Номер 3.131, страница 263 - гдз по алгебре 10 класс учебник Арефьева, Пирютко

Алгебра, 10 класс Учебник, авторы: Арефьева Ирина Глебовна, Пирютко Ольга Николаевна, издательство Народная асвета, Минск, 2019, голубого цвета

Авторы: Арефьева И. Г., Пирютко О. Н.

Тип: Учебник

Издательство: Народная асвета

Год издания: 2019 - 2026

Цвет обложки: голубой с графиком

Допущено Министерством образования Республики Беларусь

Глава 3. Производная. Параграф 21. Применение производной к исследованию функций - номер 3.131, страница 263.

№3.131 (с. 263)
Условие. №3.131 (с. 263)
скриншот условия
Алгебра, 10 класс Учебник, авторы: Арефьева Ирина Глебовна, Пирютко Ольга Николаевна, издательство Народная асвета, Минск, 2019, голубого цвета, страница 263, номер 3.131, Условие

3.131. Исследуйте функцию и постройте ее график:

а) $f(x) = x^3 + 6x^2 + 9x;$

б) $f(x) = 2x^2 - x^3 - x;$

в) $f(x) = 2x^3 - 6x^2 + 4;$

г) $f(x) = -\frac{x^3}{3} + 4x + 4.$

Решение. №3.131 (с. 263)
Алгебра, 10 класс Учебник, авторы: Арефьева Ирина Глебовна, Пирютко Ольга Николаевна, издательство Народная асвета, Минск, 2019, голубого цвета, страница 263, номер 3.131, Решение Алгебра, 10 класс Учебник, авторы: Арефьева Ирина Глебовна, Пирютко Ольга Николаевна, издательство Народная асвета, Минск, 2019, голубого цвета, страница 263, номер 3.131, Решение (продолжение 2)
Решение 2. №3.131 (с. 263)
а) $f(x) = x^3 + 6x^2 + 9x$

1. Область определения:
Функция является многочленом, поэтому область определения - все действительные числа: $D(f) = (-\infty, +\infty)$.

2. Четность и периодичность:
$f(-x) = (-x)^3 + 6(-x)^2 + 9(-x) = -x^3 + 6x^2 - 9x$.
Поскольку $f(-x) \neq f(x)$ и $f(-x) \neq -f(x)$, функция является функцией общего вида (не является ни четной, ни нечетной). Функция непериодическая.

3. Точки пересечения с осями координат:
- С осью OY: при $x=0$, $f(0) = 0$. Точка пересечения $(0, 0)$.
- С осью OX: при $f(x)=0$, получаем $x^3 + 6x^2 + 9x = 0 \implies x(x^2 + 6x + 9) = 0 \implies x(x+3)^2 = 0$.
Корни уравнения: $x_1 = 0$, $x_2 = -3$. Точки пересечения $(0, 0)$ и $(-3, 0)$.

4. Промежутки монотонности и точки экстремума:
Находим первую производную: $f'(x) = (x^3 + 6x^2 + 9x)' = 3x^2 + 12x + 9$.
Находим критические точки, приравняв производную к нулю: $3x^2 + 12x + 9 = 0 \implies x^2 + 4x + 3 = 0$.
Корни: $x_1 = -3$, $x_2 = -1$.
- На интервале $(-\infty, -3)$: $f'(x) > 0$, функция возрастает.
- На интервале $(-3, -1)$: $f'(x) < 0$, функция убывает.
- На интервале $(-1, +\infty)$: $f'(x) > 0$, функция возрастает.
В точке $x = -3$ происходит смена знака производной с `+` на `-`, следовательно, это точка локального максимума. $f_{max} = f(-3) = (-3)^3 + 6(-3)^2 + 9(-3) = 0$.
В точке $x = -1$ происходит смена знака производной с `-` на `+`, следовательно, это точка локального минимума. $f_{min} = f(-1) = (-1)^3 + 6(-1)^2 + 9(-1) = -4$.

5. Промежутки выпуклости/вогнутости и точки перегиба:
Находим вторую производную: $f''(x) = (3x^2 + 12x + 9)' = 6x + 12$.
Находим точки, где $f''(x)=0$: $6x + 12 = 0 \implies x = -2$.
- На интервале $(-\infty, -2)$: $f''(x) < 0$, график функции выпуклый.
- На интервале $(-2, +\infty)$: $f''(x) > 0$, график функции вогнутый.
Точка $x = -2$ является точкой перегиба. Значение функции в этой точке: $f(-2) = (-2)^3 + 6(-2)^2 + 9(-2) = -8 + 24 - 18 = -2$.

