Номер 4.237, страница 250 - гдз по алгебре 9 класс учебник Арефьева, Пирютко

Алгебра, 9 класс Учебник, авторы: Арефьева Ирина Глебовна, Пирютко Ольга Николаевна, издательство Народная асвета, Минск, 2019, голубого цвета

Авторы: Арефьева И. Г., Пирютко О. Н.

Тип: Учебник

Издательство: Народная асвета

Год издания: 2019 - 2026

Цвет обложки: голубой, синий с графиком

ISBN: 978-985-03-3077-2

Допущено Министерством образования Республики Беларусь

Популярные ГДЗ в 9 классе

Глава 4. Прогрессии. Параграф 18. Формула суммы n первых членов геометрической прогрессии - номер 4.237, страница 250.

№4.237 (с. 250)
Условие. №4.237 (с. 250)
скриншот условия
Алгебра, 9 класс Учебник, авторы: Арефьева Ирина Глебовна, Пирютко Ольга Николаевна, издательство Народная асвета, Минск, 2019, голубого цвета, страница 250, номер 4.237, Условие

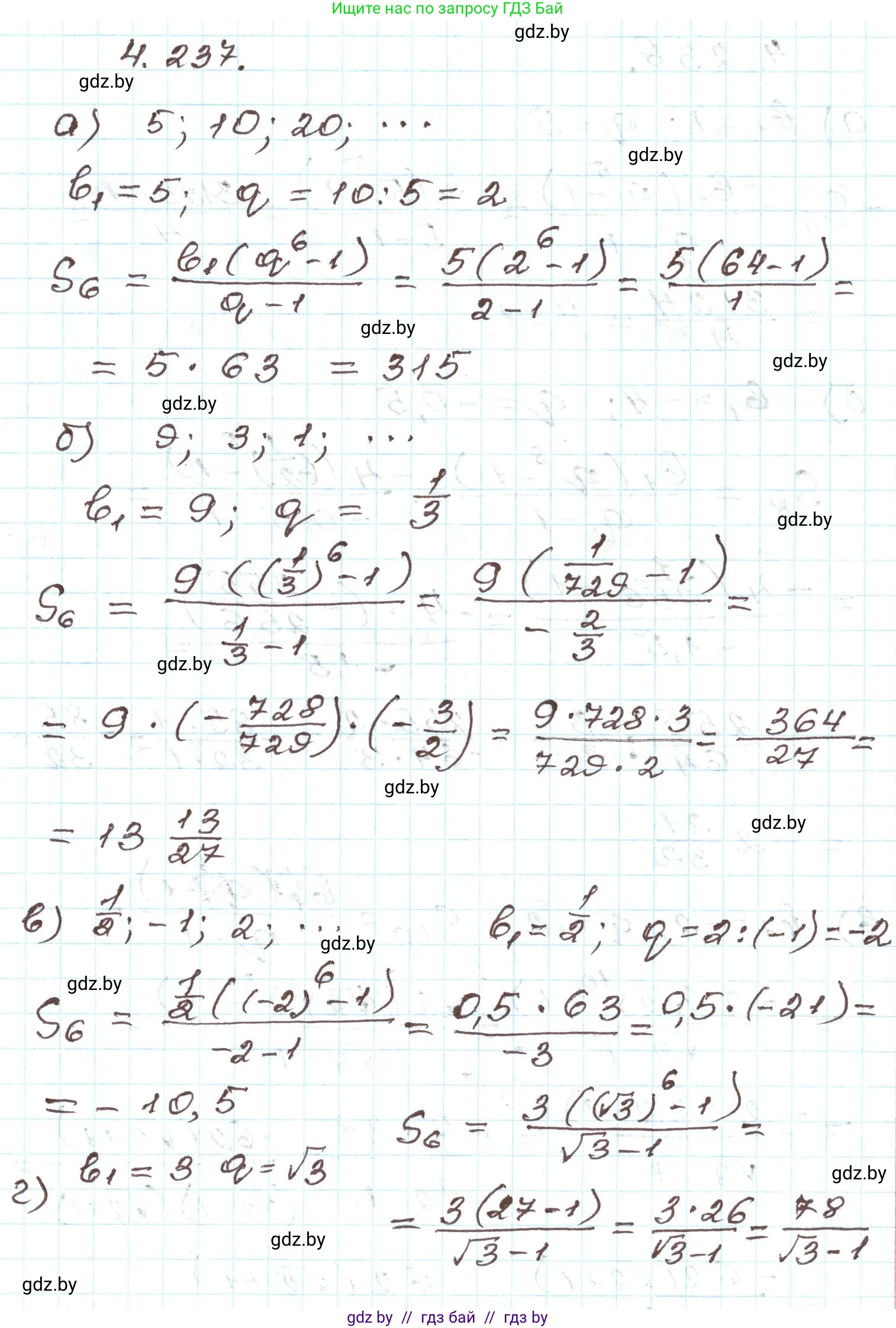
4.237. Найдите сумму шести первых членов геометрической прогрессии:

а) 5; 10; 20; ...;

б) 9; 3; 1; ...;

в) $\frac{1}{2}$; -1; 2; ...;

г) 3; $3\sqrt{3}$; 9; ... .

