Номер 5, страница 52 - гдз по химии 9 класс сборник контрольных и самостоятельных работ Сеген, Алексеева

Химия, 9 класс Сборник контрольных и самостоятельных работ, авторы: Сеген Елена Адамовна, Алексеева Алевтина Владимировна, Раппапорт Анна Ильинична, Самолазов С М, Тимошенко Л М, издательство Аверсэв, Минск, 2020, зелёного цвета

Авторы: Сеген Е. А., Алексеева А. В., Раппапорт А. И., Самолазов С. М., Тимошенко Л. М.

Тип: Сборник контрольных и самостоятельных работ

Издательство: Аверсэв

Год издания: 2020 - 2026

Цвет обложки: зелёный с молекулами

ISBN: 978-985-19-5196-9

Рекомендовано Научно-методическим учреждением «Национальный институт образования» Министерства образования Республики Беларусь

Популярные ГДЗ в 9 классе

Самостоятельная работа 8. По теме «Азот и фосфор». Вариант 1. Вариант 1 - номер 5, страница 52.

№5 (с. 52)
Решение. №5 (с. 52)
Химия, 9 класс Сборник контрольных и самостоятельных работ, авторы: Сеген Елена Адамовна, Алексеева Алевтина Владимировна, Раппапорт Анна Ильинична, Самолазов С М, Тимошенко Л М, издательство Аверсэв, Минск, 2020, зелёного цвета, страница 52, номер 5, Решение
Решение 2. №5 (с. 52)

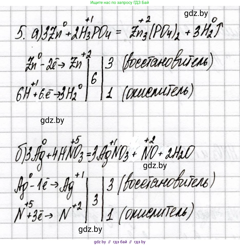
а) Zn + H₃PO₄ →

Дано: Неполное уравнение реакции: $Zn + H_3PO_4 \rightarrow$

Найти: Формулы продуктов реакции, сбалансированное уравнение, окислитель и восстановитель.

Решение:

1. Напишем полные формулы продуктов реакции. Цинк является активным металлом и будет вытеснять водород из фосфорной кислоты, образуя соль цинка - фосфат цинка $Zn_3(PO_4)_2$ и газообразный водород $H_2$. Фосфорная кислота в данной реакции не проявляет окислительных свойств по отношению к фосфору, поэтому степень окисления фосфора останется неизменной.

Предварительное уравнение: $Zn + H_3PO_4 \rightarrow Zn_3(PO_4)_2 + H_2$

2. Определим степени окисления элементов, которые изменяют их в ходе реакции:

$Zn^0 + H_3^{+1}P^{+5}O_4^{-2} \rightarrow Zn_3^{+2}(P^{+5}O_4^{-2})_2 + H_2^0$

Элементы, изменяющие степень окисления: цинк ($Zn^0 \rightarrow Zn^{+2}$) и водород ($H^{+1} \rightarrow H^0$).

3. Составим электронный баланс:

Окисление (отдача электронов):

$Zn^0 - 2e^- \rightarrow Zn^{+2}$

Восстановление (прием электронов):

$2H^{+1} + 2e^- \rightarrow H_2^0$

Наименьшее общее кратное для числа электронов (2 и 2) равно 2. Однако, учитывая стехиометрию продукта $Zn_3(PO_4)_2$, для образования одной молекулы фосфата цинка требуется три атома цинка, которые отдадут $3 \times 2 = 6$ электронов. Соответственно, шесть атомов водорода должны принять 6 электронов, образуя 3 молекулы водорода.

Множители для баланса:

$Zn^0 - 2e^- \rightarrow Zn^{+2}$ | 3 (коэффициент для Zn)

$2H^{+1} + 2e^- \rightarrow H_2^0$ | 3 (коэффициент для $H_2$)

Суммарная отдача электронов: $3 \times 2 = 6e^-$

Суммарный прием электронов: $3 \times 2 = 6e^-$

4. Расставим коэффициенты в уравнении:

$3Zn + 2H_3PO_4 \rightarrow Zn_3(PO_4)_2 + 3H_2$

Проверим баланс атомов:

Zn: 3 атома слева, 3 атома справа.

H: $2 \times 3 = 6$ атомов слева, $3 \times 2 = 6$ атомов справа.

P: 2 атома слева, 2 атома справа.

O: $2 \times 4 = 8$ атомов слева, $2 \times 4 = 8$ атомов справа.

Уравнение сбалансировано.

