Номер 26, страница 267 - гдз по алгебре 9 класс учебник Арефьева, Пирютко

Алгебра, 9 класс Учебник, авторы: Арефьева Ирина Глебовна, Пирютко Ольга Николаевна, издательство Народная асвета, Минск, 2019, голубого цвета

Авторы: Арефьева И. Г., Пирютко О. Н.

Тип: Учебник

Издательство: Народная асвета

Год издания: 2019 - 2026

Цвет обложки: голубой, синий с графиком

ISBN: 978-985-03-3077-2

Допущено Министерством образования Республики Беларусь

Итоговое повторение. Числа и вычисления - номер 26, страница 267.

№26 (с. 267)
Условие. №26 (с. 267)
скриншот условия
Алгебра, 9 класс Учебник, авторы: Арефьева Ирина Глебовна, Пирютко Ольга Николаевна, издательство Народная асвета, Минск, 2019, голубого цвета, страница 267, номер 26, Условие

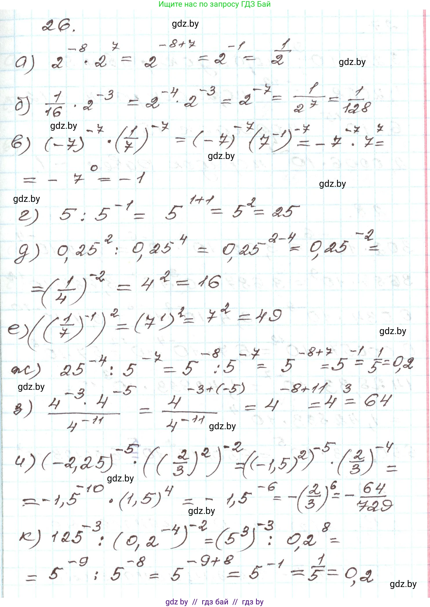
26. Используйте свойства степени с целым показателем и найдите значение выражения:

а) $2^{-8} \cdot 2^{7}$;

б) $\frac{1}{16} \cdot 2^{-3}$;

в) $(-7)^{-7} \cdot \left(\frac{1}{7}\right)^{-7}$;

г) $5 : 5^{-1}$;

д) $0,25^{2} : 0,25^{4}$;

е) $\left(\left(\frac{1}{7}\right)^{-1}\right)^{2}$;

ж) $25^{-4} : 5^{-7}$;

з) $\frac{4^{-3} \cdot 4^{-5}}{4^{-11}}$;

и) $(-2,25)^{-5} \cdot \left(\left(\frac{2}{3}\right)^{2}\right)^{-2}$;

к) $125^{-3} : (0,2^{-4})^{-2}$.

Решение. №26 (с. 267)
Алгебра, 9 класс Учебник, авторы: Арефьева Ирина Глебовна, Пирютко Ольга Николаевна, издательство Народная асвета, Минск, 2019, голубого цвета, страница 267, номер 26, Решение
Решение 2. №26 (с. 267)

а) $2^{-8} \cdot 2^7$
При умножении степеней с одинаковым основанием их показатели складываются (свойство $a^m \cdot a^n = a^{m+n}$).
$2^{-8} \cdot 2^7 = 2^{-8+7} = 2^{-1}$
Степень с отрицательным целым показателем определяется как $a^{-n} = \frac{1}{a^n}$.
$2^{-1} = \frac{1}{2}$
Ответ: $\frac{1}{2}$

б) $\frac{1}{16} \cdot 2^{-3}$
Представим число 16 как степень двойки: $16 = 2^4$. Тогда $\frac{1}{16} = \frac{1}{2^4} = 2^{-4}$.
Выражение принимает вид: $2^{-4} \cdot 2^{-3}$.
Используем свойство умножения степеней с одинаковым основанием:
$2^{-4} \cdot 2^{-3} = 2^{-4+(-3)} = 2^{-7}$
Вычисляем значение: $2^{-7} = \frac{1}{2^7} = \frac{1}{128}$.
Ответ: $\frac{1}{128}$

в) $(-7)^{-7} \cdot (\frac{1}{7})^{-7}$
Используем свойство "степень произведения": $(a \cdot b)^n = a^n \cdot b^n$. Применим его в обратном порядке.
$(-7)^{-7} \cdot (\frac{1}{7})^{-7} = (-7 \cdot \frac{1}{7})^{-7}$
Вычисляем произведение в скобках: $-7 \cdot \frac{1}{7} = -1$.
Получаем $(-1)^{-7}$.
По определению степени с отрицательным показателем: $(-1)^{-7} = \frac{1}{(-1)^7} = \frac{1}{-1} = -1$.
Ответ: -1

г) $5 : 5^{-1}$
Представим 5 как $5^1$. Выражение имеет вид $5^1 : 5^{-1}$.
Используем свойство деления степеней с одинаковым основанием $a^m : a^n = a^{m-n}$.
$5^{1 - (-1)} = 5^{1+1} = 5^2$
Вычисляем значение: $5^2 = 25$.
Ответ: 25