Решение. №4.237 (с. 250)
Алгебра, 9 класс Учебник, авторы: Арефьева Ирина Глебовна, Пирютко Ольга Николаевна, издательство Народная асвета, Минск, 2019, голубого цвета, страница 250, номер 4.237, Решение
Решение 2. №4.237 (с. 250)

Для нахождения суммы первых $n$ членов геометрической прогрессии ($b_n$) используется формула:
$S_n = \frac{b_1(q^n - 1)}{q - 1}$, где $b_1$ — первый член прогрессии, $q$ — знаменатель прогрессии.
Во всех случаях требуется найти сумму шести первых членов, поэтому $n=6$.

а) 5; 10; 20; ...

Первый член прогрессии $b_1 = 5$.
Найдем знаменатель прогрессии $q$:
$q = \frac{b_2}{b_1} = \frac{10}{5} = 2$.
Подставим значения в формулу суммы шести первых членов:
$S_6 = \frac{5(2^6 - 1)}{2 - 1} = \frac{5(64 - 1)}{1} = 5 \cdot 63 = 315$.
Ответ: 315.

б) 9; 3; 1; ...

Первый член прогрессии $b_1 = 9$.
Найдем знаменатель прогрессии $q$:
$q = \frac{b_2}{b_1} = \frac{3}{9} = \frac{1}{3}$.
Подставим значения в формулу суммы шести первых членов:
$S_6 = \frac{9((\frac{1}{3})^6 - 1)}{\frac{1}{3} - 1} = \frac{9(\frac{1}{729} - 1)}{-\frac{2}{3}} = \frac{9(-\frac{728}{729})}{-\frac{2}{3}} = \frac{9 \cdot 728 \cdot 3}{729 \cdot 2} = \frac{728}{81 \cdot 2 / 3} = \frac{728 \cdot 3}{81 \cdot 2} = \frac{364 \cdot 3}{81} = \frac{364}{27}$.
Преобразуем неправильную дробь в смешанное число: $\frac{364}{27} = 13\frac{13}{27}$.
Ответ: 13$\frac{13}{27}$.

в) $\frac{1}{2}$; -1; 2; ...

Первый член прогрессии $b_1 = \frac{1}{2}$.
Найдем знаменатель прогрессии $q$:
$q = \frac{b_2}{b_1} = \frac{-1}{1/2} = -2$.
Подставим значения в формулу суммы шести первых членов:
$S_6 = \frac{\frac{1}{2}((-2)^6 - 1)}{-2 - 1} = \frac{\frac{1}{2}(64 - 1)}{-3} = \frac{\frac{63}{2}}{-3} = -\frac{63}{6} = -\frac{21}{2}$.
Преобразуем неправильную дробь в смешанное число: $-\frac{21}{2} = -10\frac{1}{2}$.
Ответ: -10$\frac{1}{2}$.

г) 3; $3\sqrt{3}$; 9; ...

Первый член прогрессии $b_1 = 3$.
Найдем знаменатель прогрессии $q$:
$q = \frac{b_2}{b_1} = \frac{3\sqrt{3}}{3} = \sqrt{3}$.
Подставим значения в формулу суммы шести первых членов:
$S_6 = \frac{3((\sqrt{3})^6 - 1)}{\sqrt{3} - 1} = \frac{3(((\sqrt{3})^2)^3 - 1)}{\sqrt{3} - 1} = \frac{3(3^3 - 1)}{\sqrt{3} - 1} = \frac{3(27 - 1)}{\sqrt{3} - 1} = \frac{3 \cdot 26}{\sqrt{3} - 1} = \frac{78}{\sqrt{3} - 1}$.
Чтобы избавиться от иррациональности в знаменателе, умножим числитель и знаменатель на сопряженное выражение $(\sqrt{3} + 1)$:
$S_6 = \frac{78(\sqrt{3} + 1)}{(\sqrt{3} - 1)(\sqrt{3} + 1)} = \frac{78(\sqrt{3} + 1)}{(\sqrt{3})^2 - 1^2} = \frac{78(\sqrt{3} + 1)}{3 - 1} = \frac{78(\sqrt{3} + 1)}{2} = 39(\sqrt{3} + 1)$.
Ответ: $39(\sqrt{3} + 1)$.

Помогло решение? Оставьте отзыв в комментариях ниже.

Присоединяйтесь к Телеграм-группе @gdz_by_belarus

Присоединиться

Мы подготовили для вас ответ c подробным объяснением домашего задания по алгебре за 9 класс, для упражнения номер 4.237 расположенного на странице 250 к учебнику 2019 года издания для учащихся школ и гимназий.

Теперь на нашем сайте ГДЗ.ТОП вы всегда легко и бесплатно найдёте условие с правильным ответом на вопрос «Как решить ДЗ» и «Как сделать» задание по алгебре к упражнению №4.237 (с. 250), авторов: Арефьева (Ирина Глебовна), Пирютко (Ольга Николаевна), учебного пособия издательства Народная асвета.