Номер 5, страница 36 - гдз по химии 9 класс сборник контрольных и самостоятельных работ Сеген, Алексеева

Химия, 9 класс Сборник контрольных и самостоятельных работ, авторы: Сеген Елена Адамовна, Алексеева Алевтина Владимировна, Раппапорт Анна Ильинична, Самолазов С М, Тимошенко Л М, издательство Аверсэв, Минск, 2020, зелёного цвета

Авторы: Сеген Е. А., Алексеева А. В., Раппапорт А. И., Самолазов С. М., Тимошенко Л. М.

Тип: Сборник контрольных и самостоятельных работ

Издательство: Аверсэв

Год издания: 2020 - 2026

Цвет обложки: зелёный с молекулами

ISBN: 978-985-19-5196-9

Рекомендовано Научно-методическим учреждением «Национальный институт образования» Министерства образования Республики Беларусь

Самостоятельная работа 5. По теме «Расчеты по уравнениям химических реакций, когда одно из веществ взято с избытком». Вариант 1. Вариант 1 - номер 5, страница 36.

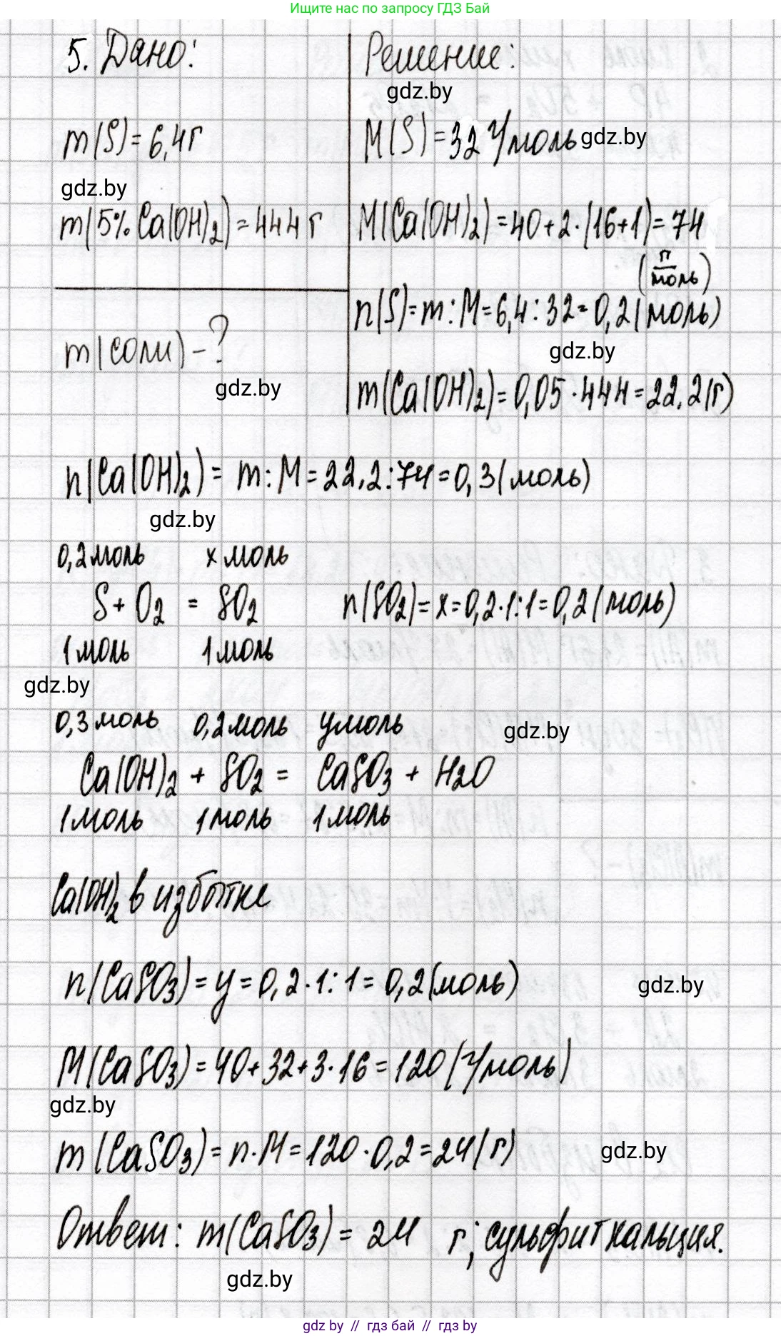
№5 (с. 36)
Решение. №5 (с. 36)
Химия, 9 класс Сборник контрольных и самостоятельных работ, авторы: Сеген Елена Адамовна, Алексеева Алевтина Владимировна, Раппапорт Анна Ильинична, Самолазов С М, Тимошенко Л М, издательство Аверсэв, Минск, 2020, зелёного цвета, страница 36, номер 5, Решение
Решение 2. №5 (с. 36)

Дано:

Масса серы: $m_S = 6.4 \text{ г}$

Масса раствора гидроксида калия: $m_{\text{р-ра KOH}} = 444 \text{ г}$

Массовая доля гидроксида калия в растворе: $\omega_{\text{KOH}} = 5 \% = 0.05$

Перевод данных в систему СИ:

Для решения данной химической задачи нет необходимости переводить массы из граммов в килограммы или концентрации в моль/м³. Использование граммов и процентных долей является стандартным и удобным для расчетов в данном контексте.