Ответ: Функция исследована. Локальный максимум в точке $(-3, 0)$, локальный минимум в точке $(-1, -4)$. Точка перегиба графика $(-2, -2)$.


б) $f(x) = 2x^2 - x^3 - x$

Перепишем функцию в стандартном виде: $f(x) = -x^3 + 2x^2 - x$.
1. Область определения: $D(f) = (-\infty, +\infty)$.

2. Четность и периодичность:
$f(-x) = -(-x)^3 + 2(-x)^2 - (-x) = x^3 + 2x^2 + x$.
Функция общего вида. Непериодическая.

3. Точки пересечения с осями координат:
- С осью OY: $f(0) = 0$. Точка $(0, 0)$.
- С осью OX: $-x^3 + 2x^2 - x = 0 \implies -x(x^2 - 2x + 1) = 0 \implies -x(x-1)^2 = 0$.
Корни: $x_1 = 0$, $x_2 = 1$. Точки $(0, 0)$ и $(1, 0)$.

4. Промежутки монотонности и точки экстремума:
$f'(x) = -3x^2 + 4x - 1$.
$f'(x) = 0 \implies 3x^2 - 4x + 1 = 0$.
Корни: $x_1 = 1/3$, $x_2 = 1$.
- На $(-\infty, 1/3)$: $f'(x) < 0$, функция убывает.
- На $(1/3, 1)$: $f'(x) > 0$, функция возрастает.
- На $(1, +\infty)$: $f'(x) < 0$, функция убывает.
$x = 1/3$ - точка локального минимума. $f_{min} = f(1/3) = -(1/3)^3 + 2(1/3)^2 - 1/3 = -1/27 + 2/9 - 1/3 = -4/27$.
$x = 1$ - точка локального максимума. $f_{max} = f(1) = -1 + 2 - 1 = 0$.

5. Промежутки выпуклости/вогнутости и точки перегиба:
$f''(x) = (-3x^2 + 4x - 1)' = -6x + 4$.
$f''(x) = 0 \implies -6x + 4 = 0 \implies x = 2/3$.
- На $(-\infty, 2/3)$: $f''(x) > 0$, график вогнутый.
- На $(2/3, +\infty)$: $f''(x) < 0$, график выпуклый.
$x = 2/3$ - точка перегиба. $f(2/3) = -(2/3)^3 + 2(2/3)^2 - 2/3 = -2/27$.

Ответ: Функция исследована. Локальный минимум в точке $(1/3, -4/27)$, локальный максимум в точке $(1, 0)$. Точка перегиба графика $(2/3, -2/27)$.


