Номер 1.91, страница 28 - гдз по алгебре 11 класс учебник Арефьева, Пирютко

Алгебра, 11 класс Учебник, авторы: Арефьева Ирина Глебовна, Пирютко Ольга Николаевна, издательство Народная асвета, Минск, 2020, бирюзового цвета

Авторы: Арефьева И. Г., Пирютко О. Н.

Тип: Учебник

Издательство: Народная асвета

Год издания: 2020 - 2026

Цвет обложки: бирюзовый, зелёный с графиком

ISBN: 978-985-03-3165-6

Популярные ГДЗ в 11 классе

Глава 1. Обобщение понятия степени. Параграф 2. Степенная функция и ее свойства - номер 1.91, страница 28.

№1.91 (с. 28)
Условие. №1.91 (с. 28)
скриншот условия
Алгебра, 11 класс Учебник, авторы: Арефьева Ирина Глебовна, Пирютко Ольга Николаевна, издательство Народная асвета, Минск, 2020, бирюзового цвета, страница 28, номер 1.91, Условие

1.91. Найдите область определения функции:

а) $y = (x - 5)^{-7,2}$;

б) $y = (3 - 2x)^{\frac{1}{3}};

в) $y = \left(7 + \frac{x}{2}\right)^{-\frac{1}{5}};

г) $y = (x^2 - 5x + 4)^{1,7};

д) $y = (4x^2 - 9)^{-\sqrt{3}};

е) $y = (5 - x^2)^{\sqrt{6}};

ж) $y = \left(\frac{5x - 1}{x}\right)^{-\frac{3}{4}};

з) $y = \left(\frac{3x^2 - 10x + 3}{x - 2}\right)^{0,9};

и) $y = \left(\frac{9 - x^2}{x + 1}\right)^{-\sqrt{5}}.$

Решение. №1.91 (с. 28)
Алгебра, 11 класс Учебник, авторы: Арефьева Ирина Глебовна, Пирютко Ольга Николаевна, издательство Народная асвета, Минск, 2020, бирюзового цвета, страница 28, номер 1.91, Решение Алгебра, 11 класс Учебник, авторы: Арефьева Ирина Глебовна, Пирютко Ольга Николаевна, издательство Народная асвета, Минск, 2020, бирюзового цвета, страница 28, номер 1.91, Решение (продолжение 2)
Решение 2. №1.91 (с. 28)

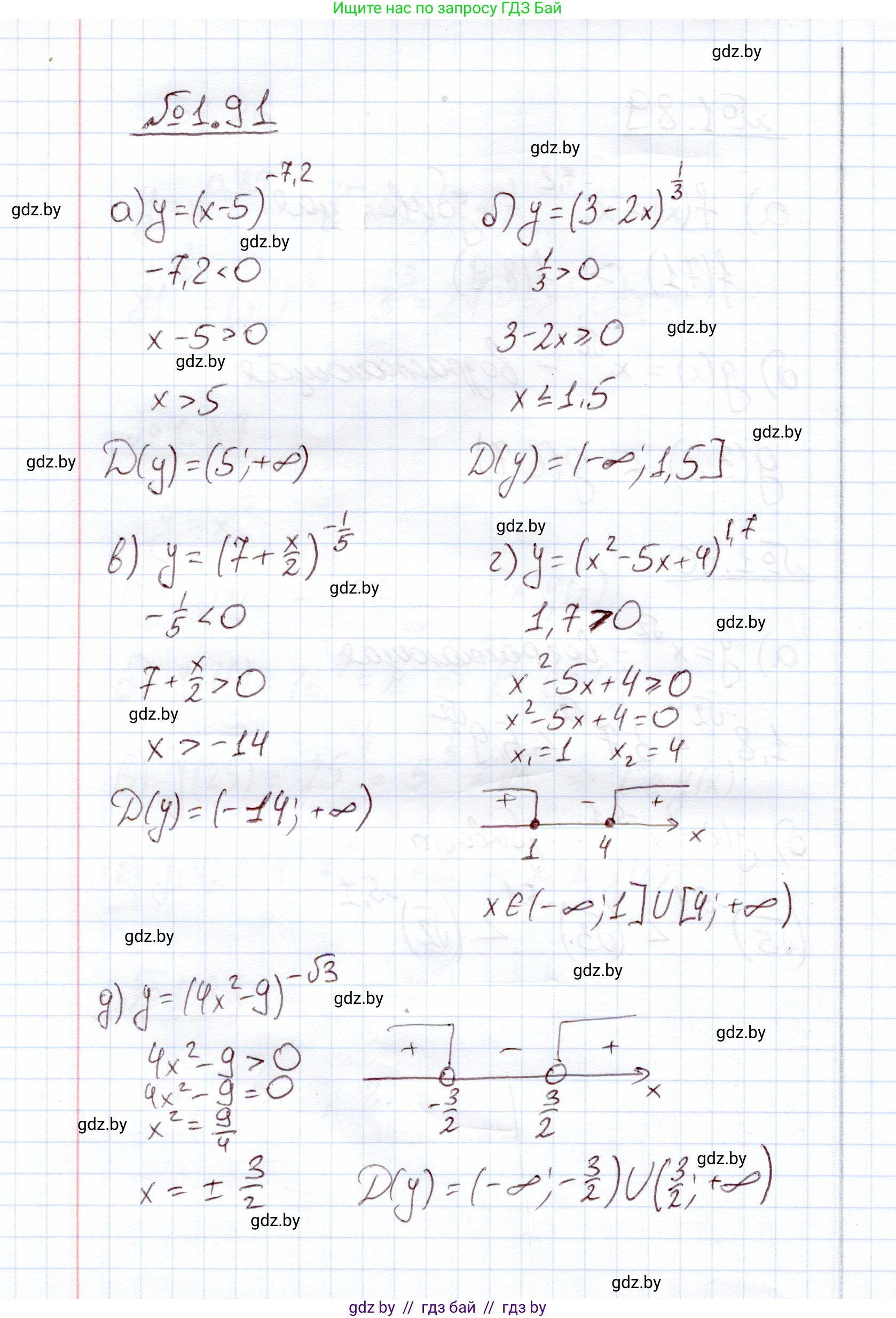
а) Функция $y = (x-5)^{-7,2}$. Показатель степени $a = -7,2 = -72/10 = -36/5$. Это рациональное число, которое можно представить в виде несократимой дроби $p/q$ с нечетным знаменателем ($q=5$). Так как показатель степени отрицательный, то основание степени не должно быть равно нулю. $x-5 \neq 0$ $x \neq 5$ Область определения функции — все действительные числа, кроме 5.
Ответ: $x \in (-\infty; 5) \cup (5; \infty)$

