Номер 4.63, страница 220 - гдз по алгебре 9 класс учебник Арефьева, Пирютко

Алгебра, 9 класс Учебник, авторы: Арефьева Ирина Глебовна, Пирютко Ольга Николаевна, издательство Народная асвета, Минск, 2019, голубого цвета

Авторы: Арефьева И. Г., Пирютко О. Н.

Тип: Учебник

Издательство: Народная асвета

Год издания: 2019 - 2026

Цвет обложки: голубой, синий с графиком

ISBN: 978-985-03-3077-2

Допущено Министерством образования Республики Беларусь

Популярные ГДЗ в 9 классе

Глава 4. Прогрессии. Параграф 15. Арифметическая прогрессия - номер 4.63, страница 220.

№4.63 (с. 220)
Условие. №4.63 (с. 220)
скриншот условия
Алгебра, 9 класс Учебник, авторы: Арефьева Ирина Глебовна, Пирютко Ольга Николаевна, издательство Народная асвета, Минск, 2019, голубого цвета, страница 220, номер 4.63, Условие

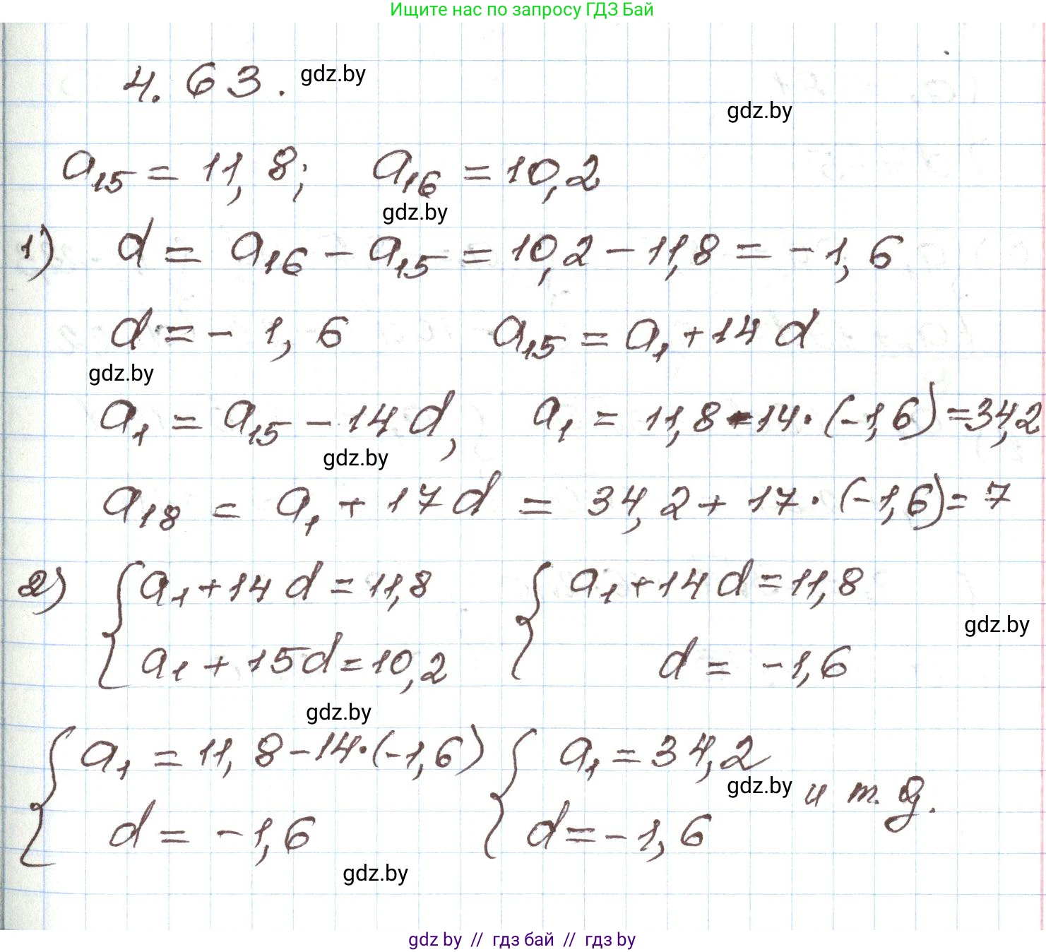
4.63. В арифметической прогрессии $a_{15} = 11.8$, $a_{16} = 10.2$.

Найдите $a_1$; $d$; $a_{18}$. Выполните задание разными способами.

