Номер 230, страница 290 - гдз по алгебре 9 класс учебник Арефьева, Пирютко

Алгебра, 9 класс Учебник, авторы: Арефьева Ирина Глебовна, Пирютко Ольга Николаевна, издательство Народная асвета, Минск, 2019, голубого цвета

Авторы: Арефьева И. Г., Пирютко О. Н.

Тип: Учебник

Издательство: Народная асвета

Год издания: 2019 - 2026

Цвет обложки: голубой, синий с графиком

ISBN: 978-985-03-3077-2

Допущено Министерством образования Республики Беларусь

Популярные ГДЗ в 9 классе

Итоговое повторение. Функции и их свойства - номер 230, страница 290.

№230 (с. 290)
Условие. №230 (с. 290)
скриншот условия
Алгебра, 9 класс Учебник, авторы: Арефьева Ирина Глебовна, Пирютко Ольга Николаевна, издательство Народная асвета, Минск, 2019, голубого цвета, страница 290, номер 230, Условие

230. Постройте график функции:

а) $y = x^2 + 4x + 3;$

б) $y = (x - 7)(x - 1);$

в) $y = x^2 + 2x + 3;$

г) $y = x^2 - 4x + 4;$

д) $y = x^2 - 6x;$

е) $y = -x^2 + 9.$

Для каждой функции найдите:

1) область определения;

2) координаты вершины параболы;

3) множество значений;

4) наибольшее (наименьшее) значение;

5) ось симметрии параболы;

6) промежутки монотонности;

7) нули;

8) промежутки знакопостоянства;

9) координаты точки пересечения графика функции с осью ординат.

Решение. №230 (с. 290)
Алгебра, 9 класс Учебник, авторы: Арефьева Ирина Глебовна, Пирютко Ольга Николаевна, издательство Народная асвета, Минск, 2019, голубого цвета, страница 290, номер 230, Решение Алгебра, 9 класс Учебник, авторы: Арефьева Ирина Глебовна, Пирютко Ольга Николаевна, издательство Народная асвета, Минск, 2019, голубого цвета, страница 290, номер 230, Решение (продолжение 2)
Решение 2. №230 (с. 290)

а) $y = x^2 + 4x + 3$

Графиком функции является парабола, ветви которой направлены вверх (т.к. коэффициент при $x^2$ равен $1 > 0$). Для построения графика найдем ключевые точки: вершину, точки пересечения с осями координат. Вершина параболы: $(-2, -1)$. Точки пересечения с осью Ox (нули функции): $(-3, 0)$ и $(-1, 0)$. Точка пересечения с осью Oy: $(0, 3)$. Возьмем еще одну точку для точности, симметричную точке $(0, 3)$ относительно оси симметрии $x=-2$. Это будет точка с абсциссой $x = -4$, ордината которой $y(-4) = (-4)^2 + 4(-4) + 3 = 16 - 16 + 3 = 3$. Точка $(-4, 3)$. Соединив эти точки плавной линией, получаем график параболы.

  • 1) область определения; Функция является многочленом, поэтому она определена для всех действительных чисел. Ответ: $D(y) = (-\infty; +\infty)$.
  • 2) координаты вершины параболы; Координаты вершины параболы $y = ax^2 + bx + c$ находятся по формулам $x_0 = -\frac{b}{2a}$, $y_0 = y(x_0)$. $x_0 = -\frac{4}{2 \cdot 1} = -2$. $y_0 = (-2)^2 + 4(-2) + 3 = 4 - 8 + 3 = -1$. Ответ: $(-2; -1)$.
  • 3) множество значений; Так как ветви параболы направлены вверх, а ордината вершины равна -1, множество значений функции — все числа, большие или равные -1. Ответ: $E(y) = [-1; +\infty)$.
  • 4) наибольшее (наименьшее) значение; Функция имеет наименьшее значение в вершине параболы. Наибольшего значения не существует, так как ветви уходят в бесконечность. Ответ: $y_{min} = -1$.
  • 5) ось симметрии параболы; Ось симметрии — это вертикальная прямая, проходящая через вершину параболы. Ответ: $x = -2$.
  • 6) промежутки монотонности; Функция убывает слева от вершины и возрастает справа от вершины. Ответ: функция убывает на промежутке $(-\infty; -2]$ и возрастает на промежутке $[-2; +\infty)$.
  • 7) нули; Нули функции — это значения $x$, при которых $y = 0$. $x^2 + 4x + 3 = 0$. По теореме Виета: $x_1 + x_2 = -4$, $x_1 \cdot x_2 = 3$. Корни: $x_1 = -3, x_2 = -1$. Ответ: $x_1 = -3, x_2 = -1$.
  • 8) промежутки знакопостоянства; $y > 0$ на интервалах, где график выше оси Ox. $y < 0$ на интервале, где график ниже оси Ox. Ответ: $y > 0$ при $x \in (-\infty; -3) \cup (-1; +\infty)$; $y < 0$ при $x \in (-3; -1)$.
  • 9) координаты точки пересечения графика функции с осью ординат. Для нахождения точки пересечения с осью Oy, подставим $x = 0$ в уравнение функции. $y(0) = 0^2 + 4 \cdot 0 + 3 = 3$. Ответ: $(0; 3)$.

