Номер 195, страница 285 - гдз по алгебре 9 класс учебник Арефьева, Пирютко

Алгебра, 9 класс Учебник, авторы: Арефьева Ирина Глебовна, Пирютко Ольга Николаевна, издательство Народная асвета, Минск, 2019, голубого цвета

Авторы: Арефьева И. Г., Пирютко О. Н.

Тип: Учебник

Издательство: Народная асвета

Год издания: 2019 - 2026

Цвет обложки: голубой, синий с графиком

ISBN: 978-985-03-3077-2

Допущено Министерством образования Республики Беларусь

Популярные ГДЗ в 9 классе

Итоговое повторение. Функции и их свойства - номер 195, страница 285.

№195 (с. 285)
Условие. №195 (с. 285)
скриншот условия
Алгебра, 9 класс Учебник, авторы: Арефьева Ирина Глебовна, Пирютко Ольга Николаевна, издательство Народная асвета, Минск, 2019, голубого цвета, страница 285, номер 195, Условие

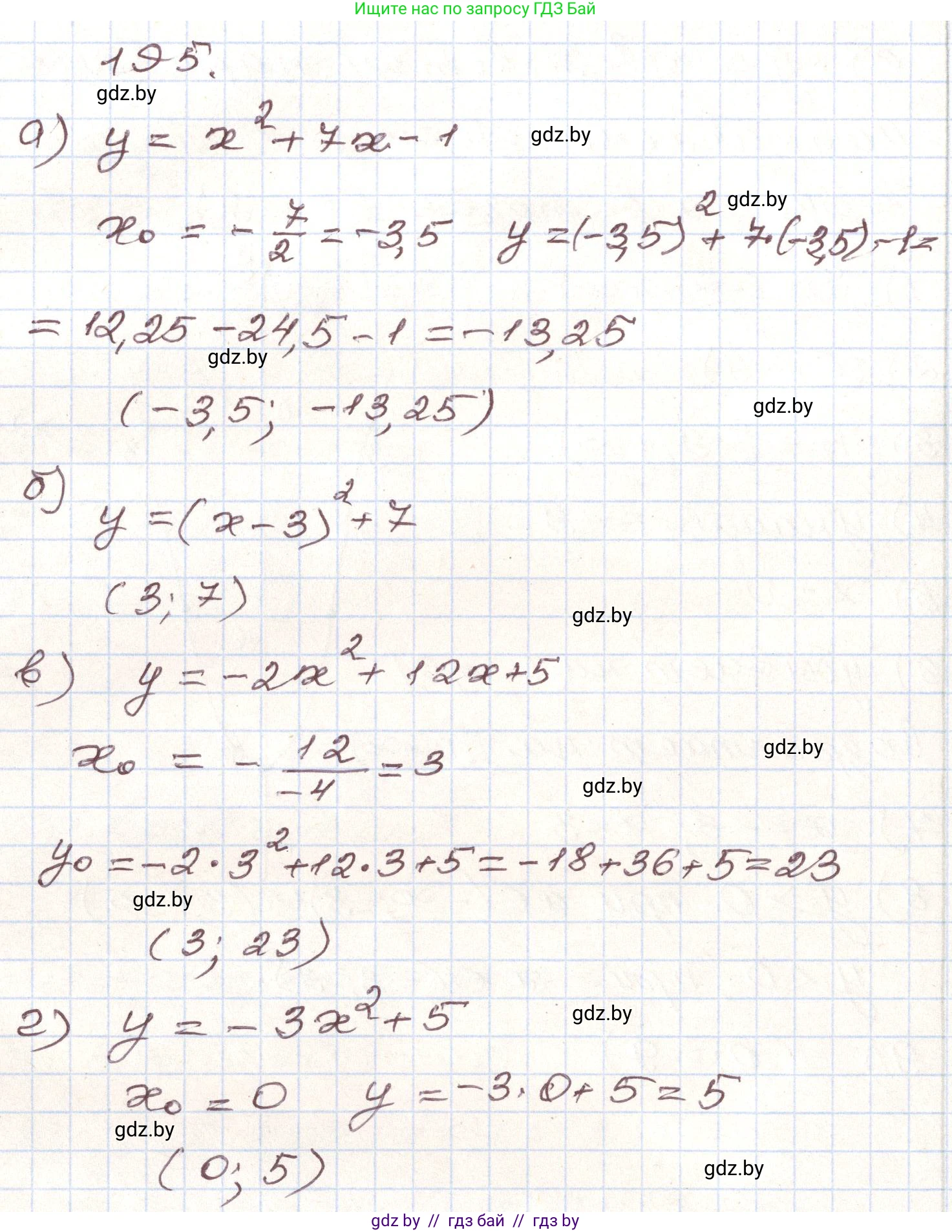
195. Найдите координаты вершины параболы:

а) $y=x^2+7x-1$;

б) $y=(x-3)^2+7$;

в) $y=-2x^2+12x+5$;

г) $y=-3x^2+5$.

