Номер 1.168, страница 43 - гдз по алгебре 11 класс учебник Арефьева, Пирютко

Алгебра, 11 класс Учебник, авторы: Арефьева Ирина Глебовна, Пирютко Ольга Николаевна, издательство Народная асвета, Минск, 2020, бирюзового цвета

Авторы: Арефьева И. Г., Пирютко О. Н.

Тип: Учебник

Издательство: Народная асвета

Год издания: 2020 - 2026

Цвет обложки: бирюзовый, зелёный с графиком

ISBN: 978-985-03-3165-6

Популярные ГДЗ в 11 классе

Глава 1. Обобщение понятия степени. Параграф 3. Определение логарифма числа. Основное логарифмическое тождество - номер 1.168, страница 43.

№1.168 (с. 43)
Условие. №1.168 (с. 43)
скриншот условия
Алгебра, 11 класс Учебник, авторы: Арефьева Ирина Глебовна, Пирютко Ольга Николаевна, издательство Народная асвета, Минск, 2020, бирюзового цвета, страница 43, номер 1.168, Условие

1.168. Найдите все корни уравнения:

a) $cos(2x + \frac{\pi}{4}) = -\frac{1}{2};$

б) $\cos^2 x - 3\sin x - 3 = 0;$

В) $\sin(2x + \frac{\pi}{3})\cos x - \cos(2x + \frac{\pi}{3})\sin x = \frac{\sqrt{3}}{2}.$

Решение. №1.168 (с. 43)
Алгебра, 11 класс Учебник, авторы: Арефьева Ирина Глебовна, Пирютко Ольга Николаевна, издательство Народная асвета, Минск, 2020, бирюзового цвета, страница 43, номер 1.168, Решение Алгебра, 11 класс Учебник, авторы: Арефьева Ирина Глебовна, Пирютко Ольга Николаевна, издательство Народная асвета, Минск, 2020, бирюзового цвета, страница 43, номер 1.168, Решение (продолжение 2)
Решение 2. №1.168 (с. 43)

а) $cos(2x + \frac{\pi}{4}) = -\frac{1}{2}$

Это простейшее тригонометрическое уравнение. Решение для уравнения вида $cos(y) = a$ записывается как $y = \pm arccos(a) + 2\pi n$, где $n \in Z$.

В нашем случае аргумент $y = 2x + \frac{\pi}{4}$, а значение $a = -\frac{1}{2}$.

Найдем значение арккосинуса: $arccos(-\frac{1}{2}) = \pi - arccos(\frac{1}{2}) = \pi - \frac{\pi}{3} = \frac{2\pi}{3}$.

Теперь подставим это в общую формулу решения:

$2x + \frac{\pi}{4} = \pm \frac{2\pi}{3} + 2\pi n, n \in Z$.

Чтобы найти $x$, нужно рассмотреть два случая.

1. Случай со знаком "+":

$2x + \frac{\pi}{4} = \frac{2\pi}{3} + 2\pi n$

$2x = \frac{2\pi}{3} - \frac{\pi}{4} + 2\pi n$

$2x = \frac{8\pi - 3\pi}{12} + 2\pi n$

$2x = \frac{5\pi}{12} + 2\pi n$

$x = \frac{5\pi}{24} + \pi n, n \in Z$.

2. Случай со знаком "-":

$2x + \frac{\pi}{4} = -\frac{2\pi}{3} + 2\pi n$

$2x = -\frac{2\pi}{3} - \frac{\pi}{4} + 2\pi n$

$2x = \frac{-8\pi - 3\pi}{12} + 2\pi n$

$2x = -\frac{11\pi}{12} + 2\pi n$

$x = -\frac{11\pi}{24} + \pi n, n \in Z$.

Ответ: $x = \frac{5\pi}{24} + \pi n, x = -\frac{11\pi}{24} + \pi n$, где $n \in Z$.

