Номер 319, страница 301 - гдз по алгебре 9 класс учебник Арефьева, Пирютко

Алгебра, 9 класс Учебник, авторы: Арефьева Ирина Глебовна, Пирютко Ольга Николаевна, издательство Народная асвета, Минск, 2019, голубого цвета

Авторы: Арефьева И. Г., Пирютко О. Н.

Тип: Учебник

Издательство: Народная асвета

Год издания: 2019 - 2026

Цвет обложки: голубой, синий с графиком

ISBN: 978-985-03-3077-2

Допущено Министерством образования Республики Беларусь

Популярные ГДЗ в 9 классе

Итоговое повторение. Текстовые задачи - номер 319, страница 301.

№319 (с. 301)
Условие. №319 (с. 301)
скриншот условия
Алгебра, 9 класс Учебник, авторы: Арефьева Ирина Глебовна, Пирютко Ольга Николаевна, издательство Народная асвета, Минск, 2019, голубого цвета, страница 301, номер 319, Условие

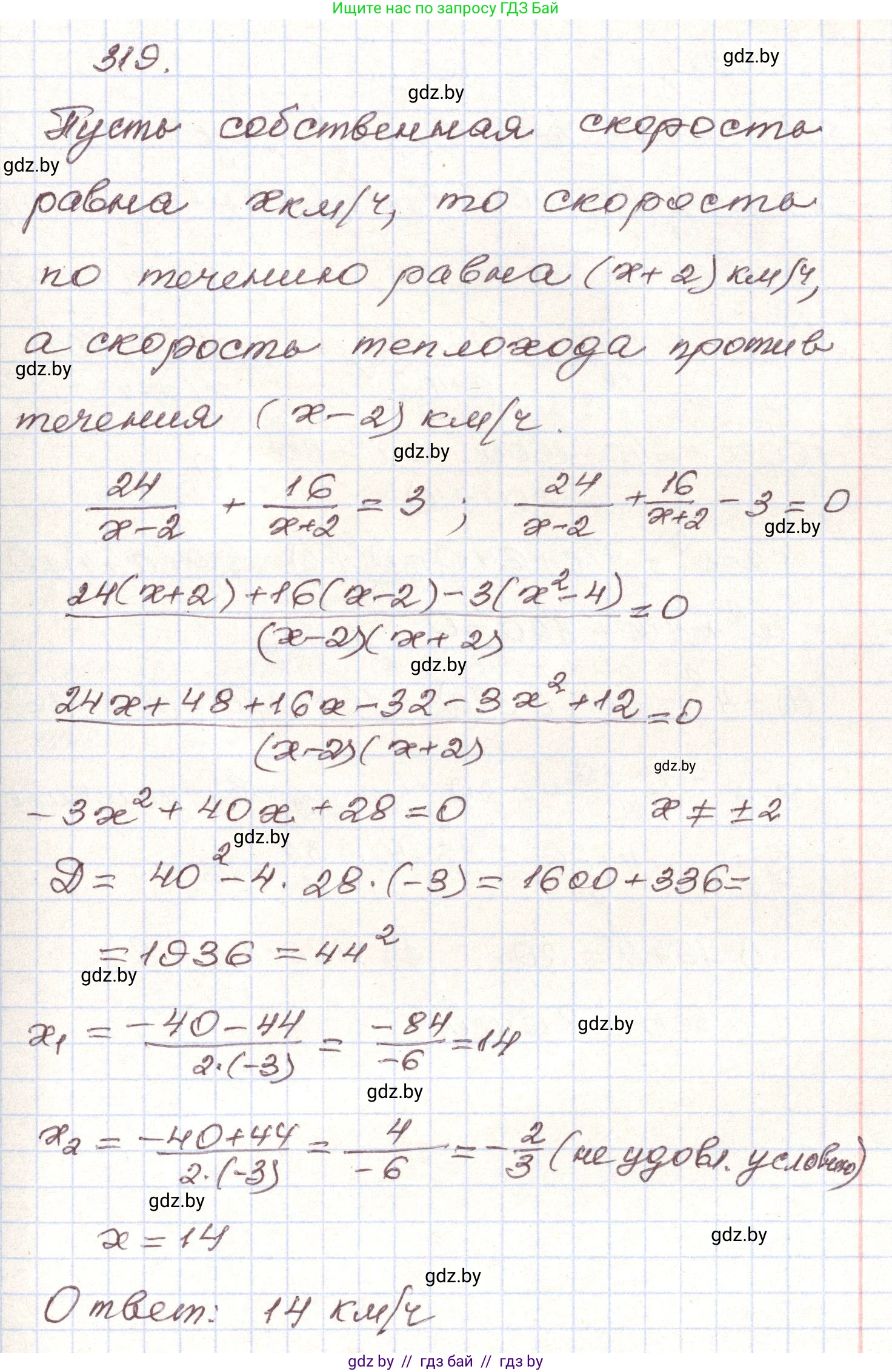
319. Туристический теплоход прошел 24 км против течения реки и 16 км по течению, затратив на весь путь 3 ч. Найдите собственную скорость теплохода, если скорость течения реки составляет $2 \frac{\text{км}}{\text{ч}}$.

