Номер 1.278, страница 84 - гдз по алгебре 10 класс учебник Арефьева, Пирютко

Алгебра, 10 класс Учебник, авторы: Арефьева Ирина Глебовна, Пирютко Ольга Николаевна, издательство Народная асвета, Минск, 2019, голубого цвета

Авторы: Арефьева И. Г., Пирютко О. Н.

Тип: Учебник

Издательство: Народная асвета

Год издания: 2019 - 2026

Цвет обложки: голубой с графиком

Допущено Министерством образования Республики Беларусь

Популярные ГДЗ в 10 классе

Глава 1. Тригонометрия. Параграф 6. Функции y=tg(x) и y=ctg(x). Их свойства и графики - номер 1.278, страница 84.

№1.278 (с. 84)
Условие. №1.278 (с. 84)
скриншот условия
Алгебра, 10 класс Учебник, авторы: Арефьева Ирина Глебовна, Пирютко Ольга Николаевна, издательство Народная асвета, Минск, 2019, голубого цвета, страница 84, номер 1.278, Условие

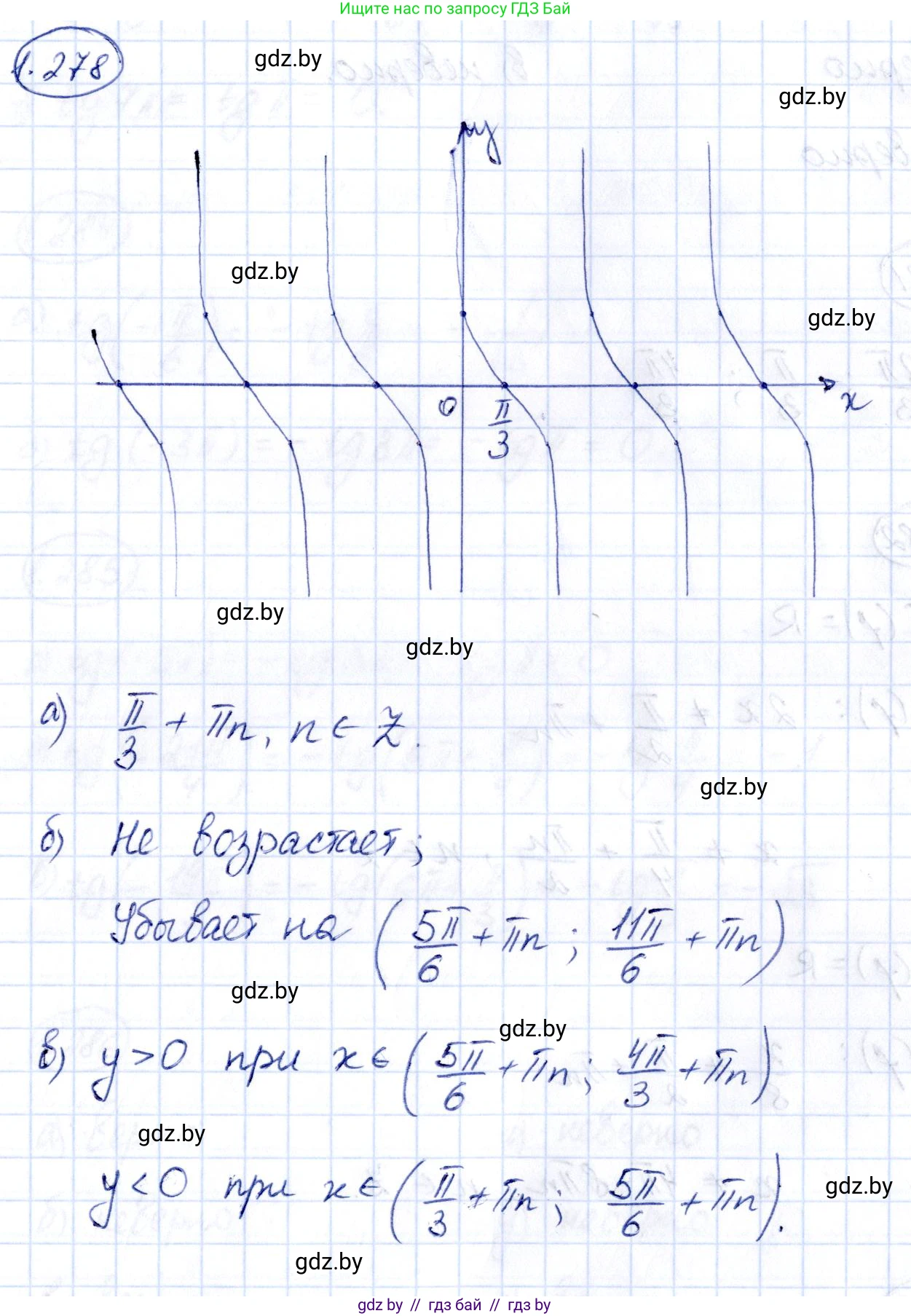
1.278. Постройте график функции $y = \operatorname{ctg}\left(x - \frac{5\pi}{6}\right)$. Пользуясь графи-ком, определите:

а) нули функции;

б) промежутки убывания и возраста-ния функции;

в) промежутки знакопостоянства функции.