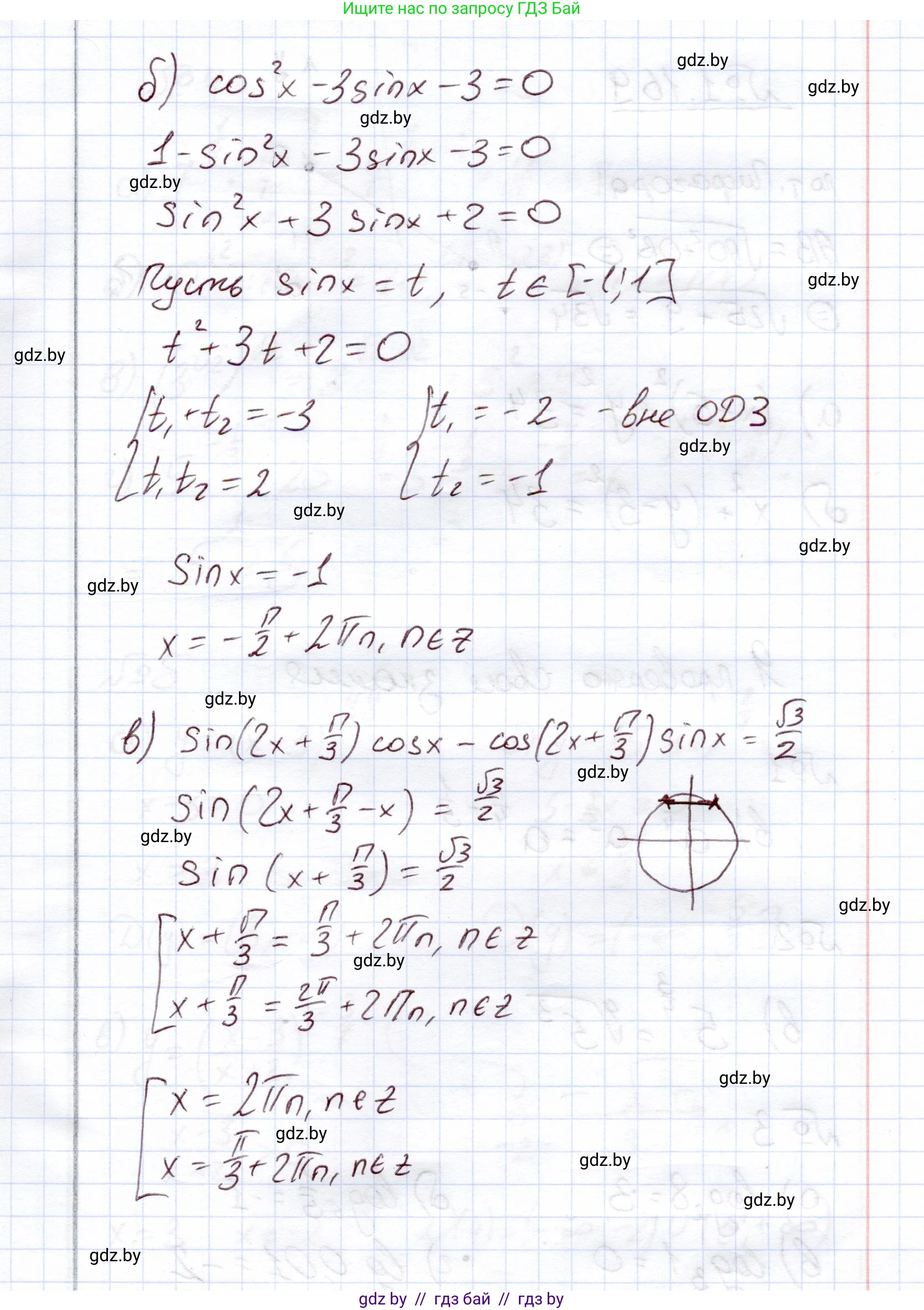
б) $cos^2x - 3sinx - 3 = 0$

Чтобы привести уравнение к одной тригонометрической функции, воспользуемся основным тригонометрическим тождеством $sin^2x + cos^2x = 1$, из которого следует, что $cos^2x = 1 - sin^2x$.

Подставим это выражение в исходное уравнение:

$(1 - sin^2x) - 3sinx - 3 = 0$

$-sin^2x - 3sinx - 2 = 0$

Домножим обе части уравнения на $-1$ для удобства:

$sin^2x + 3sinx + 2 = 0$

Это квадратное уравнение относительно $sinx$. Сделаем замену переменной: пусть $t = sinx$. Учитывая, что область значений синуса $[-1, 1]$, то и $t$ должно принадлежать этому отрезку, т.е. $|t| \le 1$.