б) $y = (x - 7)(x - 1)$

Раскроем скобки: $y = x^2 - 8x + 7$. Это парабола с ветвями вверх ($a=1 > 0$). Вершина: $(4, -9)$. Нули функции (из исходного вида): $x=1$ и $x=7$. Точка пересечения с Oy: $(0, 7)$. Симметричная точка: $(8, 7)$. Соединив точки $(1, 0), (7, 0), (4, -9), (0, 7), (8, 7)$ плавной линией, строим график.

  • 1) область определения; Ответ: $D(y) = (-\infty; +\infty)$.
  • 2) координаты вершины параболы; $y = x^2 - 8x + 7$. $x_0 = -\frac{-8}{2 \cdot 1} = 4$. $y_0 = (4-7)(4-1) = (-3)(3) = -9$. Ответ: $(4; -9)$.
  • 3) множество значений; Ветви вверх, вершина в $y=-9$. Ответ: $E(y) = [-9; +\infty)$.
  • 4) наибольшее (наименьшее) значение; Ответ: $y_{min} = -9$.
  • 5) ось симметрии параболы; Ответ: $x = 4$.
  • 6) промежутки монотонности; Ответ: функция убывает на $(-\infty; 4]$ и возрастает на $[4; +\infty)$.
  • 7) нули; $(x-7)(x-1) = 0$. Ответ: $x_1 = 1, x_2 = 7$.
  • 8) промежутки знакопостоянства; Ответ: $y > 0$ при $x \in (-\infty; 1) \cup (7; +\infty)$; $y < 0$ при $x \in (1; 7)$.
  • 9) координаты точки пересечения графика функции с осью ординат. $y(0) = (0-7)(0-1) = 7$. Ответ: $(0; 7)$.

