Номер 4, страница 14 - гдз по химии 9 класс сборник контрольных и самостоятельных работ Сеген, Алексеева

Химия, 9 класс Сборник контрольных и самостоятельных работ, авторы: Сеген Елена Адамовна, Алексеева Алевтина Владимировна, Раппапорт Анна Ильинична, Самолазов С М, Тимошенко Л М, издательство Аверсэв, Минск, 2020, зелёного цвета

Авторы: Сеген Е. А., Алексеева А. В., Раппапорт А. И., Самолазов С. М., Тимошенко Л. М.

Тип: Сборник контрольных и самостоятельных работ

Издательство: Аверсэв

Год издания: 2020 - 2026

Цвет обложки: зелёный с молекулами

ISBN: 978-985-19-5196-9

Рекомендовано Научно-методическим учреждением «Национальный институт образования» Министерства образования Республики Беларусь

Популярные ГДЗ в 9 классе

Контрольная работа 3. По теме «Неметаллы». Вариант 3. Вариант 3 - номер 4, страница 14.

№4 (с. 14)
Решение. №4 (с. 14)
Химия, 9 класс Сборник контрольных и самостоятельных работ, авторы: Сеген Елена Адамовна, Алексеева Алевтина Владимировна, Раппапорт Анна Ильинична, Самолазов С М, Тимошенко Л М, издательство Аверсэв, Минск, 2020, зелёного цвета, страница 14, номер 4, Решение
Решение 2. №4 (с. 14)

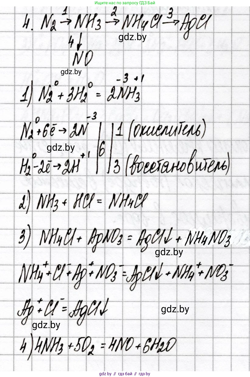
Осуществите превращения:

Для осуществления превращений запишем уравнения реакций:

1. $N_2 + 3H_2 \rightarrow 2NH_3$

2. $NH_3 + HCl \rightarrow NH_4Cl$

3. $NH_4Cl + AgNO_3 \rightarrow AgCl (s) + NH_4NO_3$

4. $4NH_3 + 5O_2 \xrightarrow{Pt, t} 4NO + 6H_2O$

В уравнении первой реакции расставьте коэффициенты методом электронного баланса, укажите окислитель и восстановитель.

Дано

Реакция: $N_2 + H_2 \rightarrow NH_3$

Найти:

Коэффициенты методом электронного баланса, окислитель, восстановитель.

Решение

Определяем степени окисления элементов в исходных веществах и продуктах реакции:

В молекуле $N_2$ степень окисления азота $0$.

В молекуле $H_2$ степень окисления водорода $0$.

В молекуле $NH_3$ водород проявляет степень окисления $+1$, следовательно, атом азота имеет степень окисления $-3$ (так как $3 \times (+1) + x = 0 \Rightarrow x = -3$).

Составим полуреакции окисления и восстановления, учитывая изменение степеней окисления:

Азот ($N_2^0$) понижает степень окисления от $0$ до $-3$. Это означает, что он принимает электроны, и является процессом восстановления.

$N_2^0 + 6e^- \rightarrow 2N^{-3}$ (каждый атом азота принимает 3 электрона, молекула $N_2$ состоит из двух атомов, поэтому принимает $2 \times 3 = 6$ электронов).

Водород ($H_2^0$) повышает степень окисления от $0$ до $+1$. Это означает, что он отдает электроны, и является процессом окисления.

$H_2^0 - 2e^- \rightarrow 2H^{+1}$ (каждый атом водорода отдает 1 электрон, молекула $H_2$ состоит из двух атомов, поэтому отдает $2 \times 1 = 2$ электрона).

Найдем наименьшее общее кратное для количества отданных и принятых электронов ($6$ и $2$). Наименьшее общее кратное равно $6$.

Домножим полуреакции на соответствующие коэффициенты, чтобы уравнять количество электронов:

$N_2^0 + 6e^- \rightarrow 2N^{-3} | \cdot 1$

$H_2^0 - 2e^- \rightarrow 2H^{+1} | \cdot 3$

Суммируем полуреакции, учитывая полученные коэффициенты:

$N_2 + 3H_2 \rightarrow 2NH_3$

Определим окислитель и восстановитель:

Вещество, которое принимает электроны и понижает свою степень окисления, является окислителем. В данном случае это $N_2$.

Вещество, которое отдает электроны и повышает свою степень окисления, является восстановителем. В данном случае это $H_2$.

Ответ:

Уравнение реакции: $N_2 + 3H_2 \rightarrow 2NH_3$. Окислитель: $N_2$. Восстановитель: $H_2$.

Уравнение третьей реакции запишите в полной и сокращенной ионной формах.

Дано

Реакция: $NH_4Cl + AgNO_3 \rightarrow AgCl (s) + NH_4NO_3$

Найти:

Полная и сокращенная ионная форма.

Решение

Запишем уравнение реакции в полной ионной форме. Для этого все сильные электролиты (растворимые соли, кислоты, основания) разложим на ионы, а нерастворимые вещества (осадки), газы и слабые электролиты оставим в молекулярной форме:

$NH_4Cl$ является сильным электролитом и хорошо растворим в воде, поэтому разлагается на ионы: $NH_4^+(aq) + Cl^-(aq)$.

$AgNO_3$ является сильным электролитом и хорошо растворим в воде: $Ag^+(aq) + NO_3^-(aq)$.

$AgCl$ является нерастворимым осадком, поэтому остается в молекулярной форме: $AgCl(s)$.

$NH_4NO_3$ является сильным электролитом и хорошо растворим в воде: $NH_4^+(aq) + NO_3^-(aq)$.

Полное ионное уравнение:

$NH_4^+(aq) + Cl^-(aq) + Ag^+(aq) + NO_3^-(aq) \rightarrow AgCl(s) + NH_4^+(aq) + NO_3^-(aq)$

Для получения сокращенного ионного уравнения исключим ионы, которые присутствуют как в левой, так и в правой части уравнения без изменений (они называются ионами-«зрителями»). В данном случае это ионы аммония ($NH_4^+(aq)$) и нитрат-ионы ($NO_3^-(aq)$).

Сокращенное ионное уравнение:

$Ag^+(aq) + Cl^-(aq) \rightarrow AgCl(s)$

Ответ:

Полная ионная форма: $NH_4^+(aq) + Cl^-(aq) + Ag^+(aq) + NO_3^-(aq) \rightarrow AgCl(s) + NH_4^+(aq) + NO_3^-(aq)$.

Сокращенная ионная форма: $Ag^+(aq) + Cl^-(aq) \rightarrow AgCl(s)$.

Помогло решение? Оставьте отзыв в комментариях ниже.

Присоединяйтесь к Телеграм-группе @gdz_by_belarus

Присоединиться

Мы подготовили для вас ответ c подробным объяснением домашего задания по химии за 9 класс, для упражнения номер 4 расположенного на странице 14 к сборнику контрольных и самостоятельных работ 2020 года издания для учащихся школ и гимназий.

Теперь на нашем сайте ГДЗ.ТОП вы всегда легко и бесплатно найдёте условие с правильным ответом на вопрос «Как решить ДЗ» и «Как сделать» задание по химии к упражнению №4 (с. 14), авторов: Сеген (Елена Адамовна), Алексеева (Алевтина Владимировна), Раппапорт (Анна Ильинична), Самолазов (С М), Тимошенко (Л М), учебного пособия издательства Аверсэв.