б) Функция $y = (3-2x)^{1/3}$. Показатель степени $a = 1/3$. Это рациональное число с нечетным знаменателем ($q=3$). Корень нечетной степени определен для любого действительного числа в основании. Так как основание $3-2x$ является линейной функцией, которая определена для всех $x$, то и данная функция определена для всех действительных чисел.
Ответ: $x \in (-\infty; \infty)$

в) Функция $y = (7 + \frac{x}{2})^{-\frac{1}{5}}$. Показатель степени $a = -1/5$. Это рациональное число с нечетным знаменателем ($q=5$). Так как показатель отрицательный, основание степени не должно быть равно нулю. $7 + \frac{x}{2} \neq 0$ $\frac{x}{2} \neq -7$ $x \neq -14$
Ответ: $x \in (-\infty; -14) \cup (-14; \infty)$

г) Функция $y = (x^2-5x+4)^{1,7}$. Показатель степени $a = 1,7 = 17/10$. Это рациональное число с четным знаменателем ($q=10$). Для степенной функции с таким показателем основание должно быть неотрицательным. $x^2-5x+4 \ge 0$ Найдем корни квадратного трехчлена $x^2-5x+4=0$. По теореме Виета, корни равны $x_1=1$ и $x_2=4$. Графиком функции $y=x^2-5x+4$ является парабола с ветвями, направленными вверх. Значения функции неотрицательны при $x$ левее меньшего корня и правее большего корня.
Ответ: $x \in (-\infty; 1] \cup [4; \infty)$

д) Функция $y = (4x^2-9)^{-\sqrt{3}}$. Показатель степени $a = -\sqrt{3}$ является иррациональным и отрицательным числом. В этом случае основание степени должно быть строго положительным. $4x^2-9 > 0$ $(2x-3)(2x+3) > 0$ Корни левой части: $x_1 = -3/2, x_2 = 3/2$. Графиком является парабола с ветвями вверх, поэтому неравенство выполняется вне интервала между корнями.
Ответ: $x \in (-\infty; -1,5) \cup (1,5; \infty)$