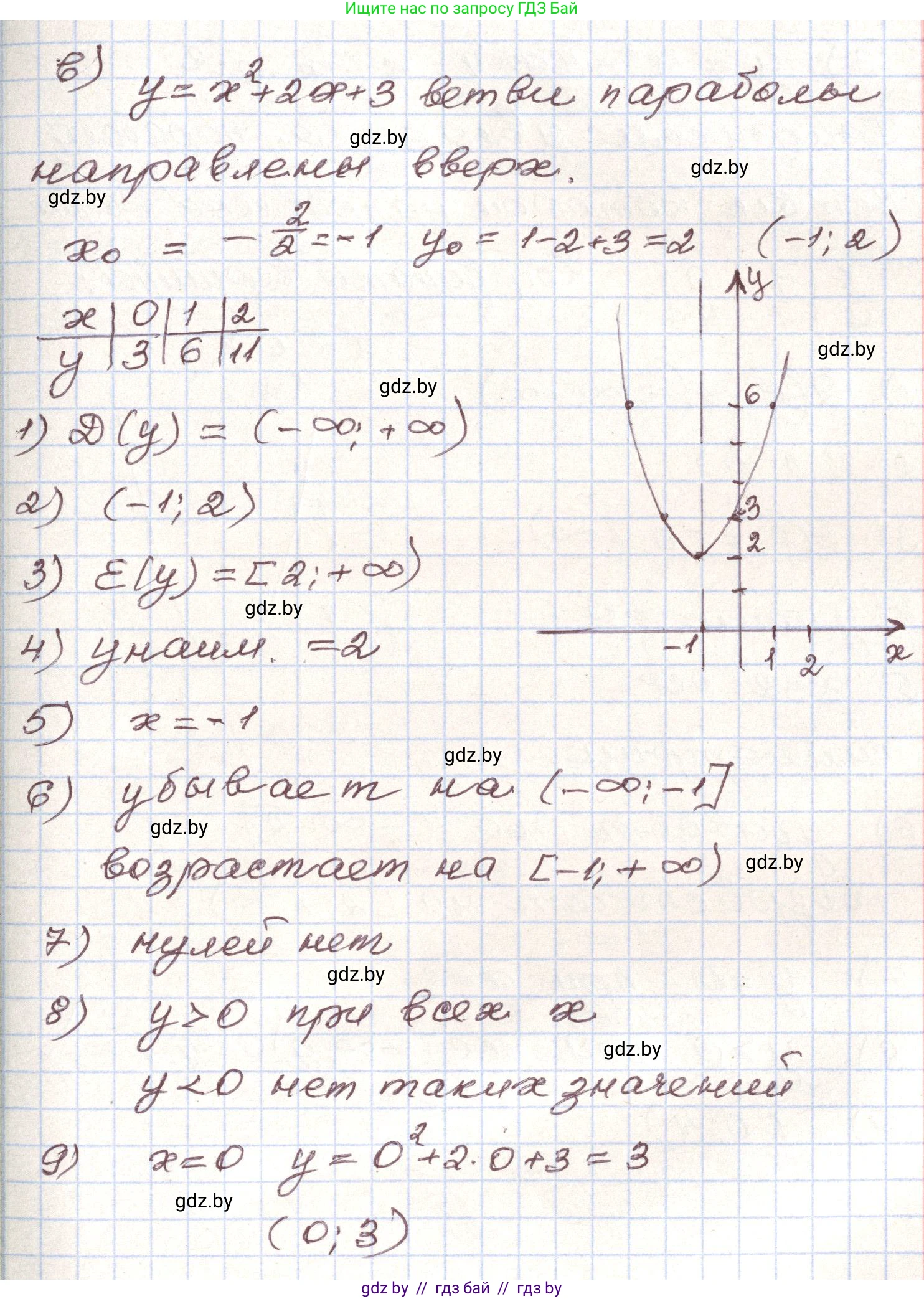
в) $y = x^2 + 2x + 3$

График — парабола, ветви вверх ($a=1 > 0$). Вершина: $(-1, 2)$. Нулей нет, так как $D < 0$ и вершина находится выше оси Ox. Пересечение с Oy: $(0, 3)$. Симметричная точка: $(-2, 3)$. Строим параболу по точкам $(-1, 2), (0, 3), (-2, 3)$.

  • 1) область определения; Ответ: $D(y) = (-\infty; +\infty)$.
  • 2) координаты вершины параболы; $x_0 = -\frac{2}{2 \cdot 1} = -1$. $y_0 = (-1)^2 + 2(-1) + 3 = 1 - 2 + 3 = 2$. Ответ: $(-1; 2)$.
  • 3) множество значений; Ответ: $E(y) = [2; +\infty)$.
  • 4) наибольшее (наименьшее) значение; Ответ: $y_{min} = 2$.
  • 5) ось симметрии параболы; Ответ: $x = -1$.
  • 6) промежутки монотонности; Ответ: функция убывает на $(-\infty; -1]$ и возрастает на $[-1; +\infty)$.
  • 7) нули; $x^2 + 2x + 3 = 0$. $D = 2^2 - 4 \cdot 1 \cdot 3 = 4 - 12 = -8 < 0$. Действительных корней нет. Ответ: нулей нет.
  • 8) промежутки знакопостоянства; Так как $a > 0$ и нулей нет, функция всегда положительна. Ответ: $y > 0$ при $x \in (-\infty; +\infty)$.
  • 9) координаты точки пересечения графика функции с осью ординат. $y(0) = 0^2 + 2 \cdot 0 + 3 = 3$. Ответ: $(0; 3)$.

г) $y = x^2 - 4x + 4$

Функцию можно записать как $y = (x-2)^2$. Это стандартная парабола $y=x^2$, смещенная на 2 единицы вправо. Ветви направлены вверх. Вершина: $(2, 0)$. Эта же точка является единственным нулем функции. Пересечение с Oy: $(0, 4)$. Симметричная точка: $(4, 4)$. Строим график по точкам $(2, 0), (0, 4), (4, 4)$.

  • 1) область определения; Ответ: $D(y) = (-\infty; +\infty)$.
  • 2) координаты вершины параболы; $x_0 = -\frac{-4}{2 \cdot 1} = 2$. $y_0 = 2^2 - 4 \cdot 2 + 4 = 0$. Ответ: $(2; 0)$.
  • 3) множество значений; Ответ: $E(y) = [0; +\infty)$.
  • 4) наибольшее (наименьшее) значение; Ответ: $y_{min} = 0$.
  • 5) ось симметрии параболы; Ответ: $x = 2$.
  • 6) промежутки монотонности; Ответ: функция убывает на $(-\infty; 2]$ и возрастает на $[2; +\infty)$.
  • 7) нули; $x^2 - 4x + 4 = 0 \Rightarrow (x-2)^2 = 0$. Ответ: $x = 2$.
  • 8) промежутки знакопостоянства; Функция равна нулю в $x=2$ и положительна при всех других значениях $x$. Ответ: $y > 0$ при $x \in (-\infty; 2) \cup (2; +\infty)$.
  • 9) координаты точки пересечения графика функции с осью ординат. $y(0) = 0^2 - 4 \cdot 0 + 4 = 4$. Ответ: $(0; 4)$.