д) $0,25^2 : 0,25^4$
Используем свойство деления степеней с одинаковым основанием:
$0,25^{2-4} = 0,25^{-2}$
Преобразуем десятичную дробь в обыкновенную: $0,25 = \frac{25}{100} = \frac{1}{4}$.
Получаем $(\frac{1}{4})^{-2}$.
Используем свойство $(\frac{a}{b})^{-n} = (\frac{b}{a})^n$: $(\frac{1}{4})^{-2} = (\frac{4}{1})^2 = 4^2 = 16$.
Ответ: 16

е) $((\frac{1}{7})^{-1})^2$
Используем свойство "степень степени" $(a^m)^n = a^{mn}$.
$((\frac{1}{7})^{-1})^2 = (\frac{1}{7})^{-1 \cdot 2} = (\frac{1}{7})^{-2}$
Применяем определение степени с отрицательным показателем: $(\frac{1}{7})^{-2} = 7^2 = 49$.
Ответ: 49

ж) $25^{-4} : 5^{-7}$
Чтобы использовать свойства степеней, приведем их к одному основанию 5.
$25 = 5^2$, поэтому $25^{-4} = (5^2)^{-4}$.
По свойству "степень степени": $(5^2)^{-4} = 5^{2 \cdot (-4)} = 5^{-8}$.
Выражение принимает вид: $5^{-8} : 5^{-7}$.
По свойству деления степеней: $5^{-8 - (-7)} = 5^{-8+7} = 5^{-1}$.
$5^{-1} = \frac{1}{5}$.
Ответ: $\frac{1}{5}$

з) $\frac{4^{-3} \cdot 4^{-5}}{4^{-11}}$
Упростим числитель, используя свойство умножения степеней: $4^{-3} \cdot 4^{-5} = 4^{-3+(-5)} = 4^{-8}$.
Получаем дробь $\frac{4^{-8}}{4^{-11}}$.
Дробная черта означает деление, поэтому применяем свойство деления степеней:
$4^{-8} : 4^{-11} = 4^{-8 - (-11)} = 4^{-8+11} = 4^3$.
Вычисляем: $4^3 = 64$.
Ответ: 64

и) $(-2,25)^{-5} \cdot ((\frac{2}{3})^2)^{-2}$
Преобразуем $-2,25$ в неправильную дробь: $-2,25 = -\frac{225}{100} = -\frac{9}{4}$.
Упростим второй множитель: $((\frac{2}{3})^2)^{-2} = (\frac{2}{3})^{2 \cdot (-2)} = (\frac{2}{3})^{-4}$.
Выражение принимает вид: $(-\frac{9}{4})^{-5} \cdot (\frac{2}{3})^{-4}$.
Заметим, что $\frac{9}{4} = (\frac{3}{2})^2$. Тогда $(-\frac{9}{4})^{-5} = (-(\frac{3}{2})^2)^{-5} = -(\frac{3}{2})^{-10}$ (минус сохраняется, т.к. степень -5 нечетная).
Теперь перемножим полученные степени: $-(\frac{3}{2})^{-10} \cdot (\frac{2}{3})^{-4}$.
Так как $\frac{2}{3} = (\frac{3}{2})^{-1}$, то $(\frac{2}{3})^{-4} = ((\frac{3}{2})^{-1})^{-4} = (\frac{3}{2})^4$.
Получаем: $-(\frac{3}{2})^{-10} \cdot (\frac{3}{2})^4 = -(\frac{3}{2})^{-10+4} = -(\frac{3}{2})^{-6}$.
Преобразуем отрицательную степень: $-(\frac{3}{2})^{-6} = -(\frac{2}{3})^6 = -\frac{2^6}{3^6} = -\frac{64}{729}$.
Ответ: $-\frac{64}{729}$

к) $125^{-3} : (0,2^4)^{-2}$
Приведем основания степеней к общему основанию 5.
$125 = 5^3$.
$0,2 = \frac{1}{5} = 5^{-1}$.
Подставляем в выражение: $(5^3)^{-3} : ((5^{-1})^4)^{-2}$.
Упрощаем, используя свойство $(a^m)^n = a^{mn}$:
$(5^3)^{-3} = 5^{-9}$.
$((5^{-1})^4)^{-2} = (5^{-4})^{-2} = 5^{(-4) \cdot (-2)} = 5^8$.
Выражение принимает вид: $5^{-9} : 5^8$.
По свойству деления степеней: $5^{-9-8} = 5^{-17}$.
Ответ: $5^{-17}$

Помогло решение? Оставьте отзыв в комментариях ниже.

Присоединяйтесь к Телеграм-группе @gdz_by_belarus

Присоединиться

Мы подготовили для вас ответ c подробным объяснением домашего задания по алгебре за 9 класс, для упражнения номер 26 расположенного на странице 267 к учебнику 2019 года издания для учащихся школ и гимназий.

Теперь на нашем сайте ГДЗ.ТОП вы всегда легко и бесплатно найдёте условие с правильным ответом на вопрос «Как решить ДЗ» и «Как сделать» задание по алгебре к упражнению №26 (с. 267), авторов: Арефьева (Ирина Глебовна), Пирютко (Ольга Николаевна), учебного пособия издательства Народная асвета.