Номер 2.157, страница 79 - гдз по алгебре 11 класс учебник Арефьева, Пирютко

Алгебра, 11 класс Учебник, авторы: Арефьева Ирина Глебовна, Пирютко Ольга Николаевна, издательство Народная асвета, Минск, 2020, бирюзового цвета

Авторы: Арефьева И. Г., Пирютко О. Н.

Тип: Учебник

Издательство: Народная асвета

Год издания: 2020 - 2026

Цвет обложки: бирюзовый, зелёный с графиком

ISBN: 978-985-03-3165-6

Популярные ГДЗ в 11 классе

Глава 2. Показательная функция. Параграф 5. Показательные уравнения - номер 2.157, страница 79.

№2.157 (с. 79)
Условие. №2.157 (с. 79)
скриншот условия
Алгебра, 11 класс Учебник, авторы: Арефьева Ирина Глебовна, Пирютко Ольга Николаевна, издательство Народная асвета, Минск, 2020, бирюзового цвета, страница 79, номер 2.157, Условие

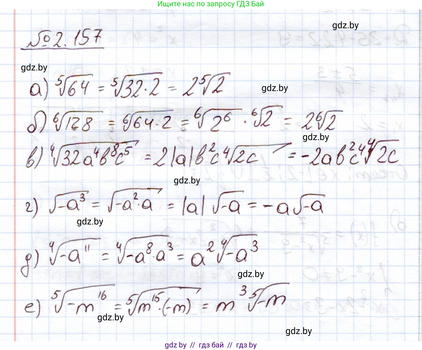
2.157. Вынесите множитель за знак корня:

а) $ \sqrt[5]{64}; $

б) $ \sqrt[6]{128}; $

в) $ \sqrt[4]{32a^4b^8c^5} $ при $ a \leq 0; $

г) $ \sqrt{-a^3}; $

д) $ \sqrt[4]{-a^{11}}; $

е) $ \sqrt[5]{-m^{16}}. $

Решение. №2.157 (с. 79)
Алгебра, 11 класс Учебник, авторы: Арефьева Ирина Глебовна, Пирютко Ольга Николаевна, издательство Народная асвета, Минск, 2020, бирюзового цвета, страница 79, номер 2.157, Решение
Решение 2. №2.157 (с. 79)

а)

Чтобы вынести множитель из-под знака корня, нужно разложить подкоренное выражение на множители так, чтобы один из них был точной пятой степенью.
Разложим число 64 на множители: $64 = 32 \cdot 2 = 2^5 \cdot 2$.
Теперь преобразуем исходное выражение:
$\sqrt[5]{64} = \sqrt[5]{2^5 \cdot 2} = \sqrt[5]{2^5} \cdot \sqrt[5]{2}$
Так как $\sqrt[5]{2^5} = 2$, получаем:
$2 \cdot \sqrt[5]{2} = 2\sqrt[5]{2}$
Ответ: $2\sqrt[5]{2}$

б)

Разложим подкоренное выражение 128 на множители, выделяя множитель, являющийся точной шестой степенью.
$128 = 64 \cdot 2 = 2^6 \cdot 2$.
Преобразуем выражение:
$\sqrt[6]{128} = \sqrt[6]{2^6 \cdot 2} = \sqrt[6]{2^6} \cdot \sqrt[6]{2}$
Так как $\sqrt[6]{2^6} = |2| = 2$, получаем:
$2 \cdot \sqrt[6]{2} = 2\sqrt[6]{2}$
Ответ: $2\sqrt[6]{2}$

в)

Требуется вынести множитель из-под знака корня $\sqrt[4]{32a^4b^8c^5}$ при условии $a \le 0$.
Поскольку корень четной степени (4), подкоренное выражение должно быть неотрицательным: $32a^4b^8c^5 \ge 0$. Так как $32 > 0$, $a^4 \ge 0$ и $b^8 = (b^4)^2 \ge 0$, то для выполнения этого условия необходимо, чтобы $c^5 \ge 0$, что означает $c \ge 0$.
Разложим подкоренное выражение на множители, выделяя те, что являются точными четвертыми степенями:
$32a^4b^8c^5 = (16 \cdot 2) \cdot a^4 \cdot (b^2)^4 \cdot (c^4 \cdot c) = (2^4 \cdot a^4 \cdot (b^2)^4 \cdot c^4) \cdot (2c)$
Теперь извлечем корень:
$\sqrt[4]{(2^4 \cdot a^4 \cdot (b^2)^4 \cdot c^4) \cdot (2c)} = \sqrt[4]{2^4} \cdot \sqrt[4]{a^4} \cdot \sqrt[4]{(b^2)^4} \cdot \sqrt[4]{c^4} \cdot \sqrt[4]{2c}$
При извлечении корня четной степени из выражения в четной степени используется модуль: $\sqrt[n]{x^n} = |x|$ для четного $n$.
$|2| \cdot |a| \cdot |b^2| \cdot |c| \cdot \sqrt[4]{2c} = 2|a|b^2|c|\sqrt[4]{2c}$ (поскольку $b^2$ всегда неотрицательно, $|b^2| = b^2$).
Используем условия: $a \le 0 \implies |a| = -a$; $c \ge 0 \implies |c| = c$.
Подставляем: $2(-a)b^2c\sqrt[4]{2c} = -2ab^2c\sqrt[4]{2c}$.
Ответ: $-2ab^2c\sqrt[4]{2c}$

