Номер 724, страница 130 - гдз по химии 9 класс сборник задач Хвалюк, Резяпкин

Химия, 9 класс Сборник задач, авторы: Хвалюк Виктор Николаевич, Резяпкин Виктор Ильич, издательство Адукацыя i выхаванне, Минск, 2020, салатового цвета

Авторы: Хвалюк В. Н., Резяпкин В. И.

Тип: Сборник задач

Издательство: Адукацыя i выхаванне

Год издания: 2020 - 2026

Цвет обложки: салатовый, голубой с колбами

ISBN: 978-985-599-248-7

Допущено Министерством образования Республики Беларусь

Популярные ГДЗ в 9 классе

Глава 4. Металлы. Параграф 45. Взаимодействие металлов с водой и растворами солей других металлов - номер 724, страница 130.

№724 (с. 130)
Условие. №724 (с. 130)
скриншот условия
Химия, 9 класс Сборник задач, авторы: Хвалюк Виктор Николаевич, Резяпкин Виктор Ильич, издательство Адукацыя i выхаванне, Минск, 2020, салатового цвета, страница 130, номер 724, Условие

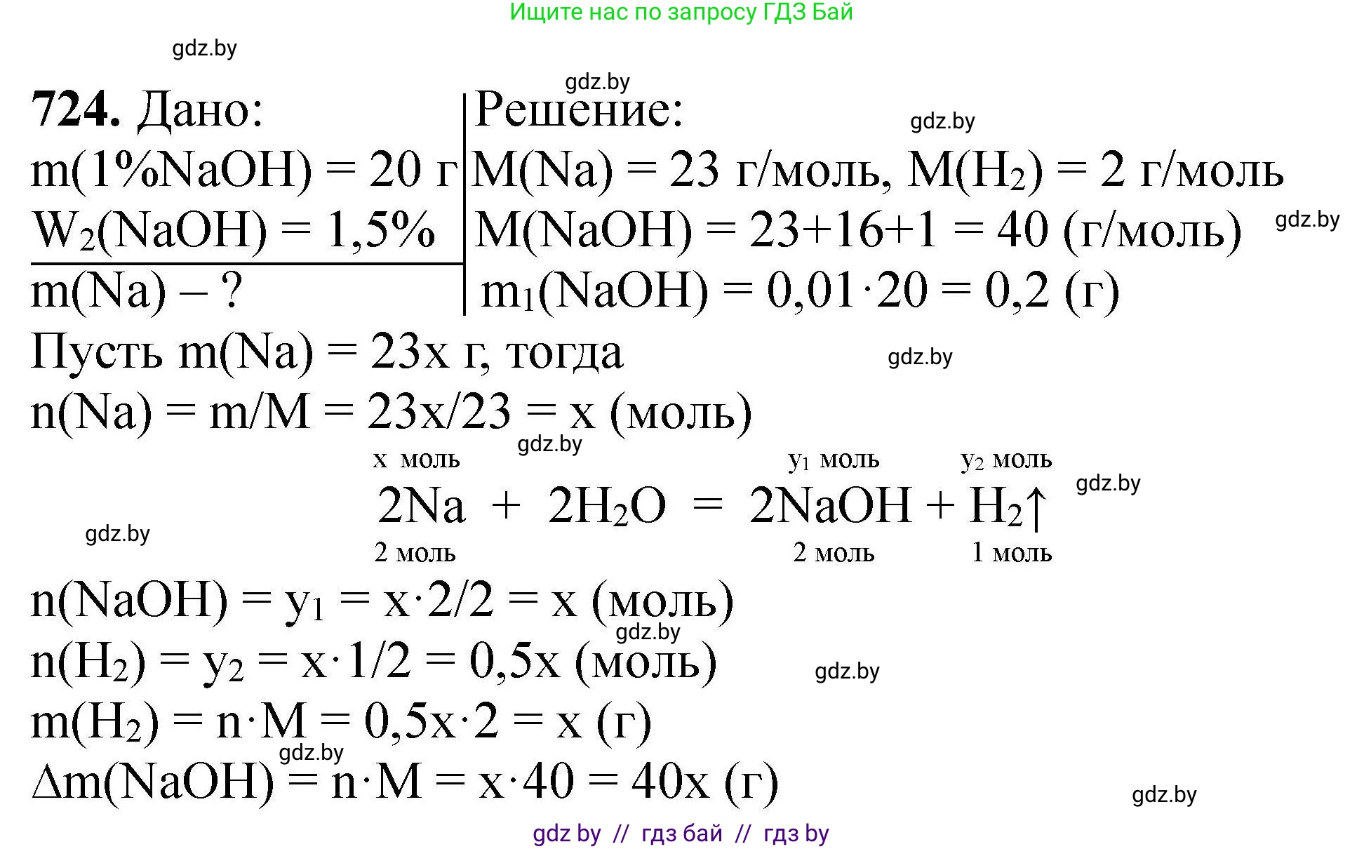
724. Натрий какой массой следует добавить к раствору массой $20,0 \text{ г}$ с массовой долей гидроксида натрия, равной $1,00 \%$, чтобы получить раствор гидроксида натрия с массовой долей, равной $1,50 \%$?

