Номер 4, страница 17 - гдз по химии 9 класс сборник контрольных и самостоятельных работ Сеген, Алексеева

Химия, 9 класс Сборник контрольных и самостоятельных работ, авторы: Сеген Елена Адамовна, Алексеева Алевтина Владимировна, Раппапорт Анна Ильинична, Самолазов С М, Тимошенко Л М, издательство Аверсэв, Минск, 2020, зелёного цвета

Авторы: Сеген Е. А., Алексеева А. В., Раппапорт А. И., Самолазов С. М., Тимошенко Л. М.

Тип: Сборник контрольных и самостоятельных работ

Издательство: Аверсэв

Год издания: 2020 - 2026

Цвет обложки: зелёный с молекулами

ISBN: 978-985-19-5196-9

Рекомендовано Научно-методическим учреждением «Национальный институт образования» Министерства образования Республики Беларусь

Популярные ГДЗ в 9 классе

Контрольная работа 4. По теме «Металлы». Вариант 2. Вариант 2 - номер 4, страница 17.

№4 (с. 17)
Решение. №4 (с. 17)
Химия, 9 класс Сборник контрольных и самостоятельных работ, авторы: Сеген Елена Адамовна, Алексеева Алевтина Владимировна, Раппапорт Анна Ильинична, Самолазов С М, Тимошенко Л М, издательство Аверсэв, Минск, 2020, зелёного цвета, страница 17, номер 4, Решение
Решение 2. №4 (с. 17)

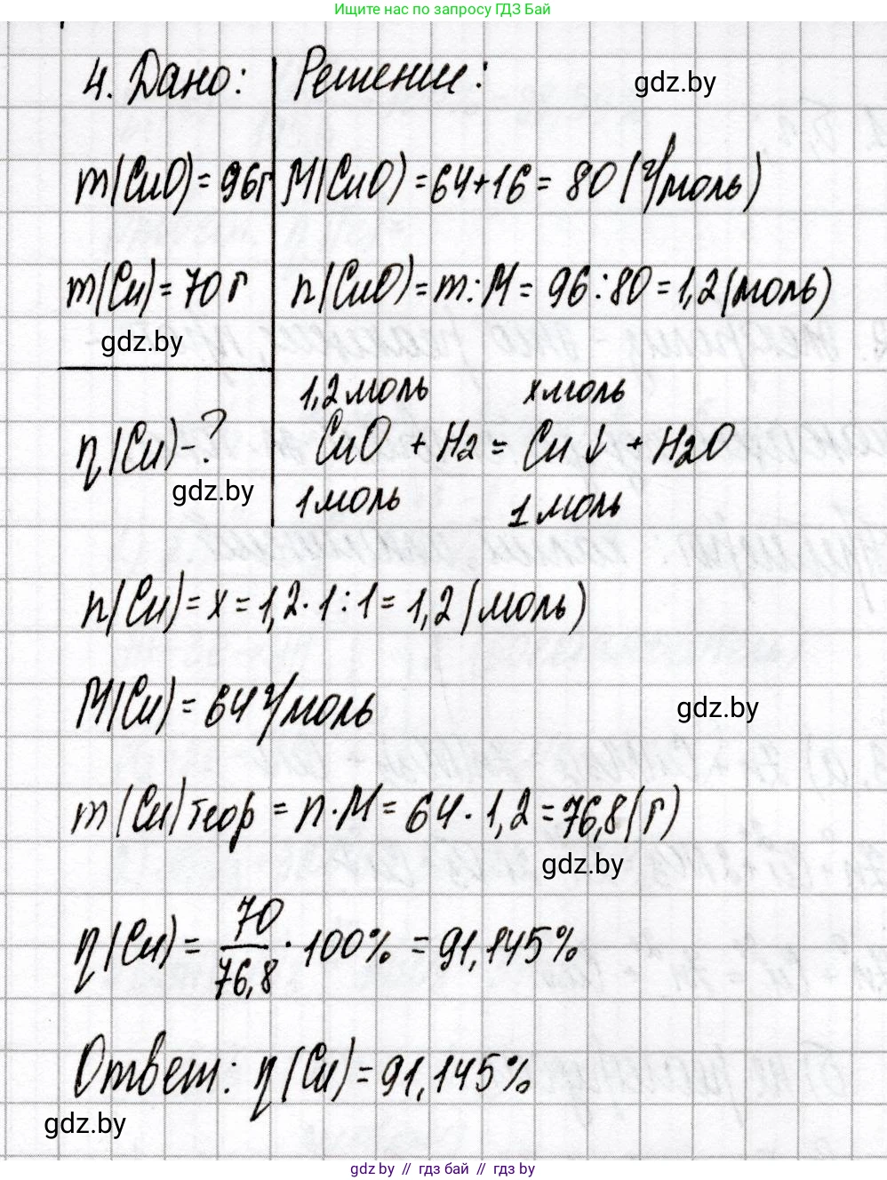
Дано:

