Номер 5, страница 263 - гдз по алгебре 9 класс учебник Арефьева, Пирютко

Алгебра, 9 класс Учебник, авторы: Арефьева Ирина Глебовна, Пирютко Ольга Николаевна, издательство Народная асвета, Минск, 2019, голубого цвета

Авторы: Арефьева И. Г., Пирютко О. Н.

Тип: Учебник

Издательство: Народная асвета

Год издания: 2019 - 2026

Цвет обложки: голубой, синий с графиком

ISBN: 978-985-03-3077-2

Допущено Министерством образования Республики Беларусь

Популярные ГДЗ в 9 классе

Глава 4. Прогрессии. Я проверяю свои знания - номер 5, страница 263.

№5 (с. 263)
Условие. №5 (с. 263)
скриншот условия
Алгебра, 9 класс Учебник, авторы: Арефьева Ирина Глебовна, Пирютко Ольга Николаевна, издательство Народная асвета, Минск, 2019, голубого цвета, страница 263, номер 5, Условие

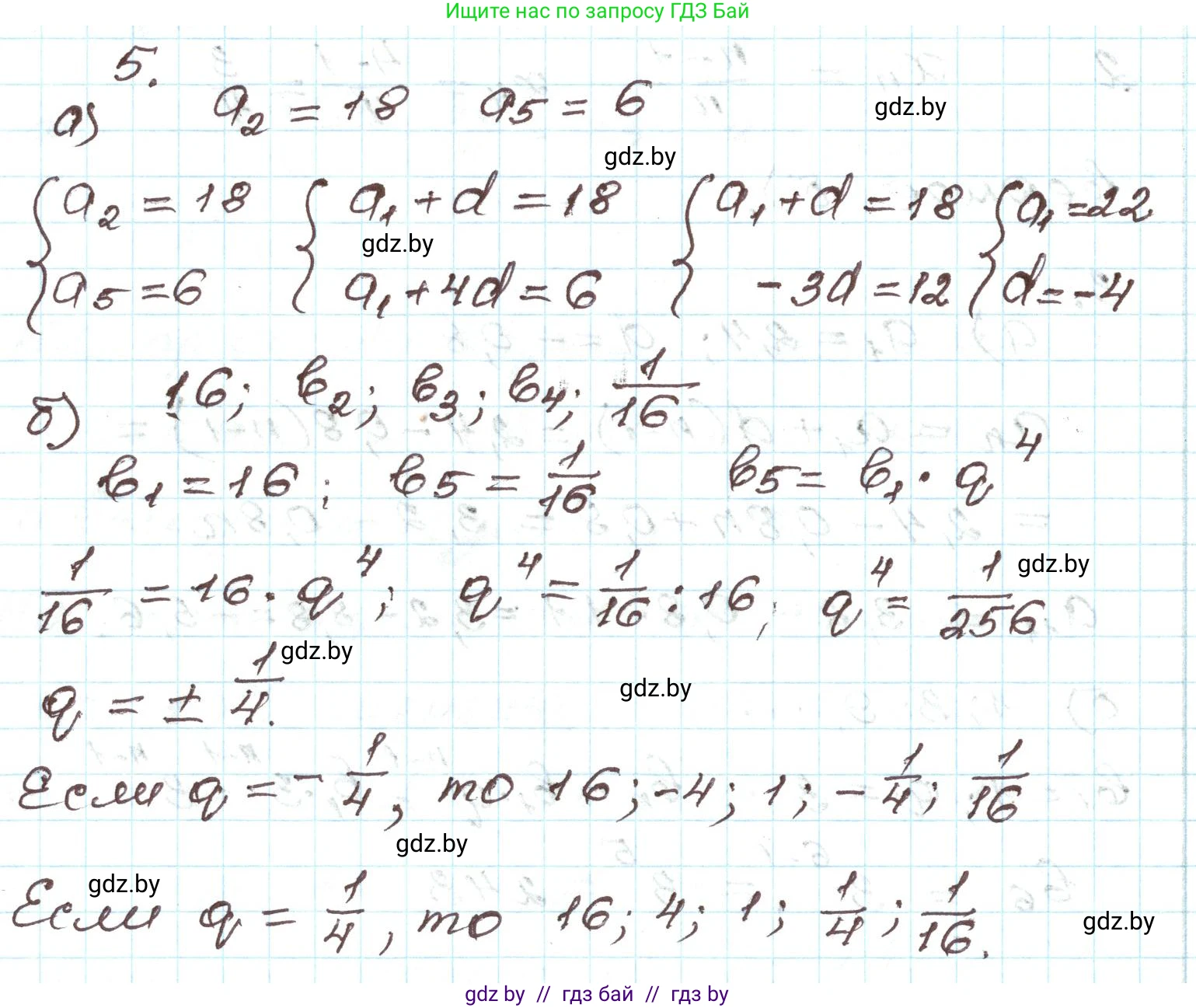
5. а) Дана арифметическая прогрессия, в которой $a_2 = 18$; $a_5 = 6$. Найдите $a_1$ и $d$.

