Номер 3, страница 264 - гдз по алгебре 9 класс учебник Арефьева, Пирютко

Алгебра, 9 класс Учебник, авторы: Арефьева Ирина Глебовна, Пирютко Ольга Николаевна, издательство Народная асвета, Минск, 2019, голубого цвета

Авторы: Арефьева И. Г., Пирютко О. Н.

Тип: Учебник

Издательство: Народная асвета

Год издания: 2019 - 2026

Цвет обложки: голубой, синий с графиком

ISBN: 978-985-03-3077-2

Допущено Министерством образования Республики Беларусь

Популярные ГДЗ в 9 классе

Глава 4. Прогрессии. Практическая математика - номер 3, страница 264.

№3 (с. 264)
Условие. №3 (с. 264)
скриншот условия
Алгебра, 9 класс Учебник, авторы: Арефьева Ирина Глебовна, Пирютко Ольга Николаевна, издательство Народная асвета, Минск, 2019, голубого цвета, страница 264, номер 3, Условие

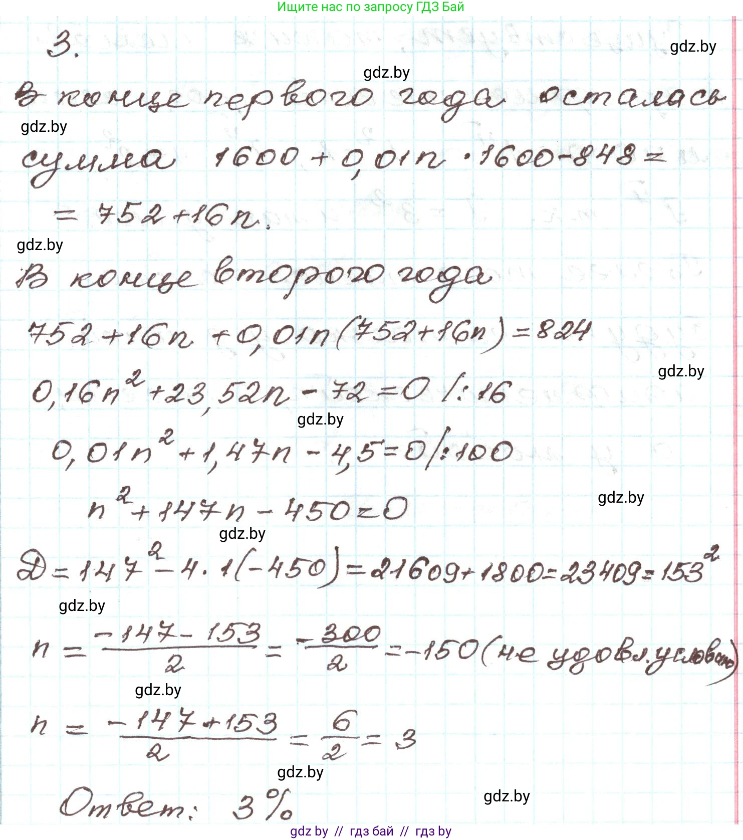
3. В начале года вкладчик положил в банк 1600 р. под $n$ % годовых. В конце года он снял со счета 848 р. В конце второго года на счету оказалось 824 р. Сколько процентов в год начисляет банк?

Решение. №3 (с. 264)
Алгебра, 9 класс Учебник, авторы: Арефьева Ирина Глебовна, Пирютко Ольга Николаевна, издательство Народная асвета, Минск, 2019, голубого цвета, страница 264, номер 3, Решение
Решение 2. №3 (с. 264)

Для решения задачи введем переменные:

  • $S_0 = 1600$ р. — начальная сумма вклада.
  • $n$ — искомая годовая процентная ставка.
  • $k = 1 + \frac{n}{100}$ — коэффициент, на который ежегодно увеличивается сумма вклада.

Распишем движение средств на счете по годам.

В конце первого года:

Сначала банк начисляет проценты на вклад. Сумма на счете становится равной:

$S_1 = S_0 \cdot k = 1600k$

Затем вкладчик снимает 848 р. Остаток на счете после снятия:

$S'_1 = 1600k - 848$

В конце второго года:

Банк начисляет проценты на остаток, который был на счете в начале второго года ($S'_1$). Итоговая сумма на счете:

$S_2 = S'_1 \cdot k = (1600k - 848)k$

Согласно условию, эта сумма равна 824 р. Составим уравнение:

$(1600k - 848)k = 824$

Решение уравнения:

Раскроем скобки и перенесем все члены в левую часть, чтобы получить стандартное квадратное уравнение:

$1600k^2 - 848k - 824 = 0$

Все коэффициенты уравнения делятся на 8. Упростим его, разделив обе части на 8:

$200k^2 - 106k - 103 = 0$

Найдем корни этого уравнения с помощью дискриминанта ($D = b^2 - 4ac$):

$D = (-106)^2 - 4 \cdot 200 \cdot (-103) = 11236 + 82400 = 93636$

Вычислим корень из дискриминанта: $\sqrt{D} = \sqrt{93636} = 306$.

Теперь найдем значения $k$:

$k_{1,2} = \frac{-b \pm \sqrt{D}}{2a} = \frac{106 \pm 306}{2 \cdot 200} = \frac{106 \pm 306}{400}$

Получаем два корня:

$k_1 = \frac{106 + 306}{400} = \frac{412}{400} = 1.03$

$k_2 = \frac{106 - 306}{400} = \frac{-200}{400} = -0.5$

Поскольку $k$ — это коэффициент роста вклада ($k=1+n/100$), он должен быть положительным числом. Следовательно, корень $k_2 = -0.5$ не является решением задачи.

Нахождение процентной ставки:

Используем единственный подходящий корень $k = 1.03$. Из формулы $k = 1 + \frac{n}{100}$ выразим $n$:

$\frac{n}{100} = k - 1 = 1.03 - 1 = 0.03$

$n = 0.03 \cdot 100 = 3$

Таким образом, годовая процентная ставка составляет 3%.

Сколько процентов в год начисляет банк?
Ответ: 3.

Помогло решение? Оставьте отзыв в комментариях ниже.

Присоединяйтесь к Телеграм-группе @gdz_by_belarus

Присоединиться

Мы подготовили для вас ответ c подробным объяснением домашего задания по алгебре за 9 класс, для упражнения номер 3 расположенного на странице 264 к учебнику 2019 года издания для учащихся школ и гимназий.

Теперь на нашем сайте ГДЗ.ТОП вы всегда легко и бесплатно найдёте условие с правильным ответом на вопрос «Как решить ДЗ» и «Как сделать» задание по алгебре к упражнению №3 (с. 264), авторов: Арефьева (Ирина Глебовна), Пирютко (Ольга Николаевна), учебного пособия издательства Народная асвета.