Масса оксида меди(II): $m(\text{CuO}) = 96 \text{ г}$

Масса полученной меди: $m_{\text{практ.}}(\text{Cu}) = 70 \text{ г}$

Перевод в СИ:

Масса оксида меди(II): $m(\text{CuO}) = 96 \cdot 10^{-3} \text{ кг}$

Масса полученной меди: $m_{\text{практ.}}(\text{Cu}) = 70 \cdot 10^{-3} \text{ кг}$

Найти:

Практический выход металла: $\eta(\text{Cu}) - ?$

Решение:

Для решения задачи запишем уравнение реакции восстановления оксида меди(II) водородом:

$\text{CuO} + \text{H}_2 \rightarrow \text{Cu} + \text{H}_2\text{O}$

Уравнение реакции уже сбалансировано.

Далее вычислим молярные массы оксида меди(II) и меди, используя значения относительных атомных масс: $A_r(\text{Cu}) \approx 63.546 \text{ г/моль}$, $A_r(\text{O}) \approx 15.999 \text{ г/моль}$.

Молярная масса оксида меди(II):
$M(\text{CuO}) = A_r(\text{Cu}) + A_r(\text{O}) = 63.546 \text{ г/моль} + 15.999 \text{ г/моль} = 79.545 \text{ г/моль}$

Молярная масса меди:
$M(\text{Cu}) = A_r(\text{Cu}) = 63.546 \text{ г/моль}$

Найдем количество вещества оксида меди(II) исходя из его массы:

$n(\text{CuO}) = \frac{m(\text{CuO})}{M(\text{CuO})} = \frac{96 \text{ г}}{79.545 \text{ г/моль}} \approx 1.2068 \text{ моль}$

Согласно уравнению реакции, 1 моль $\text{CuO}$ при полном восстановлении образует 1 моль $\text{Cu}$. Следовательно, теоретическое количество вещества меди, которое должно образоваться, равно количеству вещества оксида меди(II):

$n_{\text{теор.}}(\text{Cu}) = n(\text{CuO}) \approx 1.2068 \text{ моль}$

Рассчитаем теоретическую массу меди, которая должна образоваться:

$m_{\text{теор.}}(\text{Cu}) = n_{\text{теор.}}(\text{Cu}) \cdot M(\text{Cu}) = 1.2068 \text{ моль} \cdot 63.546 \text{ г/моль} \approx 76.62 \text{ г}$

Практический выход металла ($\eta$) рассчитывается как отношение практической массы полученного продукта к его теоретической массе, выраженное в процентах:

$\eta(\text{Cu}) = \frac{m_{\text{практ.}}(\text{Cu})}{m_{\text{теор.}}(\text{Cu})} \cdot 100\%$

$\eta(\text{Cu}) = \frac{70 \text{ г}}{76.62 \text{ г}} \cdot 100\% \approx 91.36\%$

Ответ:

Практический выход металла составляет $91.36\%$.

Помогло решение? Оставьте отзыв в комментариях ниже.

Присоединяйтесь к Телеграм-группе @gdz_by_belarus

Присоединиться

Мы подготовили для вас ответ c подробным объяснением домашего задания по химии за 9 класс, для упражнения номер 4 расположенного на странице 17 к сборнику контрольных и самостоятельных работ 2020 года издания для учащихся школ и гимназий.

Теперь на нашем сайте ГДЗ.ТОП вы всегда легко и бесплатно найдёте условие с правильным ответом на вопрос «Как решить ДЗ» и «Как сделать» задание по химии к упражнению №4 (с. 17), авторов: Сеген (Елена Адамовна), Алексеева (Алевтина Владимировна), Раппапорт (Анна Ильинична), Самолазов (С М), Тимошенко (Л М), учебного пособия издательства Аверсэв.