Страница 69 - гдз по белорусскому языку 9 класс учебник Валочка, Васюковіч

Белорусский язык (Беларуская мова), 9 класс Учебник, авторы: Валочка Ганна Міхайлаўна, Васюковіч Людміла Сяргееўна, Зелянко Вольга Уладзіміраўна, Якуба Святлана Міхайлаўна, Байкова С І, издательство Акадэмія адукацыі, Минск, 2025, сиреневого цвета

Авторы: Валочка Г. М., Васюковіч Л. С., Зелянко В. У., Якуба С. М., Байкова С. І.

Тип: Учебник

Издательство: Акадэмія адукацыі

Год издания: 2025 - 2026

Цвет обложки: сиреневый со статуей

ISBN: 978-985-33-0184-7

Дапушчана Міністэрствам адукацыі Рэспублікі Беларусь

Популярные ГДЗ в 9 классе

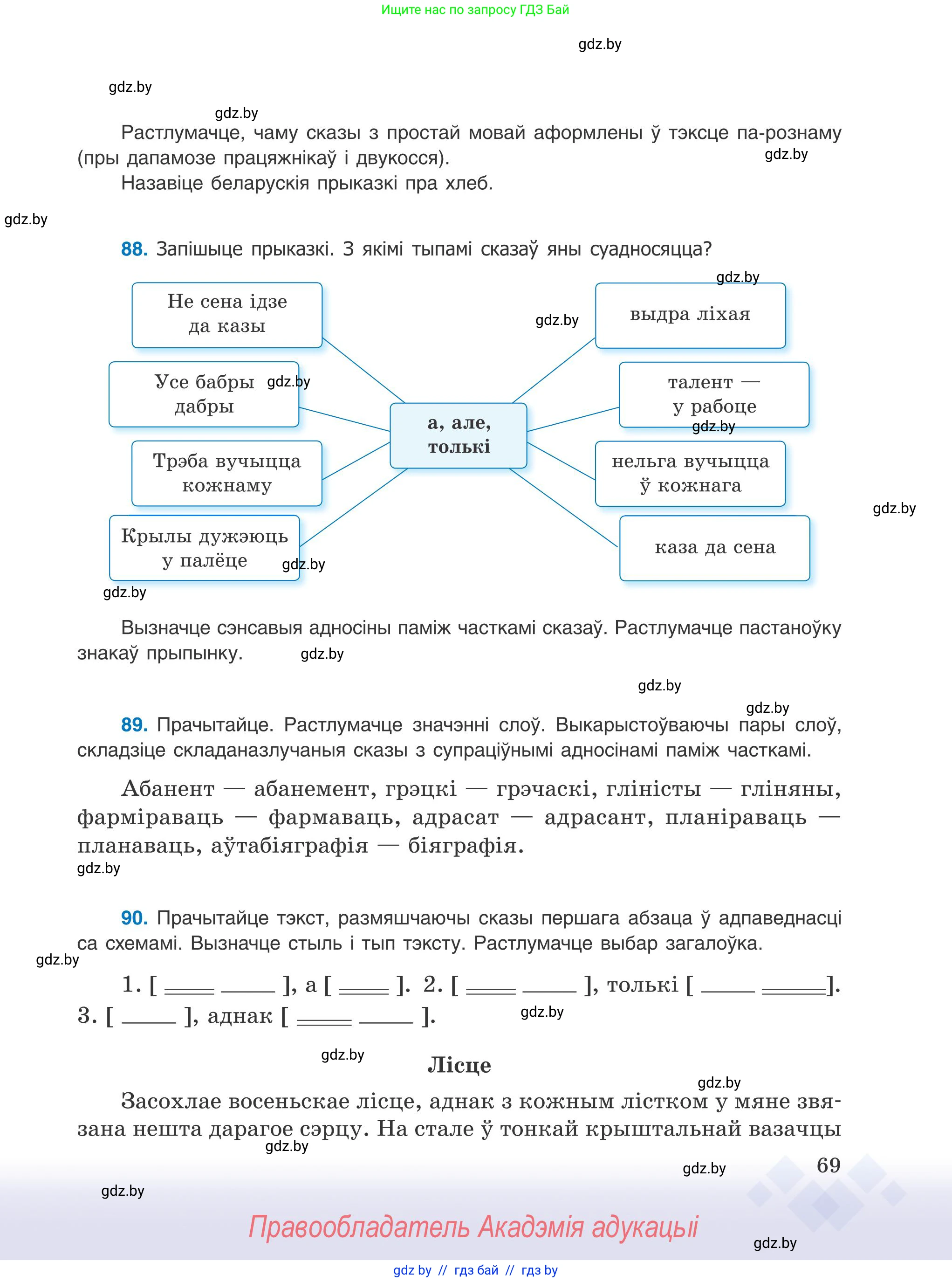
Cтраница 69

Белорусский язык (Беларуская мова), 9 класс Учебник, авторы: Валочка Ганна Міхайлаўна, Васюковіч Людміла Сяргееўна, Зелянко Вольга Уладзіміраўна, Якуба Святлана Міхайлаўна, Байкова С І, издательство Акадэмія адукацыі, Минск, 2025, сиреневого цвета, страница 69
Ваш номер не отображается здесь?
Такое бывает: задание могло начаться на предыдущей или следующей странице.

Помогло решение? Оставьте отзыв в комментариях ниже.

Присоединяйтесь к Телеграм-группе @gdz_by_belarus

Присоединиться