Номер 2.168, страница 90 - гдз по алгебре 11 класс учебник Арефьева, Пирютко

Алгебра, 11 класс Учебник, авторы: Арефьева Ирина Глебовна, Пирютко Ольга Николаевна, издательство Народная асвета, Минск, 2020, бирюзового цвета

Авторы: Арефьева И. Г., Пирютко О. Н.

Тип: Учебник

Издательство: Народная асвета

Год издания: 2020 - 2026

Цвет обложки: бирюзовый, зелёный с графиком

ISBN: 978-985-03-3165-6

Популярные ГДЗ в 11 классе

Глава 2. Показательная функция. Параграф 6. Показательные неравенства - номер 2.168, страница 90.

№2.168 (с. 90)
Условие. №2.168 (с. 90)
скриншот условия
Алгебра, 11 класс Учебник, авторы: Арефьева Ирина Глебовна, Пирютко Ольга Николаевна, издательство Народная асвета, Минск, 2020, бирюзового цвета, страница 90, номер 2.168, Условие

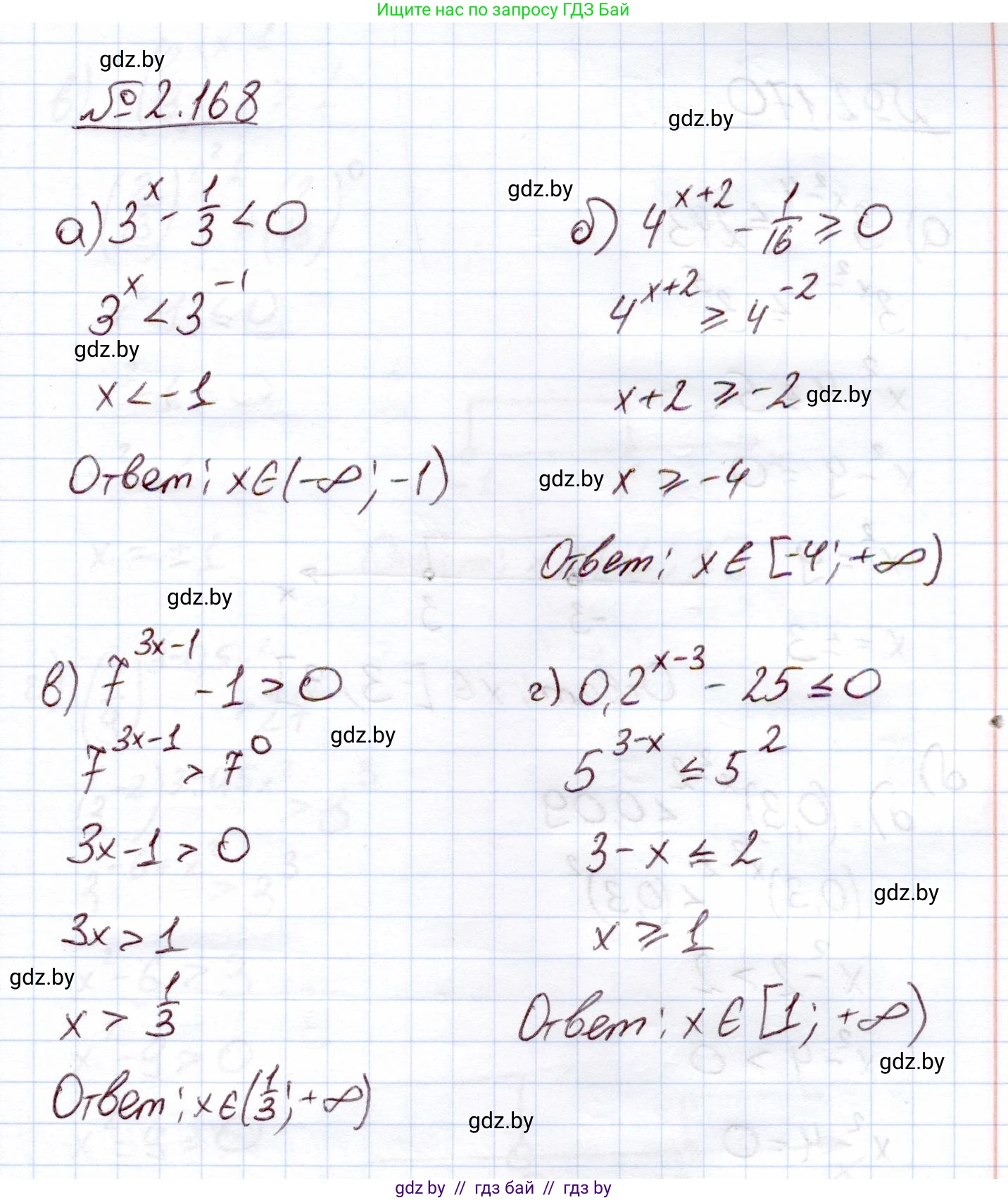
2.168. Определите вид неравенства и решите его:

а) $3^x - \frac{1}{3} < 0;$

б) $4^{x+2} - \frac{1}{16} \ge 0;$

в) $7^{3x-1} - 1 > 0;$

г) $0.2^{x-3} - 25 \le 0.$

Решение. №2.168 (с. 90)
Алгебра, 11 класс Учебник, авторы: Арефьева Ирина Глебовна, Пирютко Ольга Николаевна, издательство Народная асвета, Минск, 2020, бирюзового цвета, страница 90, номер 2.168, Решение
Решение 2. №2.168 (с. 90)

Все представленные в задаче неравенства являются показательными, так как неизвестная величина $x$ находится в показателе степени. Общий метод их решения — приведение обеих частей неравенства к одному основанию и последующий переход к неравенству для показателей.

а) $3^x - \frac{1}{3} < 0$

Перенесем свободный член в правую часть неравенства:

$3^x < \frac{1}{3}$

Представим правую часть в виде степени с основанием 3, используя свойство $a^{-n} = \frac{1}{a^n}$:

$\frac{1}{3} = 3^{-1}$

Неравенство принимает вид:

$3^x < 3^{-1}$

Поскольку основание степени $a=3$ больше 1 ($3>1$), показательная функция $y=3^x$ является возрастающей. Это значит, что большему значению функции соответствует большее значение аргумента, поэтому знак неравенства для показателей сохраняется:

$x < -1$

Ответ: $x \in (-\infty, -1)$.

б) $4^{x+2} - \frac{1}{16} \ge 0$

Перенесем свободный член в правую часть:

$4^{x+2} \ge \frac{1}{16}$

Представим правую часть в виде степени с основанием 4:

$\frac{1}{16} = \frac{1}{4^2} = 4^{-2}$

Неравенство принимает вид:

$4^{x+2} \ge 4^{-2}$

Основание $a=4$ больше 1 ($4>1$), поэтому функция $y=4^x$ возрастающая. Знак неравенства для показателей сохраняется:

$x+2 \ge -2$

$x \ge -2 - 2$

$x \ge -4$

Ответ: $x \in [-4, +\infty)$.

в) $7^{3x-1} - 1 > 0$

Перенесем свободный член в правую часть:

$7^{3x-1} > 1$

Представим 1 как степень с основанием 7, используя свойство $a^0=1$:

$1 = 7^0$

Неравенство принимает вид:

$7^{3x-1} > 7^0$

Основание $a=7$ больше 1 ($7>1$), функция $y=7^x$ возрастающая. Знак неравенства для показателей сохраняется:

$3x-1 > 0$

$3x > 1$

$x > \frac{1}{3}$

Ответ: $x \in (\frac{1}{3}, +\infty)$.

г) $0.2^{x-3} - 25 \le 0$

Перенесем свободный член в правую часть:

$0.2^{x-3} \le 25$

Для решения приведем обе части к одному основанию. Можно выбрать основание 5. Для этого представим $0.2$ и $25$ как степени пятерки:

$0.2 = \frac{2}{10} = \frac{1}{5} = 5^{-1}$

$25 = 5^2$

Подставив в исходное неравенство, получаем:

$(5^{-1})^{x-3} \le 5^2$

Используя свойство степеней $(a^m)^n = a^{mn}$, упростим левую часть:

$5^{-(x-3)} \le 5^2$

$5^{-x+3} \le 5^2$

Так как основание $a=5$ больше 1 ($5>1$), функция $y=5^x$ возрастающая. Знак неравенства для показателей сохраняется:

$-x+3 \le 2$

$-x \le 2 - 3$

$-x \le -1$

Умножим обе части на -1, при этом знак неравенства меняется на противоположный:

$x \ge 1$

Ответ: $x \in [1, +\infty)$.

Помогло решение? Оставьте отзыв в комментариях ниже.

Присоединяйтесь к Телеграм-группе @gdz_by_belarus

Присоединиться

Мы подготовили для вас ответ c подробным объяснением домашего задания по алгебре за 11 класс, для упражнения номер 2.168 расположенного на странице 90 к учебнику 2020 года издания для учащихся школ и гимназий.

Теперь на нашем сайте ГДЗ.ТОП вы всегда легко и бесплатно найдёте условие с правильным ответом на вопрос «Как решить ДЗ» и «Как сделать» задание по алгебре к упражнению №2.168 (с. 90), авторов: Арефьева (Ирина Глебовна), Пирютко (Ольга Николаевна), учебного пособия издательства Народная асвета.