Номер 4, страница 19 - гдз по химии 9 класс сборник контрольных и самостоятельных работ Сеген, Алексеева

Химия, 9 класс Сборник контрольных и самостоятельных работ, авторы: Сеген Елена Адамовна, Алексеева Алевтина Владимировна, Раппапорт Анна Ильинична, Самолазов С М, Тимошенко Л М, издательство Аверсэв, Минск, 2020, зелёного цвета

Авторы: Сеген Е. А., Алексеева А. В., Раппапорт А. И., Самолазов С. М., Тимошенко Л. М.

Тип: Сборник контрольных и самостоятельных работ

Издательство: Аверсэв

Год издания: 2020 - 2026

Цвет обложки: зелёный с молекулами

ISBN: 978-985-19-5196-9

Рекомендовано Научно-методическим учреждением «Национальный институт образования» Министерства образования Республики Беларусь

Популярные ГДЗ в 9 классе

Контрольная работа 4. По теме «Металлы». Вариант 4. Вариант 4 - номер 4, страница 19.

№4 (с. 19)
Решение. №4 (с. 19)
Химия, 9 класс Сборник контрольных и самостоятельных работ, авторы: Сеген Елена Адамовна, Алексеева Алевтина Владимировна, Раппапорт Анна Ильинична, Самолазов С М, Тимошенко Л М, издательство Аверсэв, Минск, 2020, зелёного цвета, страница 19, номер 4, Решение
Решение 2. №4 (с. 19)

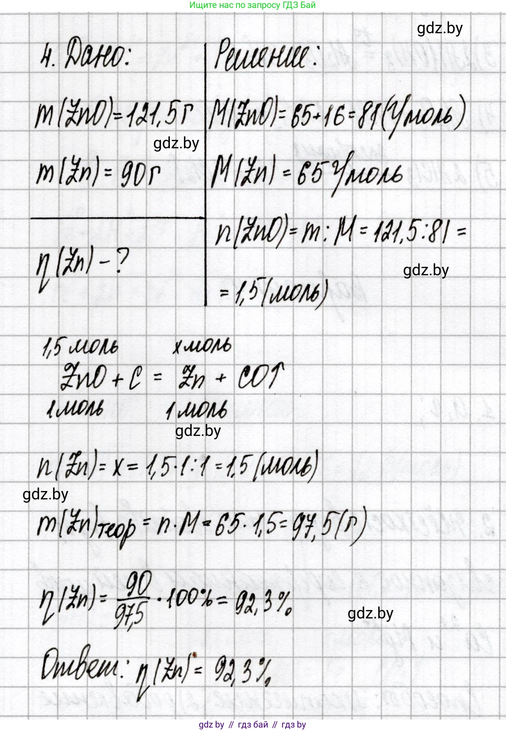
Дано:

масса оксида цинка $m(\text{ZnO}) = 121.5 \text{ г}$

масса полученного цинка $m_{практ}(\text{Zn}) = 90 \text{ г}$

Перевод в СИ:

Для выполнения данного расчета перевод в систему СИ не является строго необходимым, так как единицы массы (граммы) сокращаются при вычислении процентного выхода. Однако, для соответствия требованию:

$m(\text{ZnO}) = 0.1215 \text{ кг}$

$m_{практ}(\text{Zn}) = 0.090 \text{ кг}$

Найти:

практический выход металла $\eta(\text{Zn})$ в процентах.

Решение:

1. Запишем уравнение реакции восстановления оксида цинка углем. Предполагается полное восстановление до металлического цинка и оксида углерода(II):

$\text{ZnO} + \text{C} \rightarrow \text{Zn} + \text{CO}$

2. Рассчитаем молярные массы оксида цинка ($\text{ZnO}$) и цинка ($\text{Zn}$).

Используем относительные атомные массы: $\text{Ar}(\text{Zn}) = 65.38$, $\text{Ar}(\text{O}) = 15.999$.

$M(\text{ZnO}) = \text{Ar}(\text{Zn}) + \text{Ar}(\text{O}) = 65.38 + 15.999 = 81.379 \text{ г/моль}$

$M(\text{Zn}) = 65.38 \text{ г/моль}$

3. Найдем количество вещества оксида цинка, вступившего в реакцию:

$n(\text{ZnO}) = \frac{m(\text{ZnO})}{M(\text{ZnO})} = \frac{121.5 \text{ г}}{81.379 \text{ г/моль}} \approx 1.4929 \text{ моль}$

4. Согласно уравнению реакции, из 1 моль $\text{ZnO}$ образуется 1 моль $\text{Zn}$. Следовательно, теоретическое количество вещества цинка, которое должно было образоваться, равно количеству вещества оксида цинка:

$n_{теор}(\text{Zn}) = n(\text{ZnO}) \approx 1.4929 \text{ моль}$

5. Рассчитаем теоретическую массу цинка, которая должна была образоваться:

$m_{теор}(\text{Zn}) = n_{теор}(\text{Zn}) \times M(\text{Zn}) = 1.4929 \text{ моль} \times 65.38 \text{ г/моль} \approx 97.550 \text{ г}$

6. Рассчитаем практический выход металла по формуле:

$\eta = \frac{m_{практ}(\text{Zn})}{m_{теор}(\text{Zn})} \times 100\%$

$\eta = \frac{90 \text{ г}}{97.550 \text{ г}} \times 100\% \approx 92.26\%$

Ответ:

Практический выход металла составляет $92.26\%$.

Помогло решение? Оставьте отзыв в комментариях ниже.

Присоединяйтесь к Телеграм-группе @gdz_by_belarus

Присоединиться

Мы подготовили для вас ответ c подробным объяснением домашего задания по химии за 9 класс, для упражнения номер 4 расположенного на странице 19 к сборнику контрольных и самостоятельных работ 2020 года издания для учащихся школ и гимназий.

Теперь на нашем сайте ГДЗ.ТОП вы всегда легко и бесплатно найдёте условие с правильным ответом на вопрос «Как решить ДЗ» и «Как сделать» задание по химии к упражнению №4 (с. 19), авторов: Сеген (Елена Адамовна), Алексеева (Алевтина Владимировна), Раппапорт (Анна Ильинична), Самолазов (С М), Тимошенко (Л М), учебного пособия издательства Аверсэв.