделим обе части уравнения на 2 для упрощения:

$x^2 + 5x - 14 = 0$

Решим полученное квадратное уравнение. Воспользуемся теоремой Виета:

  • Сумма корней: $x_1 + x_2 = -5$
  • Произведение корней: $x_1 \cdot x_2 = -14$

Методом подбора находим корни: $x_1 = 2$ и $x_2 = -7$.

Ответ: $x = \mathbf{2}$ или $x = \mathbf{-7}$.

Помогло решение? Оставьте отзыв в комментариях ниже.

Присоединяйтесь к Телеграм-группе @gdz_by_belarus

Присоединиться

Мы подготовили для вас ответ c подробным объяснением домашего задания по алгебре за 9 класс, для упражнения номер 4.225 расположенного на странице 246 к учебнику 2019 года издания для учащихся школ и гимназий.

Теперь на нашем сайте ГДЗ.ТОП вы всегда легко и бесплатно найдёте условие с правильным ответом на вопрос «Как решить ДЗ» и «Как сделать» задание по алгебре к упражнению №4.225 (с. 246), авторов: Арефьева (Ирина Глебовна), Пирютко (Ольга Николаевна), учебного пособия издательства Народная асвета.