Номер 1.146, страница 41 - гдз по алгебре 11 класс учебник Арефьева, Пирютко

Алгебра, 11 класс Учебник, авторы: Арефьева Ирина Глебовна, Пирютко Ольга Николаевна, издательство Народная асвета, Минск, 2020, бирюзового цвета

Авторы: Арефьева И. Г., Пирютко О. Н.

Тип: Учебник

Издательство: Народная асвета

Год издания: 2020 - 2026

Цвет обложки: бирюзовый, зелёный с графиком

ISBN: 978-985-03-3165-6

Популярные ГДЗ в 11 классе

Глава 1. Обобщение понятия степени. Параграф 3. Определение логарифма числа. Основное логарифмическое тождество - номер 1.146, страница 41.

№1.146 (с. 41)
Условие. №1.146 (с. 41)
скриншот условия
Алгебра, 11 класс Учебник, авторы: Арефьева Ирина Глебовна, Пирютко Ольга Николаевна, издательство Народная асвета, Минск, 2020, бирюзового цвета, страница 41, номер 1.146, Условие

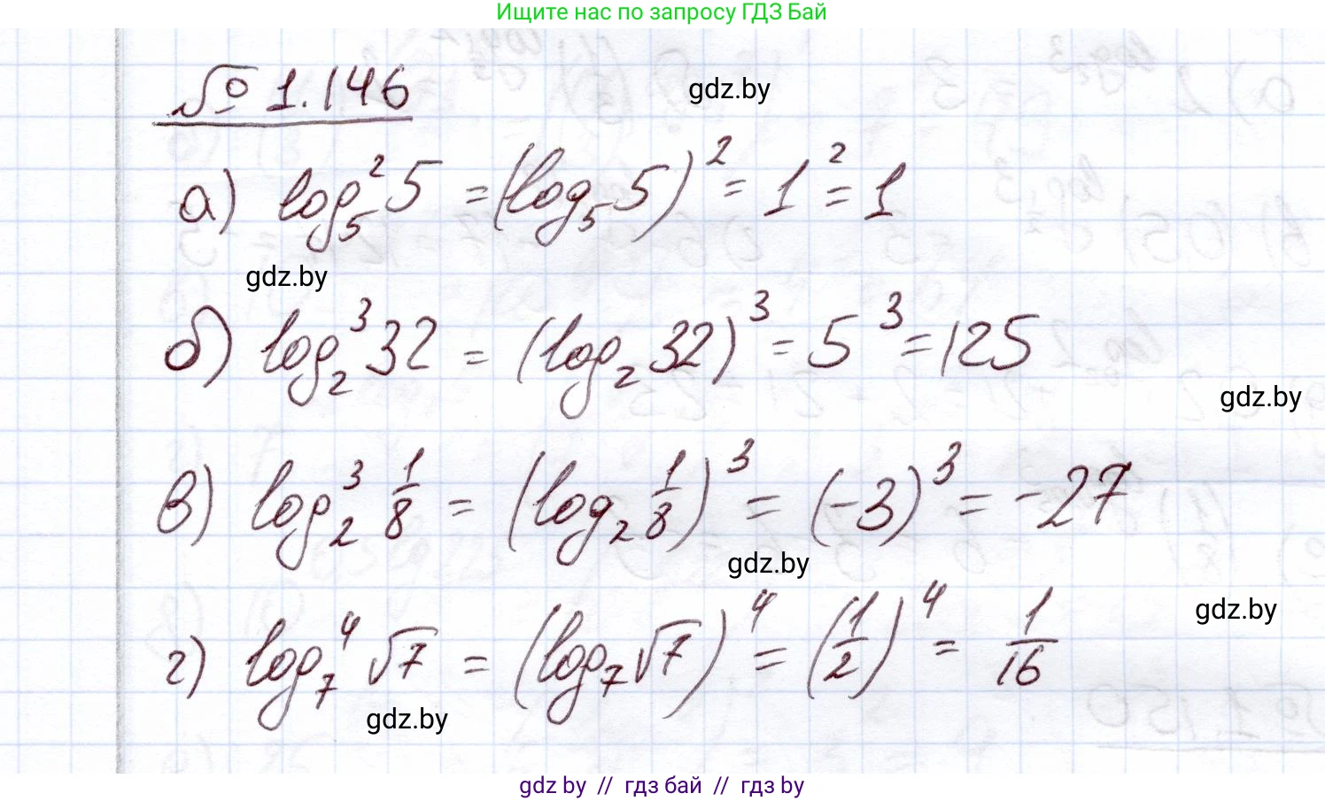
1.146. Вычислите:

a) $ \log_{5}^{2} 5 $;

