Номер 141, страница 277 - гдз по алгебре 9 класс учебник Арефьева, Пирютко

Алгебра, 9 класс Учебник, авторы: Арефьева Ирина Глебовна, Пирютко Ольга Николаевна, издательство Народная асвета, Минск, 2019, голубого цвета

Авторы: Арефьева И. Г., Пирютко О. Н.

Тип: Учебник

Издательство: Народная асвета

Год издания: 2019 - 2026

Цвет обложки: голубой, синий с графиком

ISBN: 978-985-03-3077-2

Допущено Министерством образования Республики Беларусь

Популярные ГДЗ в 9 классе

Итоговое повторение. Выражения и их преобразования - номер 141, страница 277.

№141 (с. 277)
Условие. №141 (с. 277)
скриншот условия
Алгебра, 9 класс Учебник, авторы: Арефьева Ирина Глебовна, Пирютко Ольга Николаевна, издательство Народная асвета, Минск, 2019, голубого цвета, страница 277, номер 141, Условие

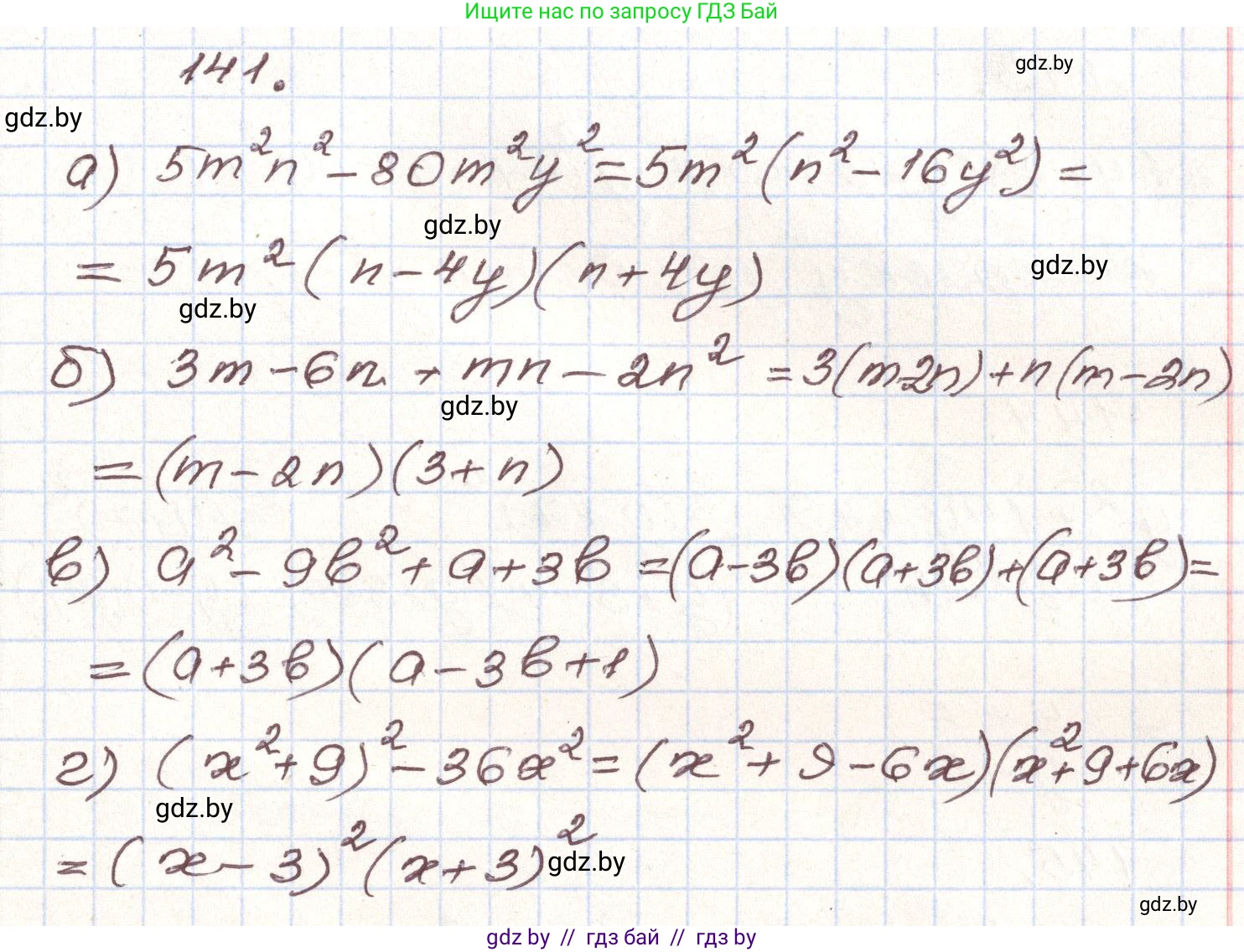
141. Разложите многочлен на множители:

а) $5m^2n^2 - 80m^2y^2$;

б) $3m - 6n + mn - 2n^2$;

в) $a^2 - 9b^2 + a + 3b$;

г) $(x^2 + 9)^2 - 36x^2$.