Решение. №724 (с. 130)
Химия, 9 класс Сборник задач, авторы: Хвалюк Виктор Николаевич, Резяпкин Виктор Ильич, издательство Адукацыя i выхаванне, Минск, 2020, салатового цвета, страница 130, номер 724, Решение Химия, 9 класс Сборник задач, авторы: Хвалюк Виктор Николаевич, Резяпкин Виктор Ильич, издательство Адукацыя i выхаванне, Минск, 2020, салатового цвета, страница 130, номер 724, Решение (продолжение 2)
Решение 2. №724 (с. 130)

Дано:

$m_{\text{р-ра1}} = 20,0 \text{ г}$

$\omega_1(\text{NaOH}) = 1,00 \% = 0.0100$

$\omega_2(\text{NaOH}) = 1,50 \% = 0.0150$

Найти:

$m(\text{Na})$ — ?

Решение:

При добавлении металлического натрия в водный раствор гидроксида натрия, натрий реагирует с водой. В результате реакции образуется дополнительное количество гидроксида натрия и выделяется газообразный водород. Уравнение этой химической реакции:

$2\text{Na} + 2\text{H}_2\text{O} \rightarrow 2\text{NaOH} + \text{H}_2 \uparrow$

1. Рассчитаем массу гидроксида натрия, которая уже содержится в исходном растворе:

$m_1(\text{NaOH}) = m_{\text{р-ра1}} \cdot \omega_1(\text{NaOH}) = 20.0 \text{ г} \cdot 0.0100 = 0.200 \text{ г}$

2. Пусть масса добавленного металлического натрия равна $x$ г.

3. Рассчитаем молярные массы веществ, участвующих в реакции, используя периодическую таблицу химических элементов:

$M(\text{Na}) = 23 \text{ г/моль}$

$M(\text{NaOH}) = 40 \text{ г/моль}$

$M(\text{H}_2) = 2 \text{ г/моль}$

4. На основе стехиометрии реакции определим массу гидроксида натрия, образовавшегося в результате реакции, и массу выделившегося водорода. Из уравнения реакции видно, что $2 \cdot 23 \text{ г}$ натрия производят $2 \cdot 40 \text{ г}$ гидроксида натрия и $2 \text{ г}$ водорода. Следовательно, из $x \text{ г}$ натрия образуется:

$m_{\text{обр}}(\text{NaOH}) = \frac{x \cdot 2 \cdot M(\text{NaOH})}{2 \cdot M(\text{Na})} = \frac{x \cdot 2 \cdot 40}{2 \cdot 23} = \frac{40}{23}x \text{ г}$

$m(\text{H}_2) = \frac{x \cdot M(\text{H}_2)}{2 \cdot M(\text{Na})} = \frac{x \cdot 2}{2 \cdot 23} = \frac{1}{23}x \text{ г}$

5. Общая масса гидроксида натрия в конечном растворе будет суммой исходной массы и массы, образовавшейся в реакции:

$m_{\text{кон}}(\text{NaOH}) = m_1(\text{NaOH}) + m_{\text{обр}}(\text{NaOH}) = 0.200 + \frac{40}{23}x$

6. Масса конечного раствора будет равна массе исходного раствора плюс масса добавленного натрия минус масса улетучившегося водорода:

$m_{\text{кон.р-ра}} = m_{\text{р-ра1}} + m(\text{Na}) - m(\text{H}_2) = 20.0 + x - \frac{1}{23}x = 20.0 + \frac{22}{23}x$

7. Подставим выражения для массы конечного вещества и массы конечного раствора в формулу для массовой доли и решим полученное уравнение относительно $x$:

$\omega_2(\text{NaOH}) = \frac{m_{\text{кон}}(\text{NaOH})}{m_{\text{кон.р-ра}}}$

$0.0150 = \frac{0.200 + \frac{40}{23}x}{20.0 + \frac{22}{23}x}$

Раскроем пропорцию:

$0.0150 \cdot (20.0 + \frac{22}{23}x) = 0.200 + \frac{40}{23}x$

$0.300 + \frac{0.33}{23}x = 0.200 + \frac{40}{23}x$

Сгруппируем слагаемые с $x$ в одной части уравнения, а свободные члены — в другой:

$0.300 - 0.200 = \frac{40}{23}x - \frac{0.33}{23}x$

$0.100 = \frac{40 - 0.33}{23}x$

$0.100 = \frac{39.67}{23}x$

Выразим $x$:

$x = \frac{0.100 \cdot 23}{39.67} = \frac{2.3}{39.67} \approx 0.057978... \text{ г}$

Согласно правилам округления, с учетом того, что исходные данные приведены с тремя значащими цифрами, результат следует округлить до трех значащих цифр:

$x \approx 0.0580 \text{ г}$

Ответ: необходимо добавить 0,0580 г натрия.

Помогло решение? Оставьте отзыв в комментариях ниже.

Присоединяйтесь к Телеграм-группе @gdz_by_belarus

Присоединиться

Мы подготовили для вас ответ c подробным объяснением домашего задания по химии за 9 класс, для упражнения номер 724 расположенного на странице 130 к сборнику задач 2020 года издания для учащихся школ и гимназий.

Теперь на нашем сайте ГДЗ.ТОП вы всегда легко и бесплатно найдёте условие с правильным ответом на вопрос «Как решить ДЗ» и «Как сделать» задание по химии к упражнению №724 (с. 130), авторов: Хвалюк (Виктор Николаевич), Резяпкин (Виктор Ильич), учебного пособия издательства Адукацыя i выхаванне.