Номер 127, страница 34 - гдз по физике 9 класс сборник задач Исаченкова, Дорофейчик

Физика, 9 класс Сборник задач, авторы: Исаченкова Лариса Артёмовна, Дорофейчик Владимир Владимирович, Захаревич Екатерина Васильевна, Пальчик Геннадий Владимирович, издательство Аверсэв, Минск, 2021

Авторы: Исаченкова Л. А., Дорофейчик В. В., Захаревич Е. В., Пальчик Г. В.

Тип: Сборник задач

Издательство: Аверсэв

Год издания: 2021 - 2026

ISBN: 978-985-19-7596-5

Рекомендовано Научно-методическим учреждением «Национальный институт образования» Министерства образования Республики Беларусь

Популярные ГДЗ в 9 классе

Раздел 1. Основы кинематики. 5. Неравномерное движение. Средняя скорость - номер 127, страница 34.

№127 (с. 34)
Решение. №127 (с. 34)

Дано:

Путь пешком, $s_1 = 5,4$ км
Скорость пешком, $v_1 = 6,0$ км/ч
Средняя скорость на электричке, $\langle v_2 \rangle = 50$ км/ч
Средняя скорость на всем пути, $\langle v \rangle = 32$ км/ч

Перевод в систему СИ:
$s_1 = 5,4 \text{ км} = 5400 \text{ м}$
$v_1 = 6,0 \frac{\text{км}}{\text{ч}} = 6,0 \cdot \frac{1000 \text{ м}}{3600 \text{ с}} = \frac{5}{3} \frac{\text{м}}{\text{с}} \approx 1,67 \frac{\text{м}}{\text{с}}$
$\langle v_2 \rangle = 50 \frac{\text{км}}{\text{ч}} = 50 \cdot \frac{1000 \text{ м}}{3600 \text{ с}} = \frac{125}{9} \frac{\text{м}}{\text{с}} \approx 13,89 \frac{\text{м}}{\text{с}}$
$\langle v \rangle = 32 \frac{\text{км}}{\text{ч}} = 32 \cdot \frac{1000 \text{ м}}{3600 \text{ с}} = \frac{80}{9} \frac{\text{м}}{\text{с}} \approx 8,89 \frac{\text{м}}{\text{с}}$

Найти:

Путь на электричке, $s_2$.

Решение:

Средняя скорость движения на всем пути определяется как отношение всего пройденного пути ко всему времени движения:
$\langle v \rangle = \frac{s_{общ}}{t_{общ}}$
Весь путь $s_{общ}$ состоит из двух участков: пути, который дачник прошел пешком ($s_1$), и пути, который он проехал на электричке ($s_2$).
$s_{общ} = s_1 + s_2$
Все время движения $t_{общ}$ также состоит из времени движения пешком ($t_1$) и времени движения на электричке ($t_2$).
$t_{общ} = t_1 + t_2$
Время движения на каждом участке можно найти по формуле $t = \frac{s}{v}$:
$t_1 = \frac{s_1}{v_1}$
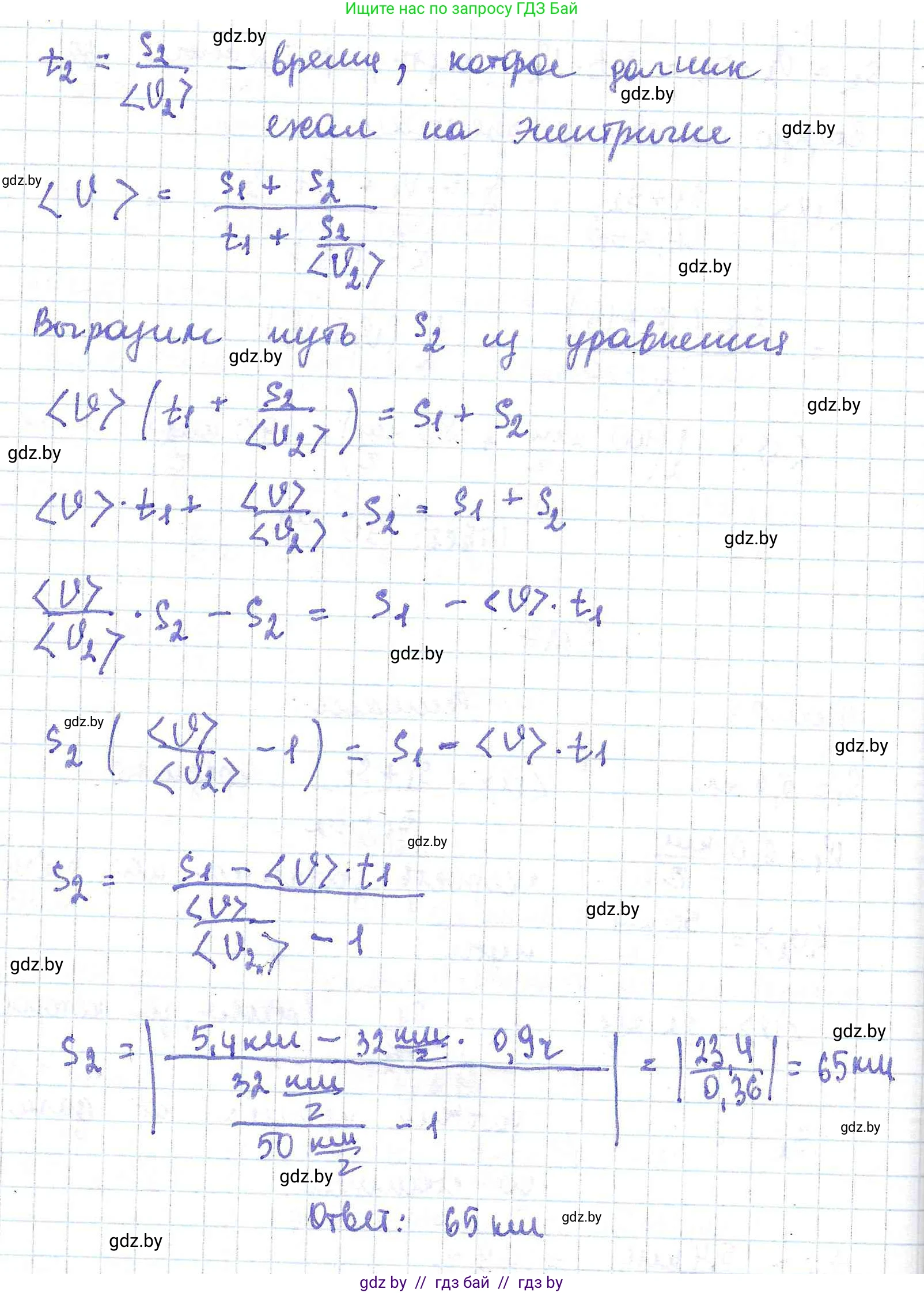
$t_2 = \frac{s_2}{\langle v_2 \rangle}$
Подставим выражения для общего пути и общего времени в формулу средней скорости:
$\langle v \rangle = \frac{s_1 + s_2}{\frac{s_1}{v_1} + \frac{s_2}{\langle v_2 \rangle}}$
Теперь необходимо выразить из этой формулы искомый путь $s_2$.
$\langle v \rangle \left(\frac{s_1}{v_1} + \frac{s_2}{\langle v_2 \rangle}\right) = s_1 + s_2$
$\frac{\langle v \rangle s_1}{v_1} + \frac{\langle v \rangle s_2}{\langle v_2 \rangle} = s_1 + s_2$
Сгруппируем слагаемые, содержащие $s_2$, в одной части уравнения, а остальные — в другой:
$s_2 - \frac{\langle v \rangle s_2}{\langle v_2 \rangle} = \frac{\langle v \rangle s_1}{v_1} - s_1$
$s_2 \left(1 - \frac{\langle v \rangle}{\langle v_2 \rangle}\right) = s_1 \left(\frac{\langle v \rangle}{v_1} - 1\right)$
$s_2 \left(\frac{\langle v_2 \rangle - \langle v \rangle}{\langle v_2 \rangle}\right) = s_1 \left(\frac{\langle v \rangle - v_1}{v_1}\right)$
Отсюда выражаем $s_2$:
$s_2 = s_1 \cdot \frac{\langle v \rangle - v_1}{v_1} \cdot \frac{\langle v_2 \rangle}{\langle v_2 \rangle - \langle v \rangle}$
Так как все исходные данные представлены в согласованных единицах (км и км/ч), проведем вычисления в них, чтобы получить ответ в километрах.
Подставим числовые значения:
$s_2 = 5,4 \text{ км} \cdot \frac{32 \frac{\text{км}}{\text{ч}} - 6,0 \frac{\text{км}}{\text{ч}}}{6,0 \frac{\text{км}}{\text{ч}}} \cdot \frac{50 \frac{\text{км}}{\text{ч}}}{50 \frac{\text{км}}{\text{ч}} - 32 \frac{\text{км}}{\text{ч}}}$
$s_2 = 5,4 \cdot \frac{26}{6,0} \cdot \frac{50}{18}$
$s_2 = \frac{5,4 \cdot 26 \cdot 50}{6,0 \cdot 18} = \frac{7020}{108}$
$s_2 = 65 \text{ км}$

Ответ: путь, который проехал дачник на электричке, равен 65 км.

Решение 2. №127 (с. 34)
Физика, 9 класс Сборник задач, авторы: Исаченкова Лариса Артёмовна, Дорофейчик Владимир Владимирович, Захаревич Екатерина Васильевна, Пальчик Геннадий Владимирович, издательство Аверсэв, Минск, 2021, страница 34, номер 127, Решение 2 Физика, 9 класс Сборник задач, авторы: Исаченкова Лариса Артёмовна, Дорофейчик Владимир Владимирович, Захаревич Екатерина Васильевна, Пальчик Геннадий Владимирович, издательство Аверсэв, Минск, 2021, страница 34, номер 127, Решение 2 (продолжение 2)

Помогло решение? Оставьте отзыв в комментариях ниже.

Присоединяйтесь к Телеграм-группе @gdz_by_belarus

Присоединиться

Мы подготовили для вас ответ c подробным объяснением домашего задания по физике за 9 класс, для упражнения номер 127 расположенного на странице 34 к сборнику задач 2021 года издания для учащихся школ и гимназий.

Теперь на нашем сайте ГДЗ.ТОП вы всегда легко и бесплатно найдёте условие с правильным ответом на вопрос «Как решить ДЗ» и «Как сделать» задание по физике к упражнению №127 (с. 34), авторов: Исаченкова (Лариса Артёмовна), Дорофейчик (Владимир Владимирович), Захаревич (Екатерина Васильевна), Пальчик (Геннадий Владимирович), учебного пособия издательства Аверсэв.