Получаем уравнение: $t^2 + 3t + 2 = 0$.

Находим корни этого квадратного уравнения (например, по теореме Виета):

$t_1 + t_2 = -3$

$t_1 \cdot t_2 = 2$

Отсюда $t_1 = -1$ и $t_2 = -2$.

Теперь вернемся к замене:

1. $sinx = -1$. Корень $t_1 = -1$ удовлетворяет условию $|t| \le 1$. Это частный случай, решение которого: $x = -\frac{\pi}{2} + 2\pi n, n \in Z$.

2. $sinx = -2$. Корень $t_2 = -2$ не удовлетворяет условию $|t| \le 1$, так как синус не может быть равен $-2$. Следовательно, это уравнение не имеет решений.

Таким образом, у исходного уравнения есть только одна серия корней.

Ответ: $x = -\frac{\pi}{2} + 2\pi n$, где $n \in Z$.

в) $sin(2x + \frac{\pi}{3})cos x - cos(2x + \frac{\pi}{3})sin x = \frac{\sqrt{3}}{2}$

Заметим, что левая часть уравнения соответствует формуле синуса разности: $sin(\alpha - \beta) = sin\alpha cos\beta - cos\alpha sin\beta$.

В нашем случае $\alpha = 2x + \frac{\pi}{3}$ и $\beta = x$.

Свернем левую часть по этой формуле:

$sin((2x + \frac{\pi}{3}) - x) = \frac{\sqrt{3}}{2}$

$sin(x + \frac{\pi}{3}) = \frac{\sqrt{3}}{2}$

Получили простейшее тригонометрическое уравнение вида $sin(y) = a$. Его общее решение: $y = (-1)^n arcsin(a) + \pi n$, где $n \in Z$.

Здесь $y = x + \frac{\pi}{3}$ и $a = \frac{\sqrt{3}}{2}$. Значение арксинуса: $arcsin(\frac{\sqrt{3}}{2}) = \frac{\pi}{3}$.

Подставляем в общую формулу:

$x + \frac{\pi}{3} = (-1)^n \frac{\pi}{3} + \pi n, n \in Z$.

Выразим $x$:

$x = (-1)^n \frac{\pi}{3} - \frac{\pi}{3} + \pi n, n \in Z$.

Разобьем решение на две серии корней, рассмотрев случаи для четного и нечетного $n$.

1. Пусть $n$ - четное, $n = 2k$, где $k \in Z$. Тогда $(-1)^n = (-1)^{2k} = 1$.

$x = \frac{\pi}{3} - \frac{\pi}{3} + 2\pi k$

$x = 2\pi k, k \in Z$.

2. Пусть $n$ - нечетное, $n = 2k + 1$, где $k \in Z$. Тогда $(-1)^n = (-1)^{2k+1} = -1$.

$x = -\frac{\pi}{3} - \frac{\pi}{3} + \pi(2k+1)$

$x = -\frac{2\pi}{3} + 2\pi k + \pi$

$x = \frac{\pi}{3} + 2\pi k, k \in Z$.

Ответ: $x = 2\pi k$, $x = \frac{\pi}{3} + 2\pi k$, где $k \in Z$.

Помогло решение? Оставьте отзыв в комментариях ниже.

Присоединяйтесь к Телеграм-группе @gdz_by_belarus

Присоединиться

Мы подготовили для вас ответ c подробным объяснением домашего задания по алгебре за 11 класс, для упражнения номер 1.168 расположенного на странице 43 к учебнику 2020 года издания для учащихся школ и гимназий.

Теперь на нашем сайте ГДЗ.ТОП вы всегда легко и бесплатно найдёте условие с правильным ответом на вопрос «Как решить ДЗ» и «Как сделать» задание по алгебре к упражнению №1.168 (с. 43), авторов: Арефьева (Ирина Глебовна), Пирютко (Ольга Николаевна), учебного пособия издательства Народная асвета.