Номер 1.478, страница 148 - гдз по алгебре 10 класс учебник Арефьева, Пирютко

Алгебра, 10 класс Учебник, авторы: Арефьева Ирина Глебовна, Пирютко Ольга Николаевна, издательство Народная асвета, Минск, 2019, голубого цвета

Авторы: Арефьева И. Г., Пирютко О. Н.

Тип: Учебник

Издательство: Народная асвета

Год издания: 2019 - 2026

Цвет обложки: голубой с графиком

Допущено Министерством образования Республики Беларусь

Популярные ГДЗ в 10 классе

Глава 1. Тригонометрия. Параграф 11. Формулы двойного аргумента - номер 1.478, страница 148.

№1.478 (с. 148)
Условие. №1.478 (с. 148)
скриншот условия
Алгебра, 10 класс Учебник, авторы: Арефьева Ирина Глебовна, Пирютко Ольга Николаевна, издательство Народная асвета, Минск, 2019, голубого цвета, страница 148, номер 1.478, Условие

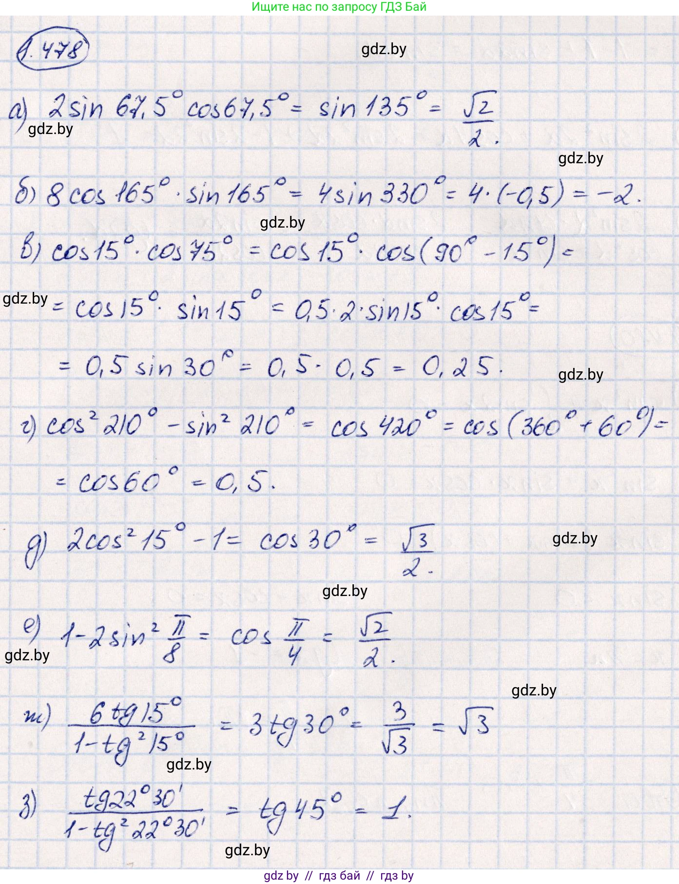
1.478. Найдите значение выражения:

a) $2\sin 67.5^\circ \cos 67.5^\circ$;

б) $8\cos 165^\circ \sin 165^\circ$;

в) $\cos 15^\circ \cos 75^\circ$;

г) $\cos^2 210^\circ - \sin^2 210^\circ$;

д) $2\cos^2 15^\circ - 1$;

е) $1 - 2\sin^2 \frac{\pi}{8}$;

ж) $\frac{6\operatorname{tg}15^\circ}{1 - \operatorname{tg}^2 15^\circ}$;

з) $\frac{\operatorname{tg}22^\circ30'}{1 - \operatorname{tg}^2 22^\circ30'}$;

и) $\frac{1 - \operatorname{tg}^2 \frac{\pi}{12}}{\operatorname{tg}\frac{\pi}{12}}$.

Решение. №1.478 (с. 148)
Алгебра, 10 класс Учебник, авторы: Арефьева Ирина Глебовна, Пирютко Ольга Николаевна, издательство Народная асвета, Минск, 2019, голубого цвета, страница 148, номер 1.478, Решение Алгебра, 10 класс Учебник, авторы: Арефьева Ирина Глебовна, Пирютко Ольга Николаевна, издательство Народная асвета, Минск, 2019, голубого цвета, страница 148, номер 1.478, Решение (продолжение 2)
Решение 2. №1.478 (с. 148)

а) Для решения используем формулу синуса двойного угла: $ \sin(2\alpha) = 2\sin(\alpha)\cos(\alpha) $.
В данном выражении $ \alpha = 67,5^\circ $.
$ 2\sin(67,5^\circ)\cos(67,5^\circ) = \sin(2 \cdot 67,5^\circ) = \sin(135^\circ) $.
Зная, что $ \sin(135^\circ) = \sin(180^\circ - 45^\circ) = \sin(45^\circ) $, получаем:
$ \sin(45^\circ) = \frac{\sqrt{2}}{2} $.
Ответ: $ \frac{\sqrt{2}}{2} $.

б) Преобразуем выражение, выделив множитель для формулы синуса двойного угла $ \sin(2\alpha) = 2\sin(\alpha)\cos(\alpha) $.
$ 8\cos(165^\circ)\sin(165^\circ) = 4 \cdot (2\sin(165^\circ)\cos(165^\circ)) $.
Здесь $ \alpha = 165^\circ $.
Применяем формулу: $ 4 \cdot \sin(2 \cdot 165^\circ) = 4 \cdot \sin(330^\circ) $.
Используем формулу приведения $ \sin(330^\circ) = \sin(360^\circ - 30^\circ) = -\sin(30^\circ) = -\frac{1}{2} $.
Итоговое значение: $ 4 \cdot (-\frac{1}{2}) = -2 $.
Ответ: -2.