Решение. №1.278 (с. 84)
Алгебра, 10 класс Учебник, авторы: Арефьева Ирина Глебовна, Пирютко Ольга Николаевна, издательство Народная асвета, Минск, 2019, голубого цвета, страница 84, номер 1.278, Решение
Решение 2. №1.278 (с. 84)

График функции $y = \text{ctg}(x - \frac{5\pi}{6})$ получается из графика основной функции $y = \text{ctg}(x)$ путем его параллельного переноса (сдвига) вдоль оси абсцисс (Ox) на $\frac{5\pi}{6}$ вправо.

Для построения графика и анализа функции определим ее ключевые свойства, исходя из свойств $y = \text{ctg}(x)$:

  • Асимптоты: У функции $y = \text{ctg}(x)$ вертикальные асимптоты находятся в точках $x=n\pi$, $n \in \mathbb{Z}$. После сдвига на $\frac{5\pi}{6}$ вправо, асимптоты функции $y = \text{ctg}(x - \frac{5\pi}{6})$ будут в точках $x = \frac{5\pi}{6} + n\pi$, $n \in \mathbb{Z}$.
  • Период: Период функции не изменяется и равен $\pi$.

Теперь, используя эти сведения, ответим на вопросы задачи.

а) нули функции;
Нули функции — это точки пересечения графика с осью Ox, то есть значения $x$, при которых $y=0$. Для функции $y = \text{ctg}(u)$ нули находятся в точках $u = \frac{\pi}{2} + n\pi$, $n \in \mathbb{Z}$. В нашем случае $u = x - \frac{5\pi}{6}$.
$x - \frac{5\pi}{6} = \frac{\pi}{2} + n\pi$
$x = \frac{\pi}{2} + \frac{5\pi}{6} + n\pi = \frac{3\pi + 5\pi}{6} + n\pi = \frac{8\pi}{6} + n\pi = \frac{4\pi}{3} + n\pi$.
Выделим целую часть из неправильной дроби $\frac{4}{3} = 1\frac{1}{3}$.
Ответ: $x = 1\frac{1}{3}\pi + n\pi$, где $n \in \mathbb{Z}$.

б) промежутки убывания и возрастания функции;
Функция $y = \text{ctg}(x)$ является убывающей на всей своей области определения. Сдвиг графика не меняет характер монотонности, поэтому функция $y = \text{ctg}(x - \frac{5\pi}{6})$ также убывает на всей своей области определения. Промежутков возрастания у функции нет.
Область определения состоит из интервалов между вертикальными асимптотами. Асимптоты находятся в точках $x = \frac{5\pi}{6} + n\pi$.
Следовательно, промежутки убывания имеют вид $(\frac{5\pi}{6} + n\pi, \frac{5\pi}{6} + (n+1)\pi)$, где $n \in \mathbb{Z}$.
Преобразуем правую границу: $\frac{5\pi}{6} + (n+1)\pi = \frac{5\pi}{6} + \pi + n\pi = \frac{11\pi}{6} + n\pi$.
Выделим целую часть из неправильной дроби $\frac{11}{6} = 1\frac{5}{6}$.
Ответ: функция убывает на промежутках $(\frac{5\pi}{6} + n\pi, 1\frac{5}{6}\pi + n\pi), n \in \mathbb{Z}$; промежутков возрастания нет.

в) промежутки знакопостоянства функции.
Знаки функции определяются положением графика относительно оси Ox.
Функция положительна ($y>0$), когда аргумент котангенса $x - \frac{5\pi}{6}$ находится в интервалах $(n\pi, \frac{\pi}{2} + n\pi)$.
$n\pi < x - \frac{5\pi}{6} < \frac{\pi}{2} + n\pi \implies \frac{5\pi}{6} + n\pi < x < \frac{4\pi}{3} + n\pi$.
Функция отрицательна ($y<0$), когда аргумент котангенса $x - \frac{5\pi}{6}$ находится в интервалах $(\frac{\pi}{2} + n\pi, (n+1)\pi)$.
$\frac{\pi}{2} + n\pi < x - \frac{5\pi}{6} < (n+1)\pi \implies \frac{4\pi}{3} + n\pi < x < \frac{11\pi}{6} + n\pi$.
Выделим целые части в дробях, где это необходимо: $\frac{4}{3} = 1\frac{1}{3}$ и $\frac{11}{6} = 1\frac{5}{6}$.
Ответ: $y>0$ при $x \in (\frac{5\pi}{6} + n\pi, 1\frac{1}{3}\pi + n\pi), n \in \mathbb{Z}$;
$y<0$ при $x \in (1\frac{1}{3}\pi + n\pi, 1\frac{5}{6}\pi + n\pi), n \in \mathbb{Z}$.

Помогло решение? Оставьте отзыв в комментариях ниже.

Присоединяйтесь к Телеграм-группе @gdz_by_belarus

Присоединиться

Мы подготовили для вас ответ c подробным объяснением домашего задания по алгебре за 10 класс, для упражнения номер 1.278 расположенного на странице 84 к учебнику 2019 года издания для учащихся школ и гимназий.

Теперь на нашем сайте ГДЗ.ТОП вы всегда легко и бесплатно найдёте условие с правильным ответом на вопрос «Как решить ДЗ» и «Как сделать» задание по алгебре к упражнению №1.278 (с. 84), авторов: Арефьева (Ирина Глебовна), Пирютко (Ольга Николаевна), учебного пособия издательства Народная асвета.