Номер 5, страница 76 - гдз по химии 9 класс сборник контрольных и самостоятельных работ Сеген, Алексеева

Химия, 9 класс Сборник контрольных и самостоятельных работ, авторы: Сеген Елена Адамовна, Алексеева Алевтина Владимировна, Раппапорт Анна Ильинична, Самолазов С М, Тимошенко Л М, издательство Аверсэв, Минск, 2020, зелёного цвета

Авторы: Сеген Е. А., Алексеева А. В., Раппапорт А. И., Самолазов С. М., Тимошенко Л. М.

Тип: Сборник контрольных и самостоятельных работ

Издательство: Аверсэв

Год издания: 2020 - 2026

Цвет обложки: зелёный с молекулами

ISBN: 978-985-19-5196-9

Рекомендовано Научно-методическим учреждением «Национальный институт образования» Министерства образования Республики Беларусь

Популярные ГДЗ в 9 классе

Самостоятельная работа 13. По теме «Металлы и их соединения». Вариант 1. Вариант 1 - номер 5, страница 76.

№5 (с. 76)
Решение. №5 (с. 76)
Химия, 9 класс Сборник контрольных и самостоятельных работ, авторы: Сеген Елена Адамовна, Алексеева Алевтина Владимировна, Раппапорт Анна Ильинична, Самолазов С М, Тимошенко Л М, издательство Аверсэв, Минск, 2020, зелёного цвета, страница 76, номер 5, Решение
Решение 2. №5 (с. 76)

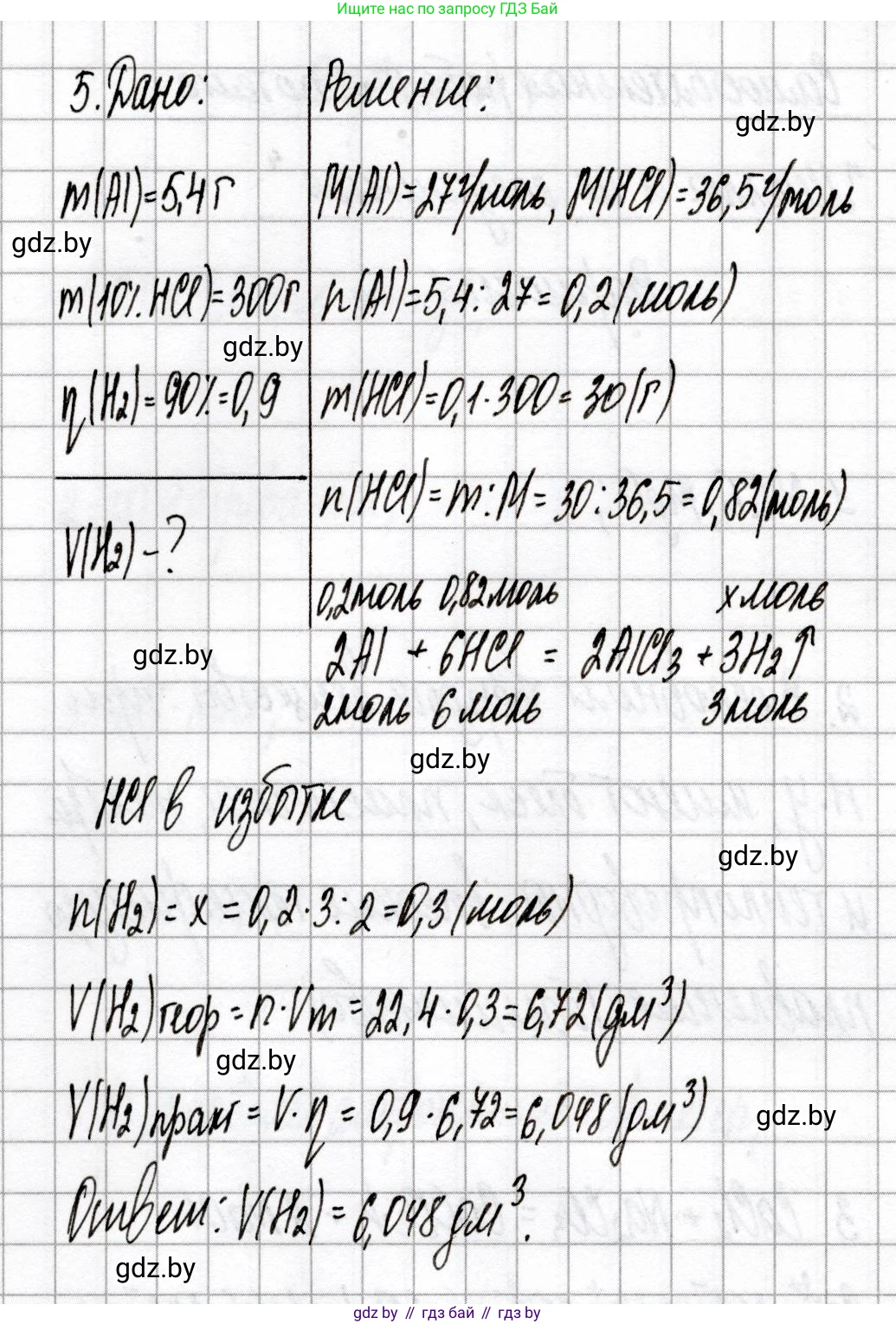
Дано:

масса алюминия $m(\text{Al}) = 5.4 \text{ г}$

масса раствора соляной кислоты $m(\text{раствора HCl}) = 300 \text{ г}$

массовая доля хлороводорода в растворе $\omega(\text{HCl}) = 10\%$

выход продукта (водорода) $\eta(\text{H}_2) = 90\%$

нормальные условия (н.у.)