б) Между числами 16 и $\frac{1}{16}$ вставьте три числа так, чтобы они вместе с данными числами составили геометрическую прогрессию.

Решение. №5 (с. 263)
Алгебра, 9 класс Учебник, авторы: Арефьева Ирина Глебовна, Пирютко Ольга Николаевна, издательство Народная асвета, Минск, 2019, голубого цвета, страница 263, номер 5, Решение
Решение 2. №5 (с. 263)

а) Для нахождения первого члена $a_1$ и разности $d$ арифметической прогрессии воспользуемся формулой n-го члена: $a_n = a_1 + (n-1)d$.
Из условия задачи нам даны два члена прогрессии: $a_2 = 18$ и $a_5 = 6$.
Составим систему из двух уравнений с двумя неизвестными ($a_1$ и $d$):

$ \begin{cases} a_2 = a_1 + (2-1)d \\ a_5 = a_1 + (5-1)d \end{cases} $

Подставим известные значения в систему:

$ \begin{cases} 18 = a_1 + d \\ 6 = a_1 + 4d \end{cases} $

Для решения системы вычтем первое уравнение из второго. Это позволит нам исключить $a_1$ и найти $d$:

$(a_1 + 4d) - (a_1 + d) = 6 - 18$

$3d = -12$

$d = \frac{-12}{3} = -4$

Теперь, зная разность прогрессии $d$, найдем первый член $a_1$, подставив значение $d$ в первое уравнение системы:

$18 = a_1 + (-4)$

$a_1 = 18 + 4 = 22$

Ответ: $a_1 = \mathbf{22}$, $d = \mathbf{-4}$.

б) Нам необходимо вставить три числа между 16 и $\frac{1}{16}$ так, чтобы они вместе с данными числами образовали геометрическую прогрессию.
Пусть данная геометрическая прогрессия обозначается $b_n$.
Первый член этой прогрессии $b_1 = 16$.
Поскольку мы вставляем три числа, общее количество членов в прогрессии становится $1 + 3 + 1 = 5$.
Следовательно, пятый член прогрессии $b_5 = \frac{1}{16}$.

Воспользуемся формулой n-го члена геометрической прогрессии $b_n = b_1 \cdot q^{n-1}$, где $q$ - знаменатель прогрессии.
Для пятого члена имеем:

$b_5 = b_1 \cdot q^{5-1}$

Подставим известные значения $b_1$ и $b_5$:

$\frac{1}{16} = 16 \cdot q^4$

Найдем $q^4$:

$q^4 = \frac{1}{16 \cdot 16} = \frac{1}{256}$

Теперь найдем знаменатель прогрессии $q$, извлекая корень четвертой степени. Важно помнить, что корень четной степени из положительного числа имеет два решения (положительное и отрицательное).

$q = \pm\sqrt[4]{\frac{1}{256}} = \pm\frac{1}{4}$

Это означает, что существуют две возможные последовательности чисел. Рассмотрим оба случая.

Случай 1: Знаменатель $q = \frac{1}{4}$

$b_2 = b_1 \cdot q = 16 \cdot \frac{1}{4} = 4$
$b_3 = b_2 \cdot q = 4 \cdot \frac{1}{4} = 1$
$b_4 = b_3 \cdot q = 1 \cdot \frac{1}{4} = \frac{1}{4}$

В этом случае искомые числа: 4, 1, $\frac{1}{4}$.

Случай 2: Знаменатель $q = -\frac{1}{4}$

$b_2 = b_1 \cdot q = 16 \cdot (-\frac{1}{4}) = -4$
$b_3 = b_2 \cdot q = -4 \cdot (-\frac{1}{4}) = 1$
$b_4 = b_3 \cdot q = 1 \cdot (-\frac{1}{4}) = -\frac{1}{4}$

В этом случае искомые числа: -4, 1, $-\frac{1}{4}$.

Ответ: Искомые числа могут быть $\mathbf{4}, \mathbf{1}, \frac{1}{4}$ или $\mathbf{-4}, \mathbf{1}, -\frac{1}{4}$.

Помогло решение? Оставьте отзыв в комментариях ниже.

Присоединяйтесь к Телеграм-группе @gdz_by_belarus

Присоединиться

Мы подготовили для вас ответ c подробным объяснением домашего задания по алгебре за 9 класс, для упражнения номер 5 расположенного на странице 263 к учебнику 2019 года издания для учащихся школ и гимназий.

Теперь на нашем сайте ГДЗ.ТОП вы всегда легко и бесплатно найдёте условие с правильным ответом на вопрос «Как решить ДЗ» и «Как сделать» задание по алгебре к упражнению №5 (с. 263), авторов: Арефьева (Ирина Глебовна), Пирютко (Ольга Николаевна), учебного пособия издательства Народная асвета.