Номер 113, страница 275 - гдз по алгебре 9 класс учебник Арефьева, Пирютко

Алгебра, 9 класс Учебник, авторы: Арефьева Ирина Глебовна, Пирютко Ольга Николаевна, издательство Народная асвета, Минск, 2019, голубого цвета

Авторы: Арефьева И. Г., Пирютко О. Н.

Тип: Учебник

Издательство: Народная асвета

Год издания: 2019 - 2026

Цвет обложки: голубой, синий с графиком

ISBN: 978-985-03-3077-2

Допущено Министерством образования Республики Беларусь

Популярные ГДЗ в 9 классе

Итоговое повторение. Выражения и их преобразования - номер 113, страница 275.

№113 (с. 275)
Условие. №113 (с. 275)
скриншот условия
Алгебра, 9 класс Учебник, авторы: Арефьева Ирина Глебовна, Пирютко Ольга Николаевна, издательство Народная асвета, Минск, 2019, голубого цвета, страница 275, номер 113, Условие

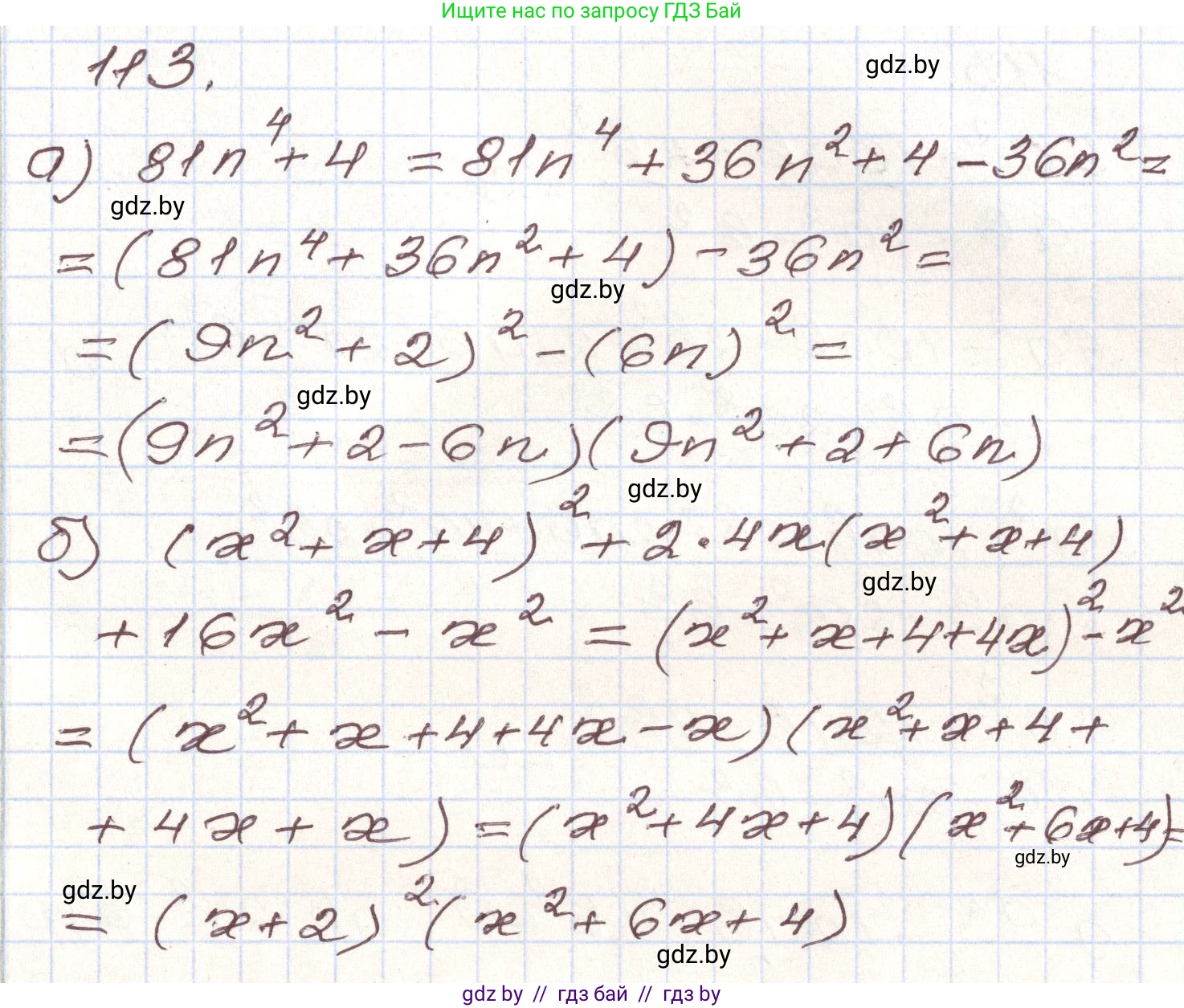
113*. Разложите на множители:

a) $81n^4 + 4$;

б) $(x^2 + x + 4)^2 + 8x(x^2 + x + 4) + 15x^2$.

