Номер 560, страница 103 - гдз по химии 9 класс сборник задач Хвалюк, Резяпкин

Химия, 9 класс Сборник задач, авторы: Хвалюк Виктор Николаевич, Резяпкин Виктор Ильич, издательство Адукацыя i выхаванне, Минск, 2020, салатового цвета

Авторы: Хвалюк В. Н., Резяпкин В. И.

Тип: Сборник задач

Издательство: Адукацыя i выхаванне

Год издания: 2020 - 2026

Цвет обложки: салатовый, голубой с колбами

ISBN: 978-985-599-248-7

Допущено Министерством образования Республики Беларусь

Популярные ГДЗ в 9 классе

Глава 3. Неметаллы. Параграф 34. Углерод — основа органических соединений - номер 560, страница 103.

№560 (с. 103)
Условие. №560 (с. 103)
скриншот условия
Химия, 9 класс Сборник задач, авторы: Хвалюк Виктор Николаевич, Резяпкин Виктор Ильич, издательство Адукацыя i выхаванне, Минск, 2020, салатового цвета, страница 103, номер 560, Условие

560. Газовую смесь химическим количеством 2,00 моль, состоящую из метана $CH_4$ и этана $C_2H_6$, сожгли в кислороде. В результате реакции образовался углекислый газ массой 132 г. Рассчитайте массовую долю метана в смеси.

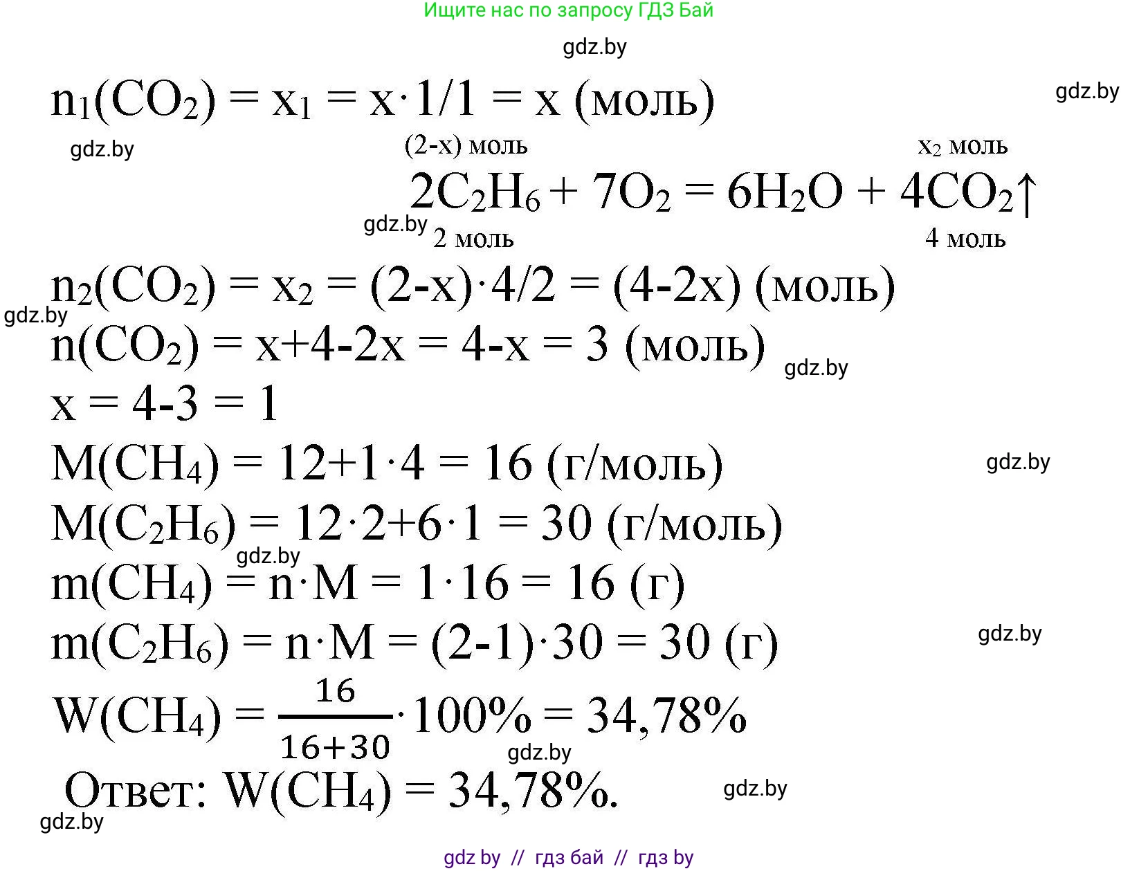
Решение. №560 (с. 103)
Химия, 9 класс Сборник задач, авторы: Хвалюк Виктор Николаевич, Резяпкин Виктор Ильич, издательство Адукацыя i выхаванне, Минск, 2020, салатового цвета, страница 103, номер 560, Решение Химия, 9 класс Сборник задач, авторы: Хвалюк Виктор Николаевич, Резяпкин Виктор Ильич, издательство Адукацыя i выхаванне, Минск, 2020, салатового цвета, страница 103, номер 560, Решение (продолжение 2)
Решение 2. №560 (с. 103)