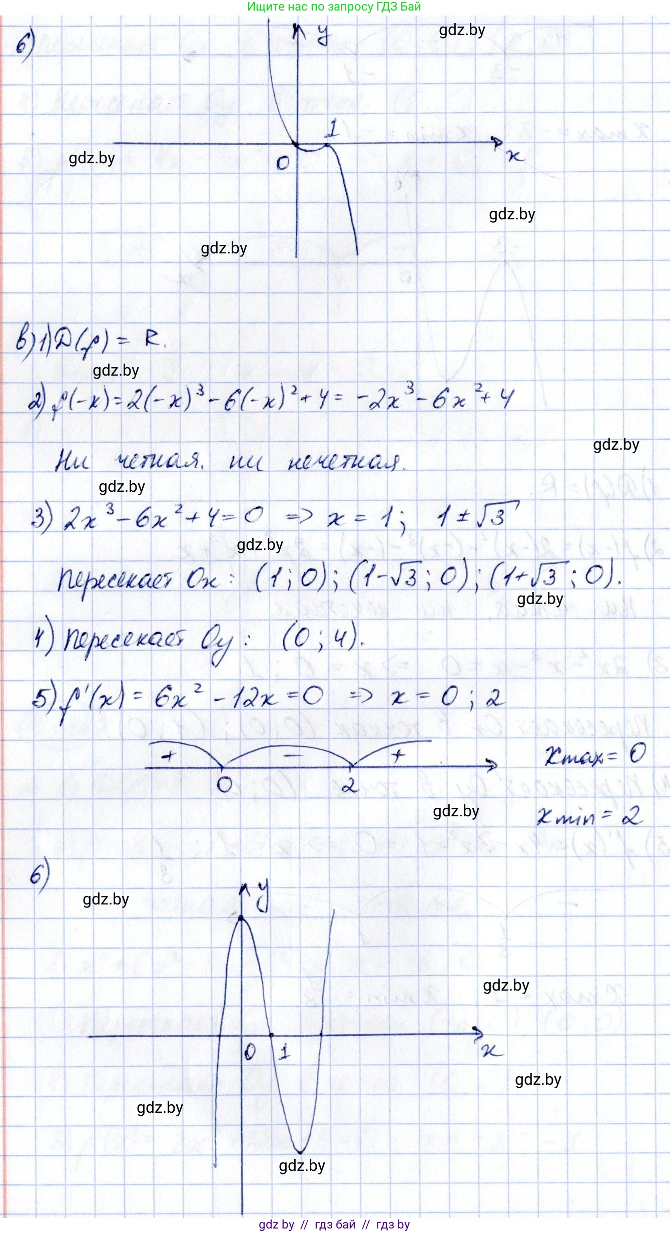
в) $f(x) = 2x^3 - 6x^2 + 4$

1. Область определения: $D(f) = (-\infty, +\infty)$.

2. Четность и периодичность:
$f(-x) = 2(-x)^3 - 6(-x)^2 + 4 = -2x^3 - 6x^2 + 4$.
Функция общего вида. Непериодическая.

3. Точки пересечения с осями координат:
- С осью OY: $f(0) = 4$. Точка $(0, 4)$.
- С осью OX: $2x^3 - 6x^2 + 4 = 0 \implies x^3 - 3x^2 + 2 = 0$.
Подбором находим корень $x=1$. Делением многочлена на $(x-1)$ получаем: $x^2-2x-2=0$.
Решая квадратное уравнение, находим остальные корни: $x = 1 \pm \sqrt{3}$.
Точки пересечения: $(1, 0)$, $(1-\sqrt{3}, 0)$, $(1+\sqrt{3}, 0)$.

4. Промежутки монотонности и точки экстремума:
$f'(x) = 6x^2 - 12x = 6x(x-2)$.
Критические точки: $x_1 = 0$, $x_2 = 2$.
- На $(-\infty, 0)$: $f'(x) > 0$, функция возрастает.
- На $(0, 2)$: $f'(x) < 0$, функция убывает.
- На $(2, +\infty)$: $f'(x) > 0$, функция возрастает.
$x = 0$ - точка локального максимума. $f_{max} = f(0) = 4$.
$x = 2$ - точка локального минимума. $f_{min} = f(2) = 2(8) - 6(4) + 4 = 16 - 24 + 4 = -4$.

5. Промежутки выпуклости/вогнутости и точки перегиба:
$f''(x) = (6x^2 - 12x)' = 12x - 12 = 12(x-1)$.
$f''(x) = 0 \implies x = 1$.
- На $(-\infty, 1)$: $f''(x) < 0$, график выпуклый.
- На $(1, +\infty)$: $f''(x) > 0$, график вогнутый.
$x = 1$ - точка перегиба. $f(1) = 2 - 6 + 4 = 0$.

Ответ: Функция исследована. Локальный максимум в точке $(0, 4)$, локальный минимум в точке $(2, -4)$. Точка перегиба графика $(1, 0)$.