Решение. №113 (с. 275)
Алгебра, 9 класс Учебник, авторы: Арефьева Ирина Глебовна, Пирютко Ольга Николаевна, издательство Народная асвета, Минск, 2019, голубого цвета, страница 275, номер 113, Решение
Решение 2. №113 (с. 275)

а) Для разложения на множители выражения $81n^4 + 4$ воспользуемся методом выделения полного квадрата. Этот метод основан на дополнении выражения до полного квадрата с последующим применением формулы разности квадратов.

Представим исходное выражение в виде суммы квадратов:

$81n^4 + 4 = (9n^2)^2 + 2^2$

Чтобы получить полный квадрат суммы $(a+b)^2 = a^2 + 2ab + b^2$, где $a = 9n^2$ и $b = 2$, нам не хватает удвоенного произведения $2ab = 2 \cdot 9n^2 \cdot 2 = 36n^2$.

Добавим и одновременно вычтем $36n^2$, чтобы значение выражения не изменилось:

$81n^4 + 4 = (81n^4 + 36n^2 + 4) - 36n^2$

Теперь первые три слагаемых образуют полный квадрат, а $36n^2$ можно представить как $(6n)^2$:

$(9n^2 + 2)^2 - (6n)^2$

Мы получили разность квадратов, которую можно разложить по формуле $A^2 - B^2 = (A-B)(A+B)$:

$(9n^2 + 2 - 6n)(9n^2 + 2 + 6n)$

Запишем члены в стандартном порядке убывания степеней $n$:

$(9n^2 - 6n + 2)(9n^2 + 6n + 2)$

Ответ: $(9n^2 - 6n + 2)(9n^2 + 6n + 2)$

б) Для разложения на множители выражения $(x^2 + x + 4)^2 + 8x(x^2 + x + 4) + 15x^2$ применим метод замены переменной.

Пусть $y = x^2 + x + 4$. Тогда исходное выражение примет вид:

$y^2 + 8xy + 15x^2$

Это выражение можно рассматривать как квадратный трехчлен относительно переменной $y$. Разложим его на множители. Для этого найдем два выражения, произведение которых равно $15x^2$, а сумма — $8x$. Такими выражениями являются $3x$ и $5x$, поскольку $3x \cdot 5x = 15x^2$ и $3x + 5x = 8x$.

Следовательно, трехчлен можно разложить на множители:

$(y + 3x)(y + 5x)$

Теперь выполним обратную замену, подставив вместо $y$ его первоначальное выражение $x^2 + x + 4$:

$((x^2 + x + 4) + 3x)((x^2 + x + 4) + 5x)$

Приведем подобные слагаемые в каждой из скобок:

$(x^2 + (x+3x) + 4)(x^2 + (x+5x) + 4)$

$(x^2 + 4x + 4)(x^2 + 6x + 4)$

Первый множитель $x^2 + 4x + 4$ является полным квадратом суммы: $x^2 + 2 \cdot x \cdot 2 + 2^2 = (x+2)^2$.

Второй множитель $x^2 + 6x + 4$ далее не раскладывается на множители с целыми коэффициентами.

Таким образом, окончательное разложение на множители:

$(x+2)^2(x^2 + 6x + 4)$

Ответ: $(x+2)^2(x^2 + 6x + 4)$

Помогло решение? Оставьте отзыв в комментариях ниже.

Присоединяйтесь к Телеграм-группе @gdz_by_belarus

Присоединиться

Мы подготовили для вас ответ c подробным объяснением домашего задания по алгебре за 9 класс, для упражнения номер 113 расположенного на странице 275 к учебнику 2019 года издания для учащихся школ и гимназий.

Теперь на нашем сайте ГДЗ.ТОП вы всегда легко и бесплатно найдёте условие с правильным ответом на вопрос «Как решить ДЗ» и «Как сделать» задание по алгебре к упражнению №113 (с. 275), авторов: Арефьева (Ирина Глебовна), Пирютко (Ольга Николаевна), учебного пособия издательства Народная асвета.