Решение. №195 (с. 285)
Алгебра, 9 класс Учебник, авторы: Арефьева Ирина Глебовна, Пирютко Ольга Николаевна, издательство Народная асвета, Минск, 2019, голубого цвета, страница 285, номер 195, Решение
Решение 2. №195 (с. 285)

Чтобы найти координаты вершины параболы, можно использовать одну из двух форм записи уравнения:

  • Для стандартной формы $y = ax^2 + bx + c$ координаты вершины $(x_0; y_0)$ вычисляются по формулам: $x_0 = -\frac{b}{2a}$ и $y_0 = y(x_0)$.
  • Для вершинной формы $y = a(x - h)^2 + k$ координаты вершины равны $(h; k)$.

а) $y = x^2 + 7x - 1$

Это уравнение параболы в стандартной форме, где $a=1$, $b=7$, $c=-1$.
Найдем абсциссу (координату $x$) вершины:

$x_0 = -\frac{b}{2a} = -\frac{7}{2 \cdot 1} = -\frac{7}{2}$

Теперь найдем ординату (координату $y$) вершины, подставив значение $x_0$ в исходное уравнение:

$y_0 = (-\frac{7}{2})^2 + 7(-\frac{7}{2}) - 1 = \frac{49}{4} - \frac{49}{2} - 1 = \frac{49}{4} - \frac{98}{4} - \frac{4}{4} = \frac{49 - 98 - 4}{4} = -\frac{53}{4}$

Координаты вершины: $(-\frac{7}{2}; -\frac{53}{4})$.
Преобразуем неправильные дроби в смешанные числа: $-\frac{7}{2} = -3\frac{1}{2}$ и $-\frac{53}{4} = -13\frac{1}{4}$.
Ответ: (-3$\frac{1}{2}$; -13$\frac{1}{4}$)

б) $y = (x - 3)^2 + 7$

Это уравнение параболы в вершинной форме $y = a(x - h)^2 + k$.
В данном случае $h=3$ и $k=7$.
Координаты вершины параболы сразу видны из уравнения.
Ответ: $(3; 7)$

в) $y = -2x^2 + 12x + 5$

Это уравнение параболы в стандартной форме, где $a=-2$, $b=12$, $c=5$.
Найдем абсциссу вершины:

$x_0 = -\frac{b}{2a} = -\frac{12}{2 \cdot (-2)} = -\frac{12}{-4} = 3$

Теперь найдем ординату вершины, подставив $x_0=3$ в уравнение:

$y_0 = -2(3)^2 + 12(3) + 5 = -2 \cdot 9 + 36 + 5 = -18 + 36 + 5 = 23$

Ответ: $(3; 23)$

г) $y = -3x^2 + 5$

Это уравнение параболы в стандартной форме, где $a=-3$, $b=0$, $c=5$.
Найдем абсциссу вершины:

$x_0 = -\frac{b}{2a} = -\frac{0}{2 \cdot (-3)} = 0$

Найдем ординату вершины:

$y_0 = -3(0)^2 + 5 = 5$

Также это уравнение можно представить в вершинной форме $y = -3(x-0)^2 + 5$, откуда видно, что вершина находится в точке $(0; 5)$.
Ответ: $(0; 5)$

Помогло решение? Оставьте отзыв в комментариях ниже.

Присоединяйтесь к Телеграм-группе @gdz_by_belarus

Присоединиться

Мы подготовили для вас ответ c подробным объяснением домашего задания по алгебре за 9 класс, для упражнения номер 195 расположенного на странице 285 к учебнику 2019 года издания для учащихся школ и гимназий.

Теперь на нашем сайте ГДЗ.ТОП вы всегда легко и бесплатно найдёте условие с правильным ответом на вопрос «Как решить ДЗ» и «Как сделать» задание по алгебре к упражнению №195 (с. 285), авторов: Арефьева (Ирина Глебовна), Пирютко (Ольга Николаевна), учебного пособия издательства Народная асвета.