5. Определим окислитель и восстановитель:

$Zn^0$ отдает электроны, его степень окисления повышается, поэтому $Zn$ является восстановителем.

$H^{+1}$ в $H_3PO_4$ принимает электроны, его степень окисления понижается, поэтому $H_3PO_4$ (точнее $H^+$) является окислителем.

Ответ: $3Zn + 2H_3PO_4 \rightarrow Zn_3(PO_4)_2 + 3H_2$. Окислитель: $H_3PO_4$. Восстановитель: $Zn$.

б) Ag + HNO₃ → AgNO₃ + NO + H₂O.

Дано: Неполное уравнение реакции: $Ag + HNO_3 \rightarrow AgNO_3 + NO + H_2O$.

Найти: Сбалансированное уравнение, окислитель и восстановитель.

Решение:

1. Определим степени окисления элементов, которые изменяют их в ходе реакции:

$Ag^0 + H^{+1}N^{+5}O_3^{-2} \rightarrow Ag^{+1}N^{+5}O_3^{-2} + N^{+2}O^{-2} + H_2^{+1}O^{-2}$

Элементы, изменяющие степень окисления: серебро ($Ag^0 \rightarrow Ag^{+1}$) и азот ($N^{+5} \rightarrow N^{+2}$).

2. Составим электронный баланс:

Окисление (отдача электронов):

$Ag^0 - 1e^- \rightarrow Ag^{+1}$

Восстановление (прием электронов):

$N^{+5} + 3e^- \rightarrow N^{+2}$

Наименьшее общее кратное для числа электронов (1 и 3) равно 3.

Множители для баланса:

$Ag^0 - 1e^- \rightarrow Ag^{+1}$ | 3 (для $Ag$)

$N^{+5} + 3e^- \rightarrow N^{+2}$ | 1 (для $N$)

Суммарная отдача электронов: $3 \times 1 = 3e^-$

Суммарный прием электронов: $1 \times 3 = 3e^-$

3. Расставим коэффициенты в уравнении, используя найденные в балансе множители, и уравняем остальные атомы:

$3Ag + HNO_3 \rightarrow 3AgNO_3 + NO + H_2O$

Теперь уравняем атомы азота (N). Справа: 3 атома N в $3AgNO_3$ и 1 атом N в $NO$. Итого 4 атома N. Значит, слева должно быть 4 атома N в $HNO_3$.

$3Ag + 4HNO_3 \rightarrow 3AgNO_3 + NO + H_2O$

Уравняем атомы водорода (H). Слева: 4 атома H в $4HNO_3$. Значит, справа должно быть 4 атома H в $H_2O$. Для этого ставим коэффициент 2 перед $H_2O$.

$3Ag + 4HNO_3 \rightarrow 3AgNO_3 + NO + 2H_2O$

Проверим баланс атомов кислорода (O). Слева: $4 \times 3 = 12$ атомов O. Справа: $3 \times 3 = 9$ атомов O в $3AgNO_3$, 1 атом O в $NO$, $2 \times 1 = 2$ атома O в $2H_2O$. Итого $9 + 1 + 2 = 12$ атомов O. Кислород сбалансирован.

Уравнение сбалансировано.

4. Определим окислитель и восстановитель:

$Ag^0$ отдает электроны, его степень окисления повышается, поэтому $Ag$ является восстановителем.

$N^{+5}$ в $HNO_3$ принимает электроны, его степень окисления понижается, поэтому $HNO_3$ (точнее $N^{+5}$) является окислителем.

Ответ: $3Ag + 4HNO_3 \rightarrow 3AgNO_3 + NO + 2H_2O$. Окислитель: $HNO_3$. Восстановитель: $Ag$.

Помогло решение? Оставьте отзыв в комментариях ниже.

Присоединяйтесь к Телеграм-группе @gdz_by_belarus

Присоединиться

Мы подготовили для вас ответ c подробным объяснением домашего задания по химии за 9 класс, для упражнения номер 5 расположенного на странице 52 к сборнику контрольных и самостоятельных работ 2020 года издания для учащихся школ и гимназий.

Теперь на нашем сайте ГДЗ.ТОП вы всегда легко и бесплатно найдёте условие с правильным ответом на вопрос «Как решить ДЗ» и «Как сделать» задание по химии к упражнению №5 (с. 52), авторов: Сеген (Елена Адамовна), Алексеева (Алевтина Владимировна), Раппапорт (Анна Ильинична), Самолазов (С М), Тимошенко (Л М), учебного пособия издательства Аверсэв.