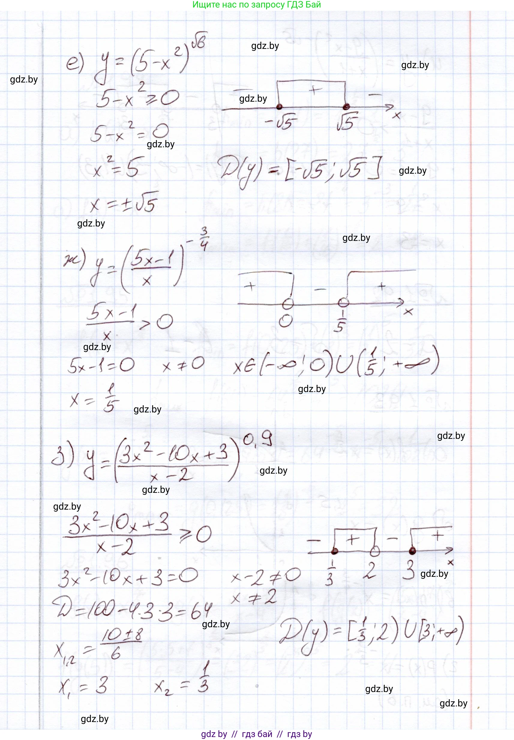
е) Функция $y = (5-x^2)^{\sqrt{6}}$. Показатель степени $a = \sqrt{6}$ является иррациональным и положительным числом. В этом случае основание степени должно быть неотрицательным. $5-x^2 \ge 0$ $x^2 \le 5$ $-\sqrt{5} \le x \le \sqrt{5}$
Ответ: $x \in [-\sqrt{5}; \sqrt{5}]$

ж) Функция $y = (\frac{5x-1}{x})^{-\frac{3}{4}}$. Показатель степени $a = -3/4$ является рациональным с четным знаменателем ($q=4$) и отрицательным. В этом случае основание степени должно быть строго положительным. $\frac{5x-1}{x} > 0$ Решим неравенство методом интервалов. Нуль числителя: $5x-1=0 \implies x=1/5$. Нуль знаменателя: $x=0$. Наносим точки $0$ и $1/5$ на числовую ось и определяем знаки выражения на интервалах $(-\infty; 0)$, $(0; 1/5)$, $(1/5; \infty)$. При $x < 0$, выражение положительно. При $0 < x < 1/5$, выражение отрицательно. При $x > 1/5$, выражение положительно.
Ответ: $x \in (-\infty; 0) \cup (1/5; \infty)$

з) Функция $y = (\frac{3x^2-10x+3}{x-2})^{0,9}$. Показатель степени $a = 0,9 = 9/10$ является рациональным с четным знаменателем ($q=10$) и положительным. Основание степени должно быть неотрицательным. $\frac{3x^2-10x+3}{x-2} \ge 0$ Найдем корни числителя $3x^2-10x+3=0$. Дискриминант $D = (-10)^2 - 4 \cdot 3 \cdot 3 = 100 - 36 = 64$. Корни $x_{1,2} = \frac{10 \pm \sqrt{64}}{6}$, то есть $x_1 = \frac{18}{6}=3$ и $x_2 = \frac{2}{6}=1/3$. Неравенство можно записать в виде $\frac{3(x-1/3)(x-3)}{x-2} \ge 0$. Решаем методом интервалов с точками $1/3, 2, 3$. На интервале $(-\infty, 1/3]$ выражение $\le 0$. На интервале $[1/3, 2)$ выражение $\ge 0$. На интервале $(2, 3]$ выражение $\le 0$. На интервале $[3, \infty)$ выражение $\ge 0$. Точка $x=2$ исключается, так как знаменатель обращается в ноль. Точки $1/3$ и $3$ включаются.
Ответ: $x \in [1/3; 2) \cup [3; \infty)$

и) Функция $y = (\frac{9-x^2}{x+1})^{-\sqrt{5}}$. Показатель степени $a = -\sqrt{5}$ является иррациональным и отрицательным. Основание степени должно быть строго положительным. $\frac{9-x^2}{x+1} > 0$ $\frac{(3-x)(3+x)}{x+1} > 0$ Решаем методом интервалов с точками $-3, -1, 3$. На интервале $(-\infty, -3)$ выражение положительно. На интервале $(-3, -1)$ выражение отрицательно. На интервале $(-1, 3)$ выражение положительно. На интервале $(3, \infty)$ выражение отрицательно. Так как неравенство строгое, граничные точки не включаются.
Ответ: $x \in (-\infty; -3) \cup (-1; 3)$

Помогло решение? Оставьте отзыв в комментариях ниже.

Присоединяйтесь к Телеграм-группе @gdz_by_belarus

Присоединиться

Мы подготовили для вас ответ c подробным объяснением домашего задания по алгебре за 11 класс, для упражнения номер 1.91 расположенного на странице 28 к учебнику 2020 года издания для учащихся школ и гимназий.

Теперь на нашем сайте ГДЗ.ТОП вы всегда легко и бесплатно найдёте условие с правильным ответом на вопрос «Как решить ДЗ» и «Как сделать» задание по алгебре к упражнению №1.91 (с. 28), авторов: Арефьева (Ирина Глебовна), Пирютко (Ольга Николаевна), учебного пособия издательства Народная асвета.