д) $y = x^2 - 6x$

График — парабола, ветви вверх ($a=1 > 0$). Вершина: $(3, -9)$. Нули: $x(x-6)=0 \Rightarrow x=0, x=6$. Пересечение с Oy: $(0, 0)$. Строим график по точкам $(3, -9), (0, 0), (6, 0)$.

  • 1) область определения; Ответ: $D(y) = (-\infty; +\infty)$.
  • 2) координаты вершины параболы; $x_0 = -\frac{-6}{2 \cdot 1} = 3$. $y_0 = 3^2 - 6 \cdot 3 = 9 - 18 = -9$. Ответ: $(3; -9)$.
  • 3) множество значений; Ответ: $E(y) = [-9; +\infty)$.
  • 4) наибольшее (наименьшее) значение; Ответ: $y_{min} = -9$.
  • 5) ось симметрии параболы; Ответ: $x = 3$.
  • 6) промежутки монотонности; Ответ: функция убывает на $(-\infty; 3]$ и возрастает на $[3; +\infty)$.
  • 7) нули; $x^2 - 6x = 0 \Rightarrow x(x-6) = 0$. Ответ: $x_1 = 0, x_2 = 6$.
  • 8) промежутки знакопостоянства; Ответ: $y > 0$ при $x \in (-\infty; 0) \cup (6; +\infty)$; $y < 0$ при $x \in (0; 6)$.
  • 9) координаты точки пересечения графика функции с осью ординат. $y(0) = 0^2 - 6 \cdot 0 = 0$. Ответ: $(0; 0)$.

е) $y = -x^2 + 9$

График — парабола, ветви вниз ($a=-1 < 0$). Вершина: $(0, 9)$. Нули: $9-x^2=0 \Rightarrow (3-x)(3+x)=0 \Rightarrow x=-3, x=3$. Пересечение с Oy: $(0, 9)$, совпадает с вершиной. Строим график по точкам $(0, 9), (-3, 0), (3, 0)$.

  • 1) область определения; Ответ: $D(y) = (-\infty; +\infty)$.
  • 2) координаты вершины параболы; $x_0 = -\frac{0}{2 \cdot (-1)} = 0$. $y_0 = -0^2 + 9 = 9$. Ответ: $(0; 9)$.
  • 3) множество значений; Ветви вниз, вершина в $y=9$. Ответ: $E(y) = (-\infty; 9]$.
  • 4) наибольшее (наименьшее) значение; Функция имеет наибольшее значение в вершине. Ответ: $y_{max} = 9$.
  • 5) ось симметрии параболы; Ответ: $x = 0$ (ось Oy).
  • 6) промежутки монотонности; Функция возрастает слева от вершины ($x=0$) и убывает справа. Ответ: функция возрастает на $(-\infty; 0]$ и убывает на $[0; +\infty)$.
  • 7) нули; $-x^2 + 9 = 0 \Rightarrow x^2 = 9$. Ответ: $x_1 = -3, x_2 = 3$.
  • 8) промежутки знакопостоянства; Ветви вниз, значит функция положительна между корнями. Ответ: $y > 0$ при $x \in (-3; 3)$; $y < 0$ при $x \in (-\infty; -3) \cup (3; +\infty)$.
  • 9) координаты точки пересечения графика функции с осью ординат. $y(0) = -0^2 + 9 = 9$. Ответ: $(0; 9)$.

Помогло решение? Оставьте отзыв в комментариях ниже.

Присоединяйтесь к Телеграм-группе @gdz_by_belarus

Присоединиться

Мы подготовили для вас ответ c подробным объяснением домашего задания по алгебре за 9 класс, для упражнения номер 230 расположенного на странице 290 к учебнику 2019 года издания для учащихся школ и гимназий.

Теперь на нашем сайте ГДЗ.ТОП вы всегда легко и бесплатно найдёте условие с правильным ответом на вопрос «Как решить ДЗ» и «Как сделать» задание по алгебре к упражнению №230 (с. 290), авторов: Арефьева (Ирина Глебовна), Пирютко (Ольга Николаевна), учебного пособия издательства Народная асвета.