Номер 1.439, страница 139 - гдз по алгебре 10 класс учебник Арефьева, Пирютко

Алгебра, 10 класс Учебник, авторы: Арефьева Ирина Глебовна, Пирютко Ольга Николаевна, издательство Народная асвета, Минск, 2019, голубого цвета

Авторы: Арефьева И. Г., Пирютко О. Н.

Тип: Учебник

Издательство: Народная асвета

Год издания: 2019 - 2026

Цвет обложки: голубой с графиком

Допущено Министерством образования Республики Беларусь

Популярные ГДЗ в 10 классе

Глава 1. Тригонометрия. Параграф 10. Синус, косинус, тангенс суммы и разности - номер 1.439, страница 139.

№1.439 (с. 139)
Условие. №1.439 (с. 139)
скриншот условия
Алгебра, 10 класс Учебник, авторы: Арефьева Ирина Глебовна, Пирютко Ольга Николаевна, издательство Народная асвета, Минск, 2019, голубого цвета, страница 139, номер 1.439, Условие

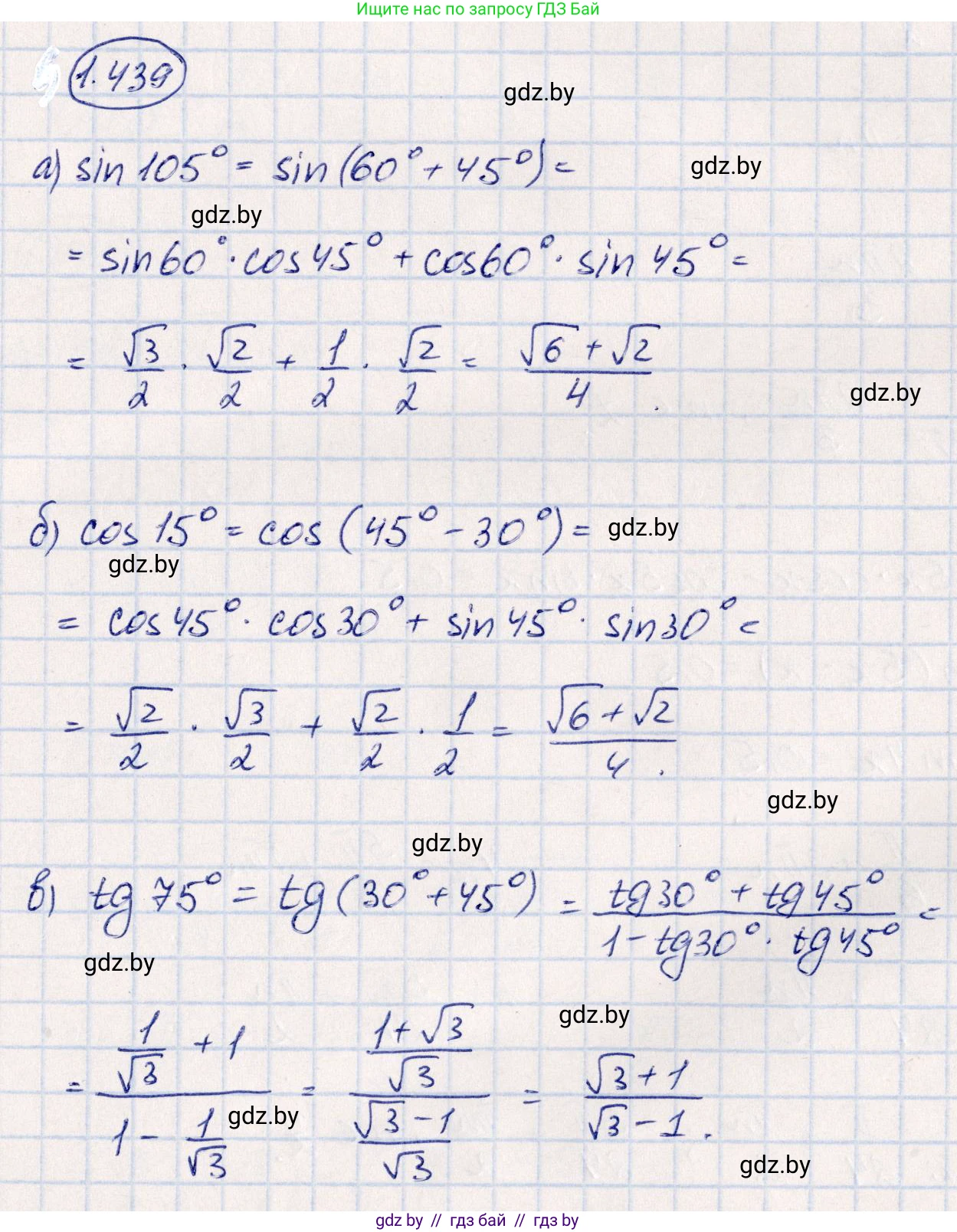
1.439. Вычислите, представив угол в виде суммы или разности:

а) $ \sin 105^\circ $;

б) $ \cos 15^\circ $;

в) $ \tan 75^\circ $.