г)

Для того чтобы выражение $\sqrt{-a^3}$ имело смысл, подкоренное выражение должно быть неотрицательным: $-a^3 \ge 0 \implies a^3 \le 0 \implies a \le 0$.
Представим подкоренное выражение в виде произведения: $-a^3 = a^2 \cdot (-a)$.
$\sqrt{-a^3} = \sqrt{a^2 \cdot (-a)} = \sqrt{a^2} \cdot \sqrt{-a}$
Поскольку корень квадратный (четной степени), $\sqrt{a^2} = |a|$.
Выражение принимает вид: $|a|\sqrt{-a}$.
Так как мы установили, что $a \le 0$, то $|a| = -a$.
Следовательно, $|a|\sqrt{-a} = -a\sqrt{-a}$.
Ответ: $-a\sqrt{-a}$

д)

Для того чтобы выражение $\sqrt[4]{-a^{11}}$ имело смысл, подкоренное выражение должно быть неотрицательным: $-a^{11} \ge 0 \implies a^{11} \le 0 \implies a \le 0$.
Разложим подкоренное выражение, выделяя множитель в четвертой степени:
$-a^{11} = a^8 \cdot (-a^3)$. Заметим, что $-a^3 \ge 0$, так как $a \le 0$.
$\sqrt[4]{-a^{11}} = \sqrt[4]{a^8 \cdot (-a^3)} = \sqrt[4]{(a^2)^4 \cdot (-a^3)} = \sqrt[4]{(a^2)^4} \cdot \sqrt[4]{-a^3}$
Извлекаем корень из первого множителя: $\sqrt[4]{(a^2)^4} = |a^2| = a^2$.
Получаем: $a^2\sqrt[4]{-a^3}$.
Ответ: $a^2\sqrt[4]{-a^3}$

е)

Поскольку корень нечетной степени (5), подкоренное выражение $\sqrt[5]{-m^{16}}$ определено для любых действительных значений $m$.
Разложим подкоренное выражение на множители, выделяя множитель в пятой степени:
$-m^{16} = -1 \cdot m^{15} \cdot m = (-1) \cdot (m^3)^5 \cdot m$.
$\sqrt[5]{-m^{16}} = \sqrt[5]{(-1) \cdot (m^3)^5 \cdot m} = \sqrt[5]{-1} \cdot \sqrt[5]{(m^3)^5} \cdot \sqrt[5]{m}$
Извлекаем корень из множителей: $\sqrt[5]{-1} = -1$ и $\sqrt[5]{(m^3)^5} = m^3$ (для нечетной степени $\sqrt[n]{x^n} = x$).
Собираем выражение: $-1 \cdot m^3 \cdot \sqrt[5]{m} = -m^3\sqrt[5]{m}$.
Ответ: $-m^3\sqrt[5]{m}$

Помогло решение? Оставьте отзыв в комментариях ниже.

Присоединяйтесь к Телеграм-группе @gdz_by_belarus

Присоединиться

Мы подготовили для вас ответ c подробным объяснением домашего задания по алгебре за 11 класс, для упражнения номер 2.157 расположенного на странице 79 к учебнику 2020 года издания для учащихся школ и гимназий.

Теперь на нашем сайте ГДЗ.ТОП вы всегда легко и бесплатно найдёте условие с правильным ответом на вопрос «Как решить ДЗ» и «Как сделать» задание по алгебре к упражнению №2.157 (с. 79), авторов: Арефьева (Ирина Глебовна), Пирютко (Ольга Николаевна), учебного пособия издательства Народная асвета.