Дано:

$n_{смеси}(CH_4, C_2H_6) = 2.00 \text{ моль}$

$m(CO_2) = 132 \text{ г}$

Найти:

$\omega(CH_4) - ?$

Решение:

1. Запишем уравнения реакций полного сгорания (горения) метана и этана в кислороде:

$CH_4 + 2O_2 \rightarrow CO_2 + 2H_2O$ (1)

$2C_2H_6 + 7O_2 \rightarrow 4CO_2 + 6H_2O$ (2)

2. Пусть в исходной смеси было $x$ моль метана ($CH_4$) и $y$ моль этана ($C_2H_6$). По условию, общее химическое количество веществ в смеси равно 2,00 моль. Составим первое уравнение:

$n(CH_4) + n(C_2H_6) = 2.00 \text{ моль}$

$x + y = 2.00$

3. Рассчитаем химическое количество углекислого газа ($CO_2$), который образовался в результате реакций. Сначала найдем молярную массу $CO_2$:

$M(CO_2) = 12.01 + 2 \cdot 16.00 = 44.01 \text{ г/моль}$ (для расчетов будем использовать округленное значение 44 г/моль)

Теперь найдем химическое количество $CO_2$:

$n(CO_2) = \frac{m(CO_2)}{M(CO_2)} = \frac{132 \text{ г}}{44 \text{ г/моль}} = 3.00 \text{ моль}$

4. Выразим общее количество образовавшегося углекислого газа через $x$ и $y$.

Из уравнения реакции (1) следует, что из 1 моль $CH_4$ образуется 1 моль $CO_2$. Значит, из $x$ моль $CH_4$ образуется $x$ моль $CO_2$.

$n_1(CO_2) = n(CH_4) = x$

Из уравнения реакции (2) следует, что из 2 моль $C_2H_6$ образуется 4 моль $CO_2$, то есть из 1 моль $C_2H_6$ образуется 2 моль $CO_2$. Значит, из $y$ моль $C_2H_6$ образуется $2y$ моль $CO_2$.

$n_2(CO_2) = 2 \cdot n(C_2H_6) = 2y$

Общее химическое количество $CO_2$ равно сумме количеств, полученных из обеих реакций. Составим второе уравнение:

$n_1(CO_2) + n_2(CO_2) = 3.00 \text{ моль}$

$x + 2y = 3.00$

5. Решим систему из двух полученных уравнений:

$\begin{cases} x + y = 2.00 \\ x + 2y = 3.00 \end{cases}$

Вычтем первое уравнение из второго:

$(x + 2y) - (x + y) = 3.00 - 2.00$

$y = 1.00 \text{ моль}$

Мы нашли химическое количество этана: $n(C_2H_6) = 1.00 \text{ моль}$.

Подставим значение $y$ в первое уравнение, чтобы найти $x$:

$x + 1.00 = 2.00$

$x = 1.00 \text{ моль}$

Химическое количество метана: $n(CH_4) = 1.00 \text{ моль}$.

6. Теперь, зная химические количества компонентов, рассчитаем их массы. Для этого найдем их молярные массы:

$M(CH_4) = 12 + 4 \cdot 1 = 16 \text{ г/моль}$

$M(C_2H_6) = 2 \cdot 12 + 6 \cdot 1 = 30 \text{ г/моль}$

Масса метана в смеси:

$m(CH_4) = n(CH_4) \cdot M(CH_4) = 1.00 \text{ моль} \cdot 16 \text{ г/моль} = 16 \text{ г}$

Масса этана в смеси:

$m(C_2H_6) = n(C_2H_6) \cdot M(C_2H_6) = 1.00 \text{ моль} \cdot 30 \text{ г/моль} = 30 \text{ г}$

7. Найдем общую массу исходной газовой смеси:

$m_{смеси} = m(CH_4) + m(C_2H_6) = 16 \text{ г} + 30 \text{ г} = 46 \text{ г}$

8. Рассчитаем массовую долю ($\omega$) метана в смеси по формуле:

$\omega(CH_4) = \frac{m(CH_4)}{m_{смеси}} \cdot 100\%$

$\omega(CH_4) = \frac{16 \text{ г}}{46 \text{ г}} \cdot 100\% \approx 0.3478 \cdot 100\% \approx 34.8\%$

Ответ: массовая доля метана в смеси составляет 34,8%.

Помогло решение? Оставьте отзыв в комментариях ниже.

Присоединяйтесь к Телеграм-группе @gdz_by_belarus

Присоединиться

Мы подготовили для вас ответ c подробным объяснением домашего задания по химии за 9 класс, для упражнения номер 560 расположенного на странице 103 к сборнику задач 2020 года издания для учащихся школ и гимназий.

Теперь на нашем сайте ГДЗ.ТОП вы всегда легко и бесплатно найдёте условие с правильным ответом на вопрос «Как решить ДЗ» и «Как сделать» задание по химии к упражнению №560 (с. 103), авторов: Хвалюк (Виктор Николаевич), Резяпкин (Виктор Ильич), учебного пособия издательства Адукацыя i выхаванне.