Решение. №1.439 (с. 139)
Алгебра, 10 класс Учебник, авторы: Арефьева Ирина Глебовна, Пирютко Ольга Николаевна, издательство Народная асвета, Минск, 2019, голубого цвета, страница 139, номер 1.439, Решение
Решение 2. №1.439 (с. 139)

а) Для вычисления $ \sin 105^\circ $ представим угол $105^\circ$ в виде суммы двух стандартных углов, для которых известны значения тригонометрических функций: $ 105^\circ = 60^\circ + 45^\circ $.
Применим формулу синуса суммы: $ \sin(\alpha + \beta) = \sin\alpha \cos\beta + \cos\alpha \sin\beta $.
Подставим наши углы в формулу:
$ \sin 105^\circ = \sin(60^\circ + 45^\circ) = \sin 60^\circ \cos 45^\circ + \cos 60^\circ \sin 45^\circ $
Используя табличные значения: $ \sin 60^\circ = \frac{\sqrt{3}}{2} $, $ \cos 45^\circ = \frac{\sqrt{2}}{2} $, $ \cos 60^\circ = \frac{1}{2} $ и $ \sin 45^\circ = \frac{\sqrt{2}}{2} $, произведем вычисление:
$ \sin 105^\circ = \frac{\sqrt{3}}{2} \cdot \frac{\sqrt{2}}{2} + \frac{1}{2} \cdot \frac{\sqrt{2}}{2} = \frac{\sqrt{6}}{4} + \frac{\sqrt{2}}{4} = \frac{\sqrt{6} + \sqrt{2}}{4} $.
Ответ: $ \frac{\sqrt{6} + \sqrt{2}}{4} $

б) Для вычисления $ \cos 15^\circ $ представим угол $15^\circ$ в виде разности двух стандартных углов, например: $ 15^\circ = 45^\circ - 30^\circ $.
Применим формулу косинуса разности: $ \cos(\alpha - \beta) = \cos\alpha \cos\beta + \sin\alpha \sin\beta $.
Подставим наши углы в формулу:
$ \cos 15^\circ = \cos(45^\circ - 30^\circ) = \cos 45^\circ \cos 30^\circ + \sin 45^\circ \sin 30^\circ $
Используя табличные значения: $ \cos 45^\circ = \frac{\sqrt{2}}{2} $, $ \cos 30^\circ = \frac{\sqrt{3}}{2} $, $ \sin 45^\circ = \frac{\sqrt{2}}{2} $ и $ \sin 30^\circ = \frac{1}{2} $, произведем вычисление:
$ \cos 15^\circ = \frac{\sqrt{2}}{2} \cdot \frac{\sqrt{3}}{2} + \frac{\sqrt{2}}{2} \cdot \frac{1}{2} = \frac{\sqrt{6}}{4} + \frac{\sqrt{2}}{4} = \frac{\sqrt{6} + \sqrt{2}}{4} $.
Ответ: $ \frac{\sqrt{6} + \sqrt{2}}{4} $

в) Для вычисления $ \text{tg } 75^\circ $ представим угол $75^\circ$ в виде суммы двух стандартных углов: $ 75^\circ = 45^\circ + 30^\circ $.
Применим формулу тангенса суммы: $ \text{tg}(\alpha + \beta) = \frac{\text{tg }\alpha + \text{tg }\beta}{1 - \text{tg }\alpha \text{tg }\beta} $.
Подставим наши углы в формулу:
$ \text{tg } 75^\circ = \text{tg}(45^\circ + 30^\circ) = \frac{\text{tg } 45^\circ + \text{tg } 30^\circ}{1 - \text{tg } 45^\circ \text{tg } 30^\circ} $
Используя табличные значения: $ \text{tg } 45^\circ = 1 $ и $ \text{tg } 30^\circ = \frac{\sqrt{3}}{3} $, произведем вычисление:
$ \text{tg } 75^\circ = \frac{1 + \frac{\sqrt{3}}{3}}{1 - 1 \cdot \frac{\sqrt{3}}{3}} = \frac{\frac{3 + \sqrt{3}}{3}}{\frac{3 - \sqrt{3}}{3}} = \frac{3 + \sqrt{3}}{3 - \sqrt{3}} $.
Чтобы упростить выражение, избавимся от иррациональности в знаменателе, умножив числитель и знаменатель на сопряженное знаменателю выражение $ (3 + \sqrt{3}) $:
$ \frac{(3 + \sqrt{3})(3 + \sqrt{3})}{(3 - \sqrt{3})(3 + \sqrt{3})} = \frac{3^2 + 2 \cdot 3 \cdot \sqrt{3} + (\sqrt{3})^2}{3^2 - (\sqrt{3})^2} = \frac{9 + 6\sqrt{3} + 3}{9 - 3} = \frac{12 + 6\sqrt{3}}{6} $.
Разделим числитель почленно на знаменатель, чтобы выделить целую часть:
$ \frac{12}{6} + \frac{6\sqrt{3}}{6} = 2 + \sqrt{3} $.
Ответ: $ 2 + \sqrt{3} $

Помогло решение? Оставьте отзыв в комментариях ниже.

Присоединяйтесь к Телеграм-группе @gdz_by_belarus

Присоединиться

Мы подготовили для вас ответ c подробным объяснением домашего задания по алгебре за 10 класс, для упражнения номер 1.439 расположенного на странице 139 к учебнику 2019 года издания для учащихся школ и гимназий.

Теперь на нашем сайте ГДЗ.ТОП вы всегда легко и бесплатно найдёте условие с правильным ответом на вопрос «Как решить ДЗ» и «Как сделать» задание по алгебре к упражнению №1.439 (с. 139), авторов: Арефьева (Ирина Глебовна), Пирютко (Ольга Николаевна), учебного пособия издательства Народная асвета.