Номер 4, страница 61 - гдз по химии 9 класс сборник контрольных и самостоятельных работ Сеген, Алексеева

Химия, 9 класс Сборник контрольных и самостоятельных работ, авторы: Сеген Елена Адамовна, Алексеева Алевтина Владимировна, Раппапорт Анна Ильинична, Самолазов С М, Тимошенко Л М, издательство Аверсэв, Минск, 2020, зелёного цвета

Авторы: Сеген Е. А., Алексеева А. В., Раппапорт А. И., Самолазов С. М., Тимошенко Л. М.

Тип: Сборник контрольных и самостоятельных работ

Издательство: Аверсэв

Год издания: 2020 - 2026

Цвет обложки: зелёный с молекулами

ISBN: 978-985-19-5196-9

Рекомендовано Научно-методическим учреждением «Национальный институт образования» Министерства образования Республики Беларусь

Популярные ГДЗ в 9 классе

Самостоятельная работа 10. По теме «Расчет выхода продукта реакции». Вариант 2. Вариант 2 - номер 4, страница 61.

№4 (с. 61)
Решение. №4 (с. 61)
Химия, 9 класс Сборник контрольных и самостоятельных работ, авторы: Сеген Елена Адамовна, Алексеева Алевтина Владимировна, Раппапорт Анна Ильинична, Самолазов С М, Тимошенко Л М, издательство Аверсэв, Минск, 2020, зелёного цвета, страница 61, номер 4, Решение
Решение 2. №4 (с. 61)

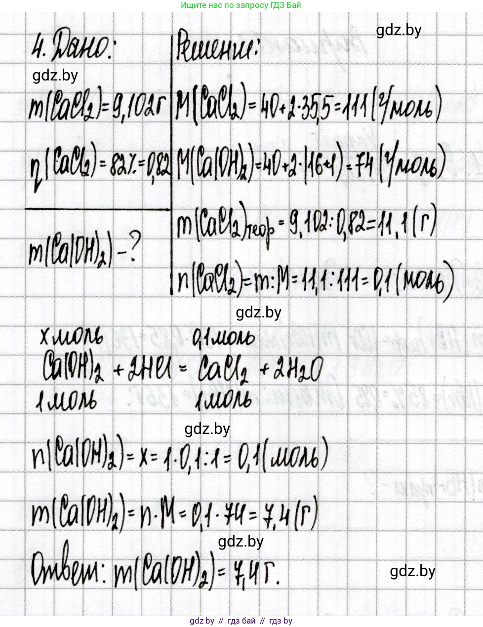
Дано:

$m_{CaCl_2, практ.} = 9,102 \text{ г}$

$\eta = 82\%$

Найти:

$m_{Ca(OH)_2}$

Решение:

Написание уравнения реакции

Нейтрализация гидроксида кальция соляной кислотой описывается следующим уравнением:

$Ca(OH)_2 + 2HCl \rightarrow CaCl_2 + 2H_2O$

Ответ:

Расчет теоретической массы хлорида кальция

Практический выход ($\eta$) продукта определяется как отношение практической массы к теоретической массе, выраженное в процентах:

$\eta = \frac{m_{практ.}}{m_{теор.}} \times 100\%$

Из этой формулы выразим теоретическую массу хлорида кальция ($m_{CaCl_2, теор.}$):

$m_{CaCl_2, теор.} = \frac{m_{CaCl_2, практ.}}{\eta} \times 100\%$

Подставляем известные значения:

$m_{CaCl_2, теор.} = \frac{9,102 \text{ г}}{82} \times 100 \approx 11,100 \text{ г}$

Ответ:

Расчет молярных масс реагентов и продуктов

Для дальнейших расчетов нам понадобятся молярные массы гидроксида кальция и хлорида кальция. Используем атомные массы (Ca $\approx 40,08$ г/моль, O $\approx 16,00$ г/моль, H $\approx 1,008$ г/моль, Cl $\approx 35,45$ г/моль):

Молярная масса гидроксида кальция ($Ca(OH)_2$):

$M(Ca(OH)_2) = Ar(Ca) + 2 \times (Ar(O) + Ar(H)) = 40,08 + 2 \times (16,00 + 1,008) = 40,08 + 2 \times 17,008 = 40,08 + 34,016 = 74,096 \text{ г/моль}$

Молярная масса хлорида кальция ($CaCl_2$):

$M(CaCl_2) = Ar(Ca) + 2 \times Ar(Cl) = 40,08 + 2 \times 35,45 = 40,08 + 70,90 = 110,98 \text{ г/моль}$

Ответ:

Расчет количества вещества теоретического хлорида кальция

Количество вещества теоретически образовавшегося хлорида кальция ($n_{CaCl_2, теор.}$) рассчитывается по формуле:

$n_{CaCl_2, теор.} = \frac{m_{CaCl_2, теор.}}{M(CaCl_2)}$

Подставляем значения:

$n_{CaCl_2, теор.} = \frac{11,100 \text{ г}}{110,98 \text{ г/моль}} \approx 0,1000 \text{ моль}$

Ответ:

Определение количества вещества гидроксида кальция по стехиометрии

Согласно уравнению реакции $Ca(OH)_2 + 2HCl \rightarrow CaCl_2 + 2H_2O$, молярное соотношение гидроксида кальция к хлориду кальция составляет 1:1. Это означает, что 1 моль $Ca(OH)_2$ реагирует с образованием 1 моля $CaCl_2$.

Следовательно, количество вещества гидроксида кальция, которое должно было быть израсходовано, равно теоретическому количеству вещества образовавшегося хлорида кальция:

$n_{Ca(OH)_2} = n_{CaCl_2, теор.} = 0,1000 \text{ моль}$

Ответ:

Расчет массы гидроксида кальция

Масса гидроксида кальция ($m_{Ca(OH)_2}$) рассчитывается по формуле:

$m_{Ca(OH)_2} = n_{Ca(OH)_2} \times M(Ca(OH)_2)$

Подставляем значения:

$m_{Ca(OH)_2} = 0,1000 \text{ моль} \times 74,096 \text{ г/моль} = 7,4096 \text{ г}$

Округляем до трех значащих цифр после запятой, как в исходной массе хлорида кальция:

$m_{Ca(OH)_2} \approx 7,410 \text{ г}$

Ответ: $7,410 \text{ г}$

Помогло решение? Оставьте отзыв в комментариях ниже.

Присоединяйтесь к Телеграм-группе @gdz_by_belarus

Присоединиться

Мы подготовили для вас ответ c подробным объяснением домашего задания по химии за 9 класс, для упражнения номер 4 расположенного на странице 61 к сборнику контрольных и самостоятельных работ 2020 года издания для учащихся школ и гимназий.

Теперь на нашем сайте ГДЗ.ТОП вы всегда легко и бесплатно найдёте условие с правильным ответом на вопрос «Как решить ДЗ» и «Как сделать» задание по химии к упражнению №4 (с. 61), авторов: Сеген (Елена Адамовна), Алексеева (Алевтина Владимировна), Раппапорт (Анна Ильинична), Самолазов (С М), Тимошенко (Л М), учебного пособия издательства Аверсэв.