Номер 264, страница 294 - гдз по алгебре 9 класс учебник Арефьева, Пирютко

Алгебра, 9 класс Учебник, авторы: Арефьева Ирина Глебовна, Пирютко Ольга Николаевна, издательство Народная асвета, Минск, 2019, голубого цвета

Авторы: Арефьева И. Г., Пирютко О. Н.

Тип: Учебник

Издательство: Народная асвета

Год издания: 2019 - 2026

Цвет обложки: голубой, синий с графиком

ISBN: 978-985-03-3077-2

Допущено Министерством образования Республики Беларусь

Популярные ГДЗ в 9 классе

Итоговое повторение. Уравнения, неравенства, системы - номер 264, страница 294.

№264 (с. 294)
Условие. №264 (с. 294)
скриншот условия
Алгебра, 9 класс Учебник, авторы: Арефьева Ирина Глебовна, Пирютко Ольга Николаевна, издательство Народная асвета, Минск, 2019, голубого цвета, страница 294, номер 264, Условие

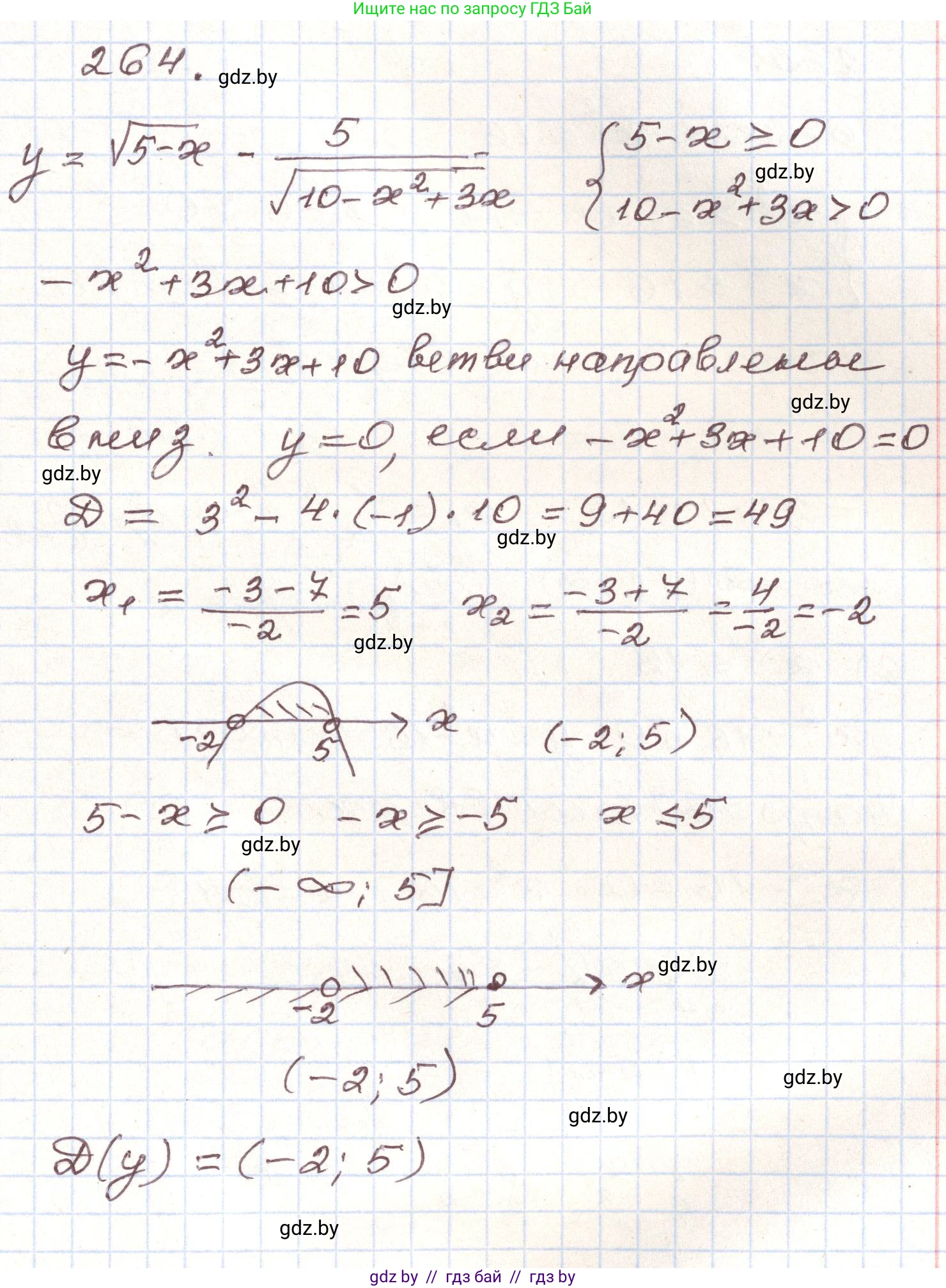
264. Найдите область определения функции