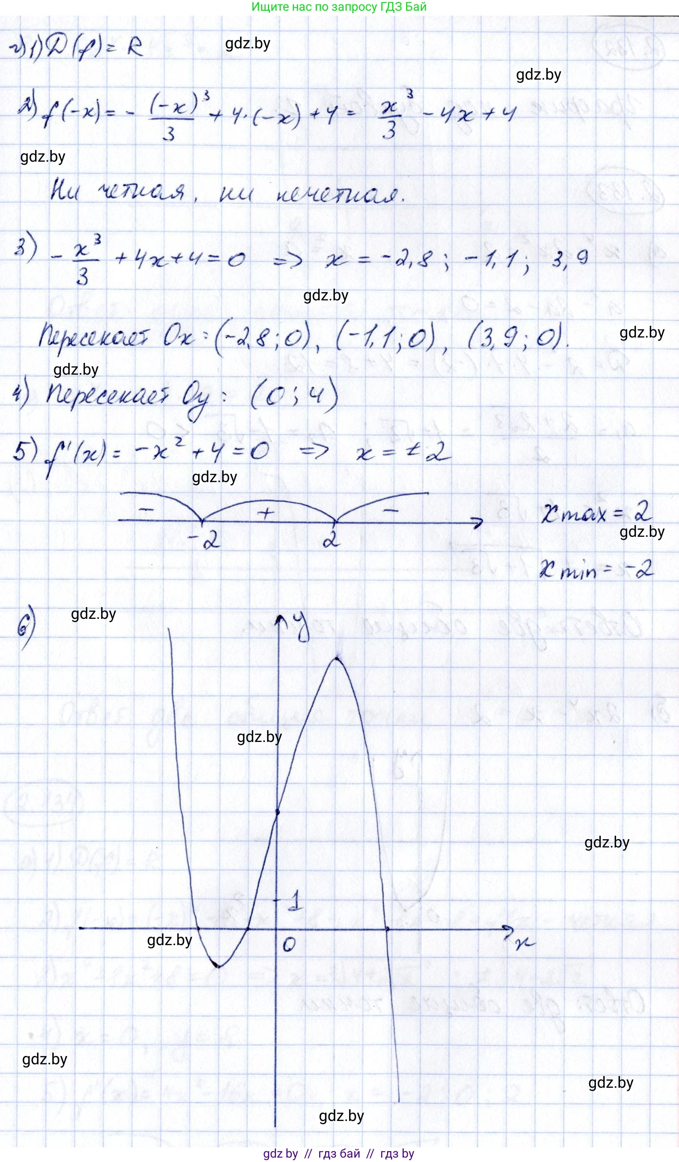
г) $f(x) = -\frac{x^3}{3} + 4x + 4$

1. Область определения: $D(f) = (-\infty, +\infty)$.

2. Четность и периодичность:
$f(-x) = -\frac{(-x)^3}{3} + 4(-x) + 4 = \frac{x^3}{3} - 4x + 4$.
Функция общего вида. Непериодическая.

3. Точки пересечения с осями координат:
- С осью OY: $f(0) = 4$. Точка $(0, 4)$.
- С осью OX: $-\frac{x^3}{3} + 4x + 4 = 0 \implies x^3 - 12x - 12 = 0$.
Это уравнение не имеет простых рациональных корней, их нахождение выходит за рамки стандартного исследования.

4. Промежутки монотонности и точки экстремума:
$f'(x) = -x^2 + 4 = (2-x)(2+x)$.
Критические точки: $x_1 = -2$, $x_2 = 2$.
- На $(-\infty, -2)$: $f'(x) < 0$, функция убывает.
- На $(-2, 2)$: $f'(x) > 0$, функция возрастает.
- На $(2, +\infty)$: $f'(x) < 0$, функция убывает.
$x = -2$ - точка локального минимума. $f_{min} = f(-2) = -\frac{(-2)^3}{3} + 4(-2) + 4 = \frac{8}{3} - 8 + 4 = -\frac{4}{3}$.
$x = 2$ - точка локального максимума. $f_{max} = f(2) = -\frac{2^3}{3} + 4(2) + 4 = -\frac{8}{3} + 12 = \frac{28}{3}$.

5. Промежутки выпуклости/вогнутости и точки перегиба:
$f''(x) = (-x^2 + 4)' = -2x$.
$f''(x) = 0 \implies x = 0$.
- На $(-\infty, 0)$: $f''(x) > 0$, график вогнутый.
- На $(0, +\infty)$: $f''(x) < 0$, график выпуклый.
$x = 0$ - точка перегиба. $f(0) = 4$.

Ответ: Функция исследована. Локальный минимум $f(-2) = -\frac{4}{3} = $ -1$\frac{1}{3}$. Локальный максимум $f(2) = \frac{28}{3} = $ 9$\frac{1}{3}$. Точка перегиба графика $(0, 4)$.

Помогло решение? Оставьте отзыв в комментариях ниже.

Присоединяйтесь к Телеграм-группе @gdz_by_belarus

Присоединиться

Мы подготовили для вас ответ c подробным объяснением домашего задания по алгебре за 10 класс, для упражнения номер 3.131 расположенного на странице 263 к учебнику 2019 года издания для учащихся школ и гимназий.

Теперь на нашем сайте ГДЗ.ТОП вы всегда легко и бесплатно найдёте условие с правильным ответом на вопрос «Как решить ДЗ» и «Как сделать» задание по алгебре к упражнению №3.131 (с. 263), авторов: Арефьева (Ирина Глебовна), Пирютко (Ольга Николаевна), учебного пособия издательства Народная асвета.