Номер 2.139, страница 77 - гдз по алгебре 11 класс учебник Арефьева, Пирютко

Алгебра, 11 класс Учебник, авторы: Арефьева Ирина Глебовна, Пирютко Ольга Николаевна, издательство Народная асвета, Минск, 2020, бирюзового цвета

Авторы: Арефьева И. Г., Пирютко О. Н.

Тип: Учебник

Издательство: Народная асвета

Год издания: 2020 - 2026

Цвет обложки: бирюзовый, зелёный с графиком

ISBN: 978-985-03-3165-6

Популярные ГДЗ в 11 классе

Глава 2. Показательная функция. Параграф 5. Показательные уравнения - номер 2.139, страница 77.

№2.139 (с. 77)
Условие. №2.139 (с. 77)
скриншот условия
Алгебра, 11 класс Учебник, авторы: Арефьева Ирина Глебовна, Пирютко Ольга Николаевна, издательство Народная асвета, Минск, 2020, бирюзового цвета, страница 77, номер 2.139, Условие

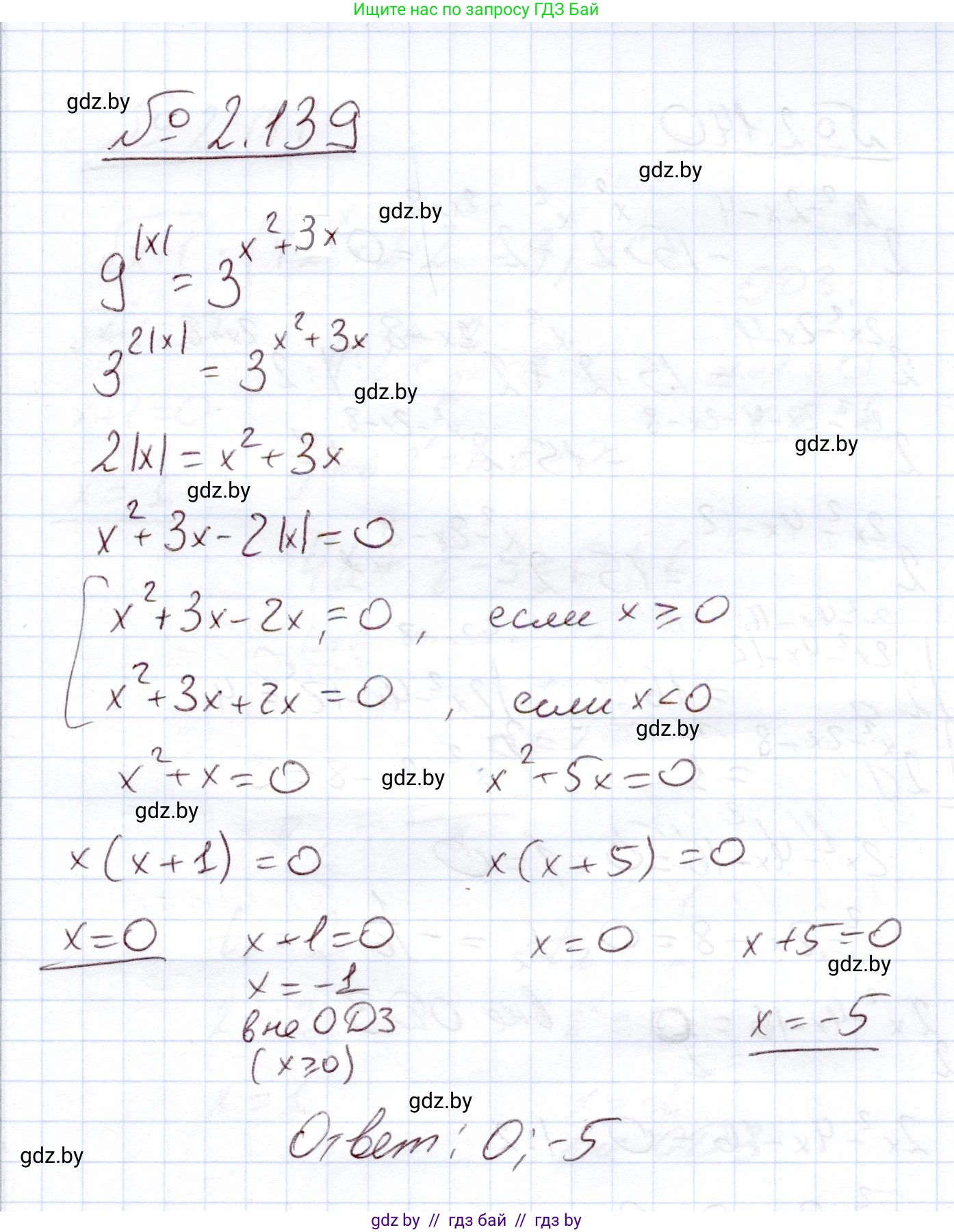
2.139*. Решите уравнение $9^{|x|} = 3^{x^2+3x}$.