Перевод в СИ и необходимые константы:

$M(\text{Al}) = 26.98 \text{ г/моль}$ (молярная масса алюминия)

$M(\text{HCl}) = 36.46 \text{ г/моль}$ (молярная масса хлороводорода)

$V_m = 22.4 \text{ дм}^3/\text{моль}$ (молярный объем идеального газа при н.у.)

$\omega(\text{HCl}) = 0.1$ (в долях единицы)

$\eta(\text{H}_2) = 0.9$ (в долях единицы)

Найти:

объем водорода $V(\text{H}_2) \text{ (дм}^3\text{, н. у.)}$

Решение:

1. Напишем уравнение реакции взаимодействия алюминия с соляной кислотой:

$2\text{Al} + 6\text{HCl} \rightarrow 2\text{AlCl}_3 + 3\text{H}_2\uparrow$

2. Рассчитаем массу чистого хлороводорода, содержащегося в растворе:

$m(\text{HCl}) = m(\text{раствора HCl}) \times \omega(\text{HCl})$

$m(\text{HCl}) = 300 \text{ г} \times 0.1 = 30 \text{ г}$

3. Рассчитаем количество вещества каждого из реагентов:

$n(\text{Al}) = m(\text{Al}) / M(\text{Al})$

$n(\text{Al}) = 5.4 \text{ г} / 26.98 \text{ г/моль} \approx 0.200 \text{ моль}$

$n(\text{HCl}) = m(\text{HCl}) / M(\text{HCl})$

$n(\text{HCl}) = 30 \text{ г} / 36.46 \text{ г/моль} \approx 0.823 \text{ моль}$

4. Определим лимитирующий реагент. Согласно уравнению реакции, 2 моль Al реагируют с 6 моль HCl, то есть соотношение количеств вещества $n(\text{Al}) : n(\text{HCl})$ должно быть $2:6 = 1:3$.

Для полного взаимодействия 0.200 моль Al потребуется $0.200 \text{ моль Al} \times (6 \text{ моль HCl} / 2 \text{ моль Al}) = 0.600 \text{ моль}$ HCl.

Так как у нас есть 0.823 моль HCl, а требуется только 0.600 моль HCl, то хлороводород находится в избытке.

Следовательно, алюминий (Al) является лимитирующим реагентом, и все дальнейшие расчеты по количеству продукта необходимо проводить по алюминию.

5. Рассчитаем теоретическое количество вещества водорода ($n_{теор}(\text{H}_2)$), которое может образоваться из 0.200 моль Al:

По уравнению реакции, из 2 моль Al образуется 3 моль H$_2$.

$n_{теор}(\text{H}_2) = n(\text{Al}) \times (3 \text{ моль H}_2 / 2 \text{ моль Al})$

$n_{теор}(\text{H}_2) = 0.200 \text{ моль} \times 1.5 = 0.300 \text{ моль}$

6. Рассчитаем теоретический объем водорода ($V_{теор}(\text{H}_2)$) при нормальных условиях:

$V_{теор}(\text{H}_2) = n_{теор}(\text{H}_2) \times V_m$

$V_{теор}(\text{H}_2) = 0.300 \text{ моль} \times 22.4 \text{ дм}^3/\text{моль} = 6.72 \text{ дм}^3$

7. Учтем, что выход продукта составляет 90%. Рассчитаем практический объем водорода ($V_{практ}(\text{H}_2)$):

$V_{практ}(\text{H}_2) = V_{теор}(\text{H}_2) \times \eta(\text{H}_2)$

$V_{практ}(\text{H}_2) = 6.72 \text{ дм}^3 \times 0.90 = 6.048 \text{ дм}^3$

Ответ:

$6.048 \text{ дм}^3$

Помогло решение? Оставьте отзыв в комментариях ниже.

Присоединяйтесь к Телеграм-группе @gdz_by_belarus

Присоединиться

Мы подготовили для вас ответ c подробным объяснением домашего задания по химии за 9 класс, для упражнения номер 5 расположенного на странице 76 к сборнику контрольных и самостоятельных работ 2020 года издания для учащихся школ и гимназий.

Теперь на нашем сайте ГДЗ.ТОП вы всегда легко и бесплатно найдёте условие с правильным ответом на вопрос «Как решить ДЗ» и «Как сделать» задание по химии к упражнению №5 (с. 76), авторов: Сеген (Елена Адамовна), Алексеева (Алевтина Владимировна), Раппапорт (Анна Ильинична), Самолазов (С М), Тимошенко (Л М), учебного пособия издательства Аверсэв.