Решение. №4.63 (с. 220)
Алгебра, 9 класс Учебник, авторы: Арефьева Ирина Глебовна, Пирютко Ольга Николаевна, издательство Народная асвета, Минск, 2019, голубого цвета, страница 220, номер 4.63, Решение
Решение 2. №4.63 (с. 220)

Дана арифметическая прогрессия, в которой известны два члена: $a_{15} = 11.8$ и $a_{16} = 10.2$. Требуется найти первый член прогрессии $a_1$, разность прогрессии $d$ и восемнадцатый член $a_{18}$. Задачу можно решить несколькими способами.

Способ 1: Последовательное вычисление

Этот способ основан на прямом использовании определения и формул арифметической прогрессии.

  1. Нахождение разности прогрессии $d$.

    Разность арифметической прогрессии $d$ — это постоянная величина, на которую отличается каждый следующий член от предыдущего. Мы можем найти её, используя два известных последовательных члена $a_{16}$ и $a_{15}$:

    $d = a_{16} - a_{15}$

    $d = 10.2 - 11.8 = -1.6$

  2. Нахождение первого члена прогрессии $a_1$.

    Используем формулу n-го члена арифметической прогрессии: $a_n = a_1 + (n-1)d$.

    Выразим $a_1$ из формулы, подставив в неё значение $a_{15} = 11.8$ и найденную разность $d = -1.6$:

    $a_{15} = a_1 + (15-1)d$

    $11.8 = a_1 + 14 \cdot (-1.6)$

    $11.8 = a_1 - 22.4$

    Отсюда находим $a_1$:

    $a_1 = 11.8 + 22.4 = 34.2$

  3. Нахождение восемнадцатого члена прогрессии $a_{18}$.

    Для нахождения $a_{18}$ можно пойти двумя путями:

    а) Использовать общую формулу n-го члена с найденными $a_1$ и $d$:

    $a_{18} = a_1 + (18-1)d$

    $a_{18} = 34.2 + 17 \cdot (-1.6)$

    $a_{18} = 34.2 - 27.2 = 7$

    б) Найти $a_{18}$ через известный $a_{16}$, что является более быстрым способом:

    $a_{18} = a_{16} + 2d$ (поскольку $a_{18}$ отстоит от $a_{16}$ на два "шага")

    $a_{18} = 10.2 + 2 \cdot (-1.6) = 10.2 - 3.2 = 7$

Способ 2: Решение через систему уравнений

Этот способ заключается в составлении и решении системы линейных уравнений для неизвестных $a_1$ и $d$.

  1. Составление системы уравнений.

    Запишем формулу n-го члена $a_n = a_1 + (n-1)d$ для каждого из известных членов:

    Для $a_{15}=11.8$: $11.8 = a_1 + (15-1)d \Rightarrow 11.8 = a_1 + 14d$

    Для $a_{16}=10.2$: $10.2 = a_1 + (16-1)d \Rightarrow 10.2 = a_1 + 15d$

    Получаем систему из двух уравнений с двумя неизвестными:

    $\begin{cases} a_1 + 14d = 11.8 \\ a_1 + 15d = 10.2 \end{cases}$

  2. Решение системы.

    Вычтем первое уравнение из второго, чтобы исключить $a_1$ и найти $d$:

    $(a_1 + 15d) - (a_1 + 14d) = 10.2 - 11.8$

    $d = -1.6$

    Теперь подставим найденное значение $d = -1.6$ в любое из уравнений системы (например, в первое) для нахождения $a_1$:

    $a_1 + 14 \cdot (-1.6) = 11.8$

    $a_1 - 22.4 = 11.8$

    $a_1 = 11.8 + 22.4 = 34.2$

  3. Нахождение $a_{18}$.

    Расчет полностью аналогичен расчету из первого способа:

    $a_{18} = a_{16} + 2d = 10.2 + 2 \cdot (-1.6) = 7$

Оба способа приводят к одинаковым результатам. Сформулируем итоговые ответы.

a₁: Первый член прогрессии $a_1$ равен 34,2. Ответ: 34

d: Разность прогрессии $d$ равна -1,6. Ответ: -1

a₁₈: Восемнадцатый член прогрессии $a_{18}$ равен 7. Ответ: 7

Помогло решение? Оставьте отзыв в комментариях ниже.

Присоединяйтесь к Телеграм-группе @gdz_by_belarus

Присоединиться

Мы подготовили для вас ответ c подробным объяснением домашего задания по алгебре за 9 класс, для упражнения номер 4.63 расположенного на странице 220 к учебнику 2019 года издания для учащихся школ и гимназий.

Теперь на нашем сайте ГДЗ.ТОП вы всегда легко и бесплатно найдёте условие с правильным ответом на вопрос «Как решить ДЗ» и «Как сделать» задание по алгебре к упражнению №4.63 (с. 220), авторов: Арефьева (Ирина Глебовна), Пирютко (Ольга Николаевна), учебного пособия издательства Народная асвета.