Решение. №2.139 (с. 77)
Алгебра, 11 класс Учебник, авторы: Арефьева Ирина Глебовна, Пирютко Ольга Николаевна, издательство Народная асвета, Минск, 2020, бирюзового цвета, страница 77, номер 2.139, Решение
Решение 2. №2.139 (с. 77)

Для решения данного показательного уравнения $9^{|x|} = 3^{x^2+3x}$ необходимо привести обе его части к общему основанию.

Представим число $9$ как степень числа $3$, так как $9 = 3^2$. Подставим это в исходное уравнение:
$(3^2)^{|x|} = 3^{x^2+3x}$

Используя свойство степеней $(a^m)^n = a^{mn}$, мы можем упростить левую часть уравнения:
$3^{2|x|} = 3^{x^2+3x}$

Теперь, когда основания степеней в обеих частях уравнения равны, мы можем приравнять их показатели:
$2|x| = x^2 + 3x$

Для решения этого уравнения с модулем необходимо рассмотреть два случая, в зависимости от знака переменной $x$.

Случай 1: $x \ge 0$
При $x \ge 0$ модуль раскрывается следующим образом: $|x| = x$. Уравнение принимает вид:
$2x = x^2 + 3x$
Перенесем все слагаемые в одну сторону, чтобы получить стандартное квадратное уравнение:
$x^2 + 3x - 2x = 0$
$x^2 + x = 0$
Разложим левую часть на множители, вынеся $x$ за скобки:
$x(x + 1) = 0$
Корни этого уравнения: $x_1 = 0$ и $x_2 = -1$.
Теперь необходимо проверить, удовлетворяют ли найденные корни условию данного случая ($x \ge 0$).
Корень $x_1 = 0$ удовлетворяет условию $0 \ge 0$.
Корень $x_2 = -1$ не удовлетворяет условию $-1 \ge 0$, поэтому он является посторонним.
Таким образом, в данном случае мы получаем один корень: $x = 0$.

Случай 2: $x < 0$
При $x < 0$ модуль раскрывается как $|x| = -x$. Уравнение принимает вид:
$2(-x) = x^2 + 3x$
$-2x = x^2 + 3x$
Перенесем все слагаемые в одну сторону:
$x^2 + 3x + 2x = 0$
$x^2 + 5x = 0$
Разложим левую часть на множители:
$x(x + 5) = 0$
Корни этого уравнения: $x_3 = 0$ и $x_4 = -5$.
Проверим эти корни на соответствие условию $x < 0$.
Корень $x_3 = 0$ не удовлетворяет условию $0 < 0$.
Корень $x_4 = -5$ удовлетворяет условию $-5 < 0$.
Таким образом, в данном случае мы получаем один корень: $x = -5$.

Объединяя решения, полученные в обоих случаях, находим все корни исходного уравнения.
Ответ: $-5; 0$.

Помогло решение? Оставьте отзыв в комментариях ниже.

Присоединяйтесь к Телеграм-группе @gdz_by_belarus

Присоединиться

Мы подготовили для вас ответ c подробным объяснением домашего задания по алгебре за 11 класс, для упражнения номер 2.139 расположенного на странице 77 к учебнику 2020 года издания для учащихся школ и гимназий.

Теперь на нашем сайте ГДЗ.ТОП вы всегда легко и бесплатно найдёте условие с правильным ответом на вопрос «Как решить ДЗ» и «Как сделать» задание по алгебре к упражнению №2.139 (с. 77), авторов: Арефьева (Ирина Глебовна), Пирютко (Ольга Николаевна), учебного пособия издательства Народная асвета.