в) Используем формулу приведения $ \cos(75^\circ) = \cos(90^\circ - 15^\circ) = \sin(15^\circ) $.
Тогда выражение принимает вид: $ \cos(15^\circ)\sin(15^\circ) $.
Из формулы синуса двойного угла $ \sin(2\alpha) = 2\sin(\alpha)\cos(\alpha) $ следует, что $ \sin(\alpha)\cos(\alpha) = \frac{1}{2}\sin(2\alpha) $.
Подставляем $ \alpha = 15^\circ $: $ \frac{1}{2}\sin(2 \cdot 15^\circ) = \frac{1}{2}\sin(30^\circ) $.
Так как $ \sin(30^\circ) = \frac{1}{2} $, получаем: $ \frac{1}{2} \cdot \frac{1}{2} = \frac{1}{4} $.
Ответ: $ \frac{1}{4} $.

г) Применяем формулу косинуса двойного угла: $ \cos(2\alpha) = \cos^2(\alpha) - \sin^2(\alpha) $.
В данном случае $ \alpha = 210^\circ $.
$ \cos^2(210^\circ) - \sin^2(210^\circ) = \cos(2 \cdot 210^\circ) = \cos(420^\circ) $.
Учитывая периодичность косинуса, $ \cos(420^\circ) = \cos(360^\circ + 60^\circ) = \cos(60^\circ) $.
$ \cos(60^\circ) = \frac{1}{2} $.
Ответ: $ \frac{1}{2} $.

д) Используем одну из формул косинуса двойного угла: $ \cos(2\alpha) = 2\cos^2(\alpha) - 1 $.
Здесь $ \alpha = 15^\circ $.
$ 2\cos^2(15^\circ) - 1 = \cos(2 \cdot 15^\circ) = \cos(30^\circ) $.
$ \cos(30^\circ) = \frac{\sqrt{3}}{2} $.
Ответ: $ \frac{\sqrt{3}}{2} $.

е) Используем еще одну формулу косинуса двойного угла: $ \cos(2\alpha) = 1 - 2\sin^2(\alpha) $.
В данном случае $ \alpha = \frac{\pi}{8} $.
$ 1 - 2\sin^2\frac{\pi}{8} = \cos(2 \cdot \frac{\pi}{8}) = \cos(\frac{\pi}{4}) $.
$ \cos(\frac{\pi}{4}) = \frac{\sqrt{2}}{2} $.
Ответ: $ \frac{\sqrt{2}}{2} $.

ж) Используем формулу тангенса двойного угла: $ \tan(2\alpha) = \frac{2\tan(\alpha)}{1-\tan^2(\alpha)} $.
Преобразуем исходное выражение: $ \frac{6\tan(15^\circ)}{1 - \tan^2(15^\circ)} = 3 \cdot \frac{2\tan(15^\circ)}{1 - \tan^2(15^\circ)} $.
Здесь $ \alpha = 15^\circ $.
$ 3 \cdot \tan(2 \cdot 15^\circ) = 3 \cdot \tan(30^\circ) $.
Так как $ \tan(30^\circ) = \frac{\sqrt{3}}{3} $, получаем: $ 3 \cdot \frac{\sqrt{3}}{3} = \sqrt{3} $.
Ответ: $ \sqrt{3} $.

з) Выражение похоже на формулу тангенса двойного угла $ \tan(2\alpha) = \frac{2\tan(\alpha)}{1-\tan^2(\alpha)} $.
Угол $ \alpha = 22^\circ30' = 22,5^\circ $.
Преобразуем выражение: $ \frac{\tan(22,5^\circ)}{1 - \tan^2(22,5^\circ)} = \frac{1}{2} \cdot \frac{2\tan(22,5^\circ)}{1 - \tan^2(22,5^\circ)} $.
Применяем формулу: $ \frac{1}{2} \cdot \tan(2 \cdot 22,5^\circ) = \frac{1}{2} \cdot \tan(45^\circ) $.
Так как $ \tan(45^\circ) = 1 $, то $ \frac{1}{2} \cdot 1 = \frac{1}{2} $.
Ответ: $ \frac{1}{2} $.

и) Используем формулу котангенса двойного угла: $ \cot(2\alpha) = \frac{1-\tan^2(\alpha)}{2\tan(\alpha)} $.
Обозначим $ \alpha = \frac{\pi}{12} $.
Преобразуем исходное выражение: $ \frac{1 - \tan^2\frac{\pi}{12}}{\tan\frac{\pi}{12}} = 2 \cdot \frac{1 - \tan^2\frac{\pi}{12}}{2\tan\frac{\pi}{12}} $.
Применяем формулу: $ 2 \cdot \cot(2 \cdot \frac{\pi}{12}) = 2 \cdot \cot(\frac{\pi}{6}) $.
Так как $ \cot(\frac{\pi}{6}) = \sqrt{3} $, получаем: $ 2 \cdot \sqrt{3} = 2\sqrt{3} $.
Ответ: $ 2\sqrt{3} $.

Помогло решение? Оставьте отзыв в комментариях ниже.

Присоединяйтесь к Телеграм-группе @gdz_by_belarus

Присоединиться

Мы подготовили для вас ответ c подробным объяснением домашего задания по алгебре за 10 класс, для упражнения номер 1.478 расположенного на странице 148 к учебнику 2019 года издания для учащихся школ и гимназий.

Теперь на нашем сайте ГДЗ.ТОП вы всегда легко и бесплатно найдёте условие с правильным ответом на вопрос «Как решить ДЗ» и «Как сделать» задание по алгебре к упражнению №1.478 (с. 148), авторов: Арефьева (Ирина Глебовна), Пирютко (Ольга Николаевна), учебного пособия издательства Народная асвета.