Решение. №319 (с. 301)
Алгебра, 9 класс Учебник, авторы: Арефьева Ирина Глебовна, Пирютко Ольга Николаевна, издательство Народная асвета, Минск, 2019, голубого цвета, страница 301, номер 319, Решение
Решение 2. №319 (с. 301)

Пусть собственная скорость теплохода равна $x$ км/ч. Тогда скорость теплохода по течению реки составляет $(x + 2)$ км/ч, а скорость против течения — $(x - 2)$ км/ч. Скорость теплохода должна быть больше скорости течения, чтобы он мог двигаться против течения, следовательно, $x > 2$.

Время, которое теплоход затратил на путь против течения, составляет $\frac{24}{x - 2}$ часов.

Время, которое теплоход затратил на путь по течению, составляет $\frac{16}{x + 2}$ часов.

Общее время в пути составляет 3 часа. На основе этих данных составим уравнение:

$\frac{24}{x - 2} + \frac{16}{x + 2} = 3$

Для решения уравнения приведем дроби к общему знаменателю $(x - 2)(x + 2)$:

$24(x + 2) + 16(x - 2) = 3(x - 2)(x + 2)$

Раскроем скобки и упростим выражение:

$24x + 48 + 16x - 32 = 3(x^2 - 4)$

$40x + 16 = 3x^2 - 12$

Перенесем все члены в одну сторону, чтобы получить квадратное уравнение:

$3x^2 - 40x - 16 - 12 = 0$

$3x^2 - 40x - 28 = 0$

Решим полученное квадратное уравнение с помощью дискриминанта $D = b^2 - 4ac$:

$D = (-40)^2 - 4 \cdot 3 \cdot (-28) = 1600 + 336 = 1936$

Найдем корни уравнения:

$x = \frac{-b \pm \sqrt{D}}{2a}$

$x_1 = \frac{40 + \sqrt{1936}}{2 \cdot 3} = \frac{40 + 44}{6} = \frac{84}{6} = 14$

$x_2 = \frac{40 - \sqrt{1936}}{2 \cdot 3} = \frac{40 - 44}{6} = \frac{-4}{6} = -\frac{2}{3}$

Корень $x_2 = -\frac{2}{3}$ не имеет физического смысла, так как скорость не может быть отрицательной. Кроме того, он не удовлетворяет условию $x > 2$.

Следовательно, единственный подходящий корень — $x = 14$.

Собственная скорость теплохода: Ответ: 14 км/ч

Помогло решение? Оставьте отзыв в комментариях ниже.

Присоединяйтесь к Телеграм-группе @gdz_by_belarus

Присоединиться

Мы подготовили для вас ответ c подробным объяснением домашего задания по алгебре за 9 класс, для упражнения номер 319 расположенного на странице 301 к учебнику 2019 года издания для учащихся школ и гимназий.

Теперь на нашем сайте ГДЗ.ТОП вы всегда легко и бесплатно найдёте условие с правильным ответом на вопрос «Как решить ДЗ» и «Как сделать» задание по алгебре к упражнению №319 (с. 301), авторов: Арефьева (Ирина Глебовна), Пирютко (Ольга Николаевна), учебного пособия издательства Народная асвета.