Найти:

Масса образовавшейся соли: $m_{\text{соли}}$

Название образовавшейся соли

Решение:

1. Расчет количества вещества серы и диоксида серы.

Сначала запишем уравнение реакции горения серы:

$S + O_2 \to SO_2$

Молярная масса серы: $M_S = 32.07 \text{ г/моль}$.

Количество вещества серы:

$n_S = \frac{m_S}{M_S} = \frac{6.4 \text{ г}}{32.07 \text{ г/моль}} \approx 0.1996 \text{ моль}$

Согласно уравнению реакции, 1 моль серы образует 1 моль диоксида серы. Следовательно:

$n_{SO_2} = n_S \approx 0.1996 \text{ моль}$

2. Расчет количества вещества гидроксида калия.

Масса гидроксида калия в растворе:

$m_{KOH} = m_{\text{р-ра KOH}} \times \omega_{KOH} = 444 \text{ г} \times 0.05 = 22.2 \text{ г}$

Молярная масса гидроксида калия: $M_{KOH} = 39.10 + 16.00 + 1.01 = 56.11 \text{ г/моль}$.

Количество вещества гидроксида калия:

$n_{KOH} = \frac{m_{KOH}}{M_{KOH}} = \frac{22.2 \text{ г}}{56.11 \text{ г/моль}} \approx 0.39565 \text{ моль}$

3. Определение продукта реакции и расчет массы соли.

Диоксид серы ($SO_2$) является кислотным оксидом и реагирует с гидроксидом калия ($KOH$) с образованием соли. Возможны две основные реакции в зависимости от молярного соотношения реагентов:

1) $SO_2 + KOH \to KHSO_3$ (гидросульфит калия)

2) $SO_2 + 2KOH \to K_2SO_3 + H_2O$ (сульфит калия)

Рассчитаем молярное соотношение гидроксида калия к диоксиду серы:

$\frac{n_{KOH}}{n_{SO_2}} = \frac{0.39565 \text{ моль}}{0.1996 \text{ моль}} \approx 1.982$

Так как молярное соотношение $n_{KOH} : n_{SO_2}$ очень близко к 2 : 1, это указывает на то, что основная реакция, приводящая к образованию соли, будет с образованием сульфита калия ($K_2SO_3$):

$SO_2 + 2KOH \to K_2SO_3 + H_2O$

Определим лимитирующий реагент. Для полного превращения 0.1996 моль $SO_2$ в $K_2SO_3$ потребуется $0.1996 \text{ моль} \times 2 = 0.3992 \text{ моль } KOH$.

У нас есть $0.39565 \text{ моль } KOH$. Поскольку имеющееся количество $KOH$ ($0.39565 \text{ моль}$) меньше, чем требуемое ($0.3992 \text{ моль}$), гидроксид калия ($KOH$) является лимитирующим реагентом.

Количество вещества образовавшейся соли ($K_2SO_3$) рассчитывается по лимитирующему реагенту:

$n_{K_2SO_3} = \frac{n_{KOH}}{2} = \frac{0.39565 \text{ моль}}{2} \approx 0.197825 \text{ моль}$

Молярная масса сульфита калия ($K_2SO_3$):

$M_{K_2SO_3} = (2 \times 39.10) + 32.07 + (3 \times 16.00) = 78.20 + 32.07 + 48.00 = 158.27 \text{ г/моль}$

Масса (г) этой соли:

Масса образовавшейся соли ($K_2SO_3$):

$m_{K_2SO_3} = n_{K_2SO_3} \times M_{K_2SO_3} = 0.197825 \text{ моль} \times 158.27 \text{ г/моль} \approx 31.29 \text{ г}$

Ответ: $31.29 \text{ г}$

Название образовавшейся соли:

Образовавшаяся соль $K_2SO_3$ называется сульфит калия.

Эта соль является пищевой добавкой E226.

Ответ: Сульфит калия

Помогло решение? Оставьте отзыв в комментариях ниже.

Присоединяйтесь к Телеграм-группе @gdz_by_belarus

Присоединиться

Мы подготовили для вас ответ c подробным объяснением домашего задания по химии за 9 класс, для упражнения номер 5 расположенного на странице 36 к сборнику контрольных и самостоятельных работ 2020 года издания для учащихся школ и гимназий.

Теперь на нашем сайте ГДЗ.ТОП вы всегда легко и бесплатно найдёте условие с правильным ответом на вопрос «Как решить ДЗ» и «Как сделать» задание по химии к упражнению №5 (с. 36), авторов: Сеген (Елена Адамовна), Алексеева (Алевтина Владимировна), Раппапорт (Анна Ильинична), Самолазов (С М), Тимошенко (Л М), учебного пособия издательства Аверсэв.