б) $ \log_{2}^{3} 32 $;

в) $ \log_{2}^{3} \frac{1}{8} $;

г) $ \log_{7}^{4} \sqrt{7} $.

Решение. №1.146 (с. 41)
Алгебра, 11 класс Учебник, авторы: Арефьева Ирина Глебовна, Пирютко Ольга Николаевна, издательство Народная асвета, Минск, 2020, бирюзового цвета, страница 41, номер 1.146, Решение
Решение 2. №1.146 (с. 41)

а) Выражение $\log_5^2 5$ эквивалентно $(\log_5 5)^2$.
Сначала вычислим значение логарифма $\log_5 5$. По определению логарифма, это степень, в которую нужно возвести основание 5, чтобы получить число 5. $$5^1 = 5$$ Следовательно, $\log_5 5 = 1$.
Теперь возведем полученный результат в квадрат: $$(\log_5 5)^2 = 1^2 = 1$$ Ответ: 1

б) Выражение $\log_2^3 32$ эквивалентно $(\log_2 32)^3$.
Сначала вычислим значение логарифма $\log_2 32$. Найдем степень, в которую нужно возвести основание 2, чтобы получить число 32. $$2^5 = 32$$ Следовательно, $\log_2 32 = 5$.
Теперь возведем полученный результат в куб: $$(\log_2 32)^3 = 5^3 = 125$$ Ответ: 125

в) Выражение $\log_2^3 \frac{1}{8}$ эквивалентно $(\log_2 \frac{1}{8})^3$.
Сначала вычислим значение логарифма $\log_2 \frac{1}{8}$. Представим число $\frac{1}{8}$ в виде степени с основанием 2. $$\frac{1}{8} = \frac{1}{2^3} = 2^{-3}$$ Тогда логарифм равен: $$\log_2 \frac{1}{8} = \log_2(2^{-3}) = -3$$ Теперь возведем полученный результат в куб: $$(\log_2 \frac{1}{8})^3 = (-3)^3 = -27$$ Ответ: -27

г) Выражение $\log_7^4 \sqrt{7}$ эквивалентно $(\log_7 \sqrt{7})^4$.
Сначала вычислим значение логарифма $\log_7 \sqrt{7}$. Представим $\sqrt{7}$ в виде степени с основанием 7. $$\sqrt{7} = 7^{\frac{1}{2}}$$ Тогда логарифм равен: $$\log_7 \sqrt{7} = \log_7(7^{\frac{1}{2}}) = \frac{1}{2}$$ Теперь возведем полученный результат в четвертую степень: $$(\log_7 \sqrt{7})^4 = \left(\frac{1}{2}\right)^4 = \frac{1^4}{2^4} = \frac{1}{16}$$ Ответ: $\frac{1}{16}$

Помогло решение? Оставьте отзыв в комментариях ниже.

Присоединяйтесь к Телеграм-группе @gdz_by_belarus

Присоединиться

Мы подготовили для вас ответ c подробным объяснением домашего задания по алгебре за 11 класс, для упражнения номер 1.146 расположенного на странице 41 к учебнику 2020 года издания для учащихся школ и гимназий.

Теперь на нашем сайте ГДЗ.ТОП вы всегда легко и бесплатно найдёте условие с правильным ответом на вопрос «Как решить ДЗ» и «Как сделать» задание по алгебре к упражнению №1.146 (с. 41), авторов: Арефьева (Ирина Глебовна), Пирютко (Ольга Николаевна), учебного пособия издательства Народная асвета.