Решение. №141 (с. 277)
Алгебра, 9 класс Учебник, авторы: Арефьева Ирина Глебовна, Пирютко Ольга Николаевна, издательство Народная асвета, Минск, 2019, голубого цвета, страница 277, номер 141, Решение
Решение 2. №141 (с. 277)

а) Для того чтобы разложить на множители многочлен $5m^2n^2 - 80m^2y^2$, необходимо вынести за скобки общий множитель. В данном случае общим множителем является $5m^2$.
$5m^2n^2 - 80m^2y^2 = 5m^2(n^2 - 16y^2)$
Выражение в скобках $n^2 - 16y^2$ является разностью квадратов, так как $16y^2$ можно представить как $(4y)^2$. Воспользуемся формулой разности квадратов $a^2 - b^2 = (a - b)(a + b)$.
$n^2 - 16y^2 = n^2 - (4y)^2 = (n - 4y)(n + 4y)$
Подставив полученное разложение обратно в выражение, получаем окончательный результат.
Ответ: $5m^2(n - 4y)(n + 4y)$

б) Для разложения многочлена $3m - 6n + mn - 2n^2$ на множители применим метод группировки. Сгруппируем первое и второе слагаемые, а также третье и четвертое.
$(3m - 6n) + (mn - 2n^2)$
Из первой группы вынесем за скобки общий множитель 3, а из второй — общий множитель $n$.
$3(m - 2n) + n(m - 2n)$
Теперь можно вынести за скобки общий множитель $(m - 2n)$.
Ответ: $(m - 2n)(3 + n)$

в) Рассмотрим многочлен $a^2 - 9b^2 + a + 3b$. Первые два слагаемых $a^2 - 9b^2$ образуют разность квадратов, которую можно разложить по формуле $x^2 - y^2 = (x - y)(x + y)$.
$a^2 - 9b^2 = a^2 - (3b)^2 = (a - 3b)(a + 3b)$
Теперь исходное выражение можно записать в следующем виде:
$(a - 3b)(a + 3b) + (a + 3b)$
Сгруппируем последние два слагаемых, представив их как $(a + 3b) \cdot 1$:
$(a - 3b)(a + 3b) + 1 \cdot (a + 3b)$
Вынесем общий множитель $(a + 3b)$ за скобки.
$(a + 3b)((a - 3b) + 1)$
Ответ: $(a + 3b)(a - 3b + 1)$

г) Выражение $(x^2 + 9)^2 - 36x^2$ является разностью квадратов, так как $36x^2 = (6x)^2$. Применим формулу разности квадратов $A^2 - B^2 = (A - B)(A + B)$, где $A = x^2 + 9$ и $B = 6x$.
$((x^2 + 9) - 6x)((x^2 + 9) + 6x)$
Упорядочим слагаемые внутри скобок:
$(x^2 - 6x + 9)(x^2 + 6x + 9)$
Каждое из выражений в скобках представляет собой полный квадрат. Используем формулы квадрата разности $a^2 - 2ab + b^2 = (a - b)^2$ и квадрата суммы $a^2 + 2ab + b^2 = (a + b)^2$.
Первый множитель: $x^2 - 2 \cdot x \cdot 3 + 3^2 = (x - 3)^2$.
Второй множитель: $x^2 + 2 \cdot x \cdot 3 + 3^2 = (x + 3)^2$.
Следовательно, окончательное разложение на множители выглядит так:
Ответ: $(x - 3)^2(x + 3)^2$

Помогло решение? Оставьте отзыв в комментариях ниже.

Присоединяйтесь к Телеграм-группе @gdz_by_belarus

Присоединиться

Мы подготовили для вас ответ c подробным объяснением домашего задания по алгебре за 9 класс, для упражнения номер 141 расположенного на странице 277 к учебнику 2019 года издания для учащихся школ и гимназий.

Теперь на нашем сайте ГДЗ.ТОП вы всегда легко и бесплатно найдёте условие с правильным ответом на вопрос «Как решить ДЗ» и «Как сделать» задание по алгебре к упражнению №141 (с. 277), авторов: Арефьева (Ирина Глебовна), Пирютко (Ольга Николаевна), учебного пособия издательства Народная асвета.