$y = \sqrt{5 - x} - \frac{5}{\sqrt{10 - x^2 + 3x}}$

Решение. №264 (с. 294)
Алгебра, 9 класс Учебник, авторы: Арефьева Ирина Глебовна, Пирютко Ольга Николаевна, издательство Народная асвета, Минск, 2019, голубого цвета, страница 294, номер 264, Решение
Решение 2. №264 (с. 294)

Область определения функции (ОДЗ) — это множество всех значений аргумента $x$, при которых функция определена. Для данной функции $y = \sqrt{5 - x} - \frac{5}{\sqrt{10 - x^2 + 3x}}$ должны одновременно выполняться два условия, из которых составляется система неравенств:

$ \begin{cases} 5 - x \ge 0 \\ 10 - x^2 + 3x > 0 \end{cases} $

Решим каждое неравенство по отдельности.

Условие 1

Подкоренное выражение первого слагаемого ($\sqrt{5-x}$) должно быть неотрицательным.

$5 - x \ge 0$

Перенесем $x$ в правую часть неравенства:

$5 \ge x$, что равносильно $x \le 5$.

Ответ: $x \in (-\infty; 5]$.

Условие 2

Подкоренное выражение в знаменателе ($\sqrt{10 - x^2 + 3x}$) должно быть строго положительным, так как корень не может быть извлечен из отрицательного числа, а знаменатель дроби не может быть равен нулю.

$10 - x^2 + 3x > 0$

Умножим неравенство на -1, чтобы коэффициент при $x^2$ стал положительным, и поменяем знак неравенства на противоположный:

$x^2 - 3x - 10 < 0$

Найдем корни соответствующего квадратного уравнения $x^2 - 3x - 10 = 0$.

Вычислим дискриминант: $D = b^2 - 4ac = (-3)^2 - 4 \cdot 1 \cdot (-10) = 9 + 40 = 49$.

Найдем корни уравнения:

$x_1 = \frac{-b - \sqrt{D}}{2a} = \frac{3 - 7}{2} = -2$

$x_2 = \frac{-b + \sqrt{D}}{2a} = \frac{3 + 7}{2} = 5$

Так как графиком функции $y = x^2 - 3x - 10$ является парабола, ветви которой направлены вверх, то неравенство $x^2 - 3x - 10 < 0$ выполняется на интервале между корнями.

Ответ: $x \in (-2; 5)$.

Область определения функции

Итоговая область определения является пересечением решений, полученных для каждого условия:

$\begin{cases} x \le 5 \\ -2 < x < 5 \end{cases}$

Пересечением множеств $(-\infty; 5]$ и $(-2; 5)$ является интервал $(-2; 5)$.

Ответ: $x \in (-2; 5)$.

Помогло решение? Оставьте отзыв в комментариях ниже.

Присоединяйтесь к Телеграм-группе @gdz_by_belarus

Присоединиться

Мы подготовили для вас ответ c подробным объяснением домашего задания по алгебре за 9 класс, для упражнения номер 264 расположенного на странице 294 к учебнику 2019 года издания для учащихся школ и гимназий.

Теперь на нашем сайте ГДЗ.ТОП вы всегда легко и бесплатно найдёте условие с правильным ответом на вопрос «Как решить ДЗ» и «Как сделать» задание по алгебре к упражнению №264 (с. 294), авторов: Арефьева (Ирина Глебовна), Пирютко (Ольга Николаевна), учебного пособия издательства Народная асвета.