Номер 2.178, страница 91 - гдз по алгебре 11 класс учебник Арефьева, Пирютко

Алгебра, 11 класс Учебник, авторы: Арефьева Ирина Глебовна, Пирютко Ольга Николаевна, издательство Народная асвета, Минск, 2020, бирюзового цвета

Авторы: Арефьева И. Г., Пирютко О. Н.

Тип: Учебник

Издательство: Народная асвета

Год издания: 2020 - 2026

Цвет обложки: бирюзовый, зелёный с графиком

ISBN: 978-985-03-3165-6

Популярные ГДЗ в 11 классе

Глава 2. Показательная функция. Параграф 6. Показательные неравенства - номер 2.178, страница 91.

№2.178 (с. 91)
Условие. №2.178 (с. 91)
скриншот условия
Алгебра, 11 класс Учебник, авторы: Арефьева Ирина Глебовна, Пирютко Ольга Николаевна, издательство Народная асвета, Минск, 2020, бирюзового цвета, страница 91, номер 2.178, Условие

2.178. Решите неравенство:

а) $4^x - 2^{x+1} - 8 < 0;$

б) $9^{\frac{x}{2}} - 12 \cdot 3^{\frac{x}{2}} + 27 \ge 0;$

в) $5 \cdot 25^{x-1} - 1 < 20 \cdot 5^{x-2};$

г) $4^x < 2^{x+1} + 3.$

Решение. №2.178 (с. 91)
Алгебра, 11 класс Учебник, авторы: Арефьева Ирина Глебовна, Пирютко Ольга Николаевна, издательство Народная асвета, Минск, 2020, бирюзового цвета, страница 91, номер 2.178, Решение Алгебра, 11 класс Учебник, авторы: Арефьева Ирина Глебовна, Пирютко Ольга Николаевна, издательство Народная асвета, Минск, 2020, бирюзового цвета, страница 91, номер 2.178, Решение (продолжение 2)
Решение 2. №2.178 (с. 91)

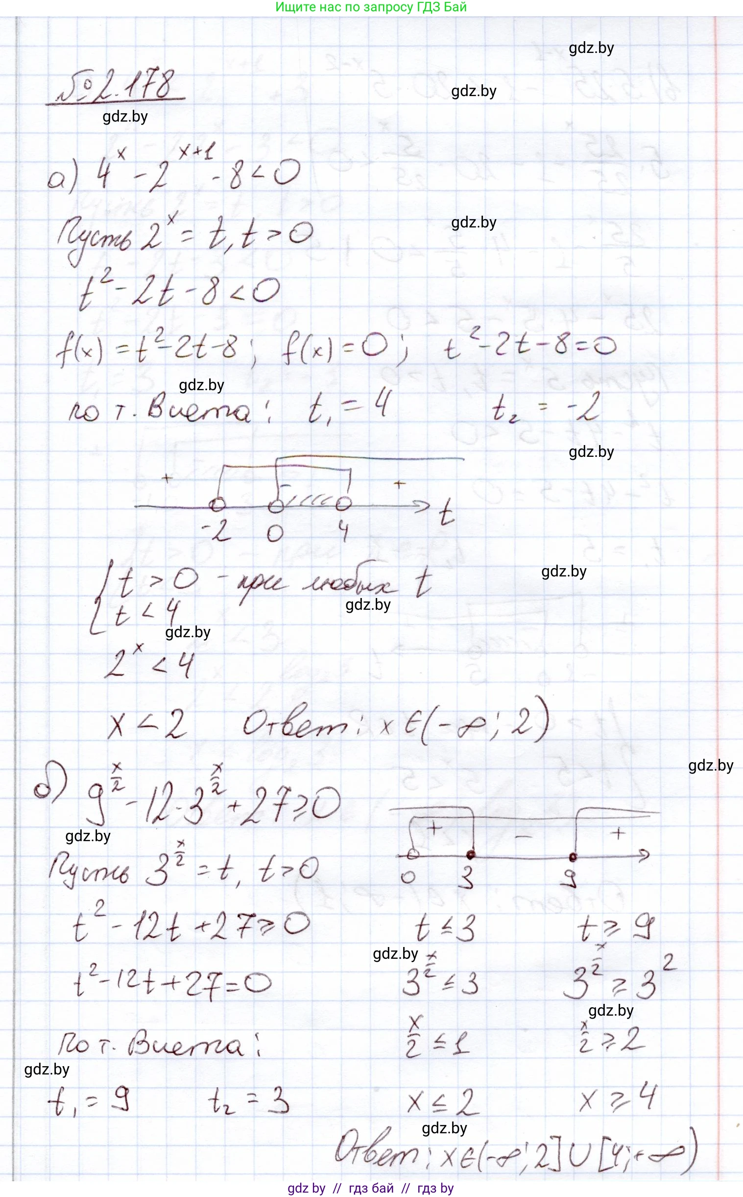
а) $4^x - 2^{x+1} - 8 < 0$

Перепишем неравенство, приведя все степени к основанию 2. Мы знаем, что $4^x = (2^2)^x = 2^{2x} = (2^x)^2$ и $2^{x+1} = 2^x \cdot 2^1$.

$(2^x)^2 - 2 \cdot 2^x - 8 < 0$

Сделаем замену переменной. Пусть $t = 2^x$. Так как показательная функция всегда принимает только положительные значения, то $t > 0$.

Получим квадратное неравенство относительно $t$:

$t^2 - 2t - 8 < 0$

Найдем корни соответствующего квадратного уравнения $t^2 - 2t - 8 = 0$. Используя теорему Виета или формулу для корней квадратного уравнения, находим корни $t_1 = -2$ и $t_2 = 4$.

Так как ветви параболы $y = t^2 - 2t - 8$ направлены вверх, решением неравенства $t^2 - 2t - 8 < 0$ является интервал между корнями, то есть $-2 < t < 4$.

Теперь учтем ограничение $t > 0$. Находим пересечение множеств $(-2; 4)$ и $(0; +\infty)$, что дает нам $0 < t < 4$.

Вернемся к исходной переменной $x$, выполнив обратную замену $t = 2^x$:

$0 < 2^x < 4$

Неравенство $2^x > 0$ выполняется для любого действительного $x$. Решим неравенство $2^x < 4$.

$2^x < 2^2$

Так как основание степени $2 > 1$, то при переходе к неравенству для показателей знак неравенства сохраняется:

$x < 2$

Ответ: $x \in (-\infty; 2)$.

б) $9^{\frac{x}{2}} - 12 \cdot 3^{\frac{x}{2}} + 27 \ge 0$

Приведем все степени к одному основанию 3. Заметим, что $9^{\frac{x}{2}} = (3^2)^{\frac{x}{2}} = 3^{2 \cdot \frac{x}{2}} = 3^x$. Также $3^x = (3^{\frac{x}{2}})^2$.

Неравенство принимает вид:

$(3^{\frac{x}{2}})^2 - 12 \cdot 3^{\frac{x}{2}} + 27 \ge 0$

Сделаем замену. Пусть $t = 3^{\frac{x}{2}}$, при этом $t > 0$.

Получаем квадратное неравенство:

$t^2 - 12t + 27 \ge 0$

Находим корни уравнения $t^2 - 12t + 27 = 0$. По теореме Виета, корни $t_1 = 3$ и $t_2 = 9$.

Ветви параболы $y = t^2 - 12t + 27$ направлены вверх, поэтому решением неравенства является объединение промежутков: $t \le 3$ или $t \ge 9$.

Оба этих промежутка удовлетворяют условию $t > 0$. Таким образом, получаем совокупность неравенств для $t$: $0 < t \le 3$ или $t \ge 9$.

Выполняем обратную замену:

1) $3^{\frac{x}{2}} \le 3$. Так как $3 = 3^1$ и основание $3 > 1$, то $\frac{x}{2} \le 1$, откуда $x \le 2$.

2) $3^{\frac{x}{2}} \ge 9$. Так как $9 = 3^2$ и основание $3 > 1$, то $\frac{x}{2} \ge 2$, откуда $x \ge 4$.

Объединяя полученные решения, получаем ответ.

Ответ: $x \in (-\infty; 2] \cup [4; +\infty)$.

в) $5 \cdot 25^{x-1} - 1 < 20 \cdot 5^{x-2}$

Преобразуем неравенство, приведя все степени к основанию 5:

$5 \cdot (5^2)^{x-1} - 1 < 20 \cdot 5^{x-2}$

$5^1 \cdot 5^{2(x-1)} - 1 < (4 \cdot 5) \cdot 5^{x-2}$

$5^{1+2x-2} - 1 < 4 \cdot 5^{1+x-2}$

$5^{2x-1} - 1 < 4 \cdot 5^{x-1}$

Чтобы упростить замену, выразим все через $5^x$.

$\frac{5^{2x}}{5} - 1 < 4 \cdot \frac{5^x}{5}$

Умножим обе части неравенства на 5:

$(5^x)^2 - 5 < 4 \cdot 5^x$

$(5^x)^2 - 4 \cdot 5^x - 5 < 0$

Сделаем замену $t = 5^x$, где $t > 0$.

$t^2 - 4t - 5 < 0$

Находим корни уравнения $t^2 - 4t - 5 = 0$. Корни равны $t_1 = -1$ и $t_2 = 5$.

Решением квадратного неравенства является интервал $-1 < t < 5$.

Учитывая условие $t > 0$, получаем $0 < t < 5$.

Возвращаемся к переменной $x$:

$0 < 5^x < 5$

Так как $5 = 5^1$ и основание $5 > 1$, получаем $x < 1$.

Ответ: $x \in (-\infty; 1)$.

г) $4^x < 2^{x+1} + 3$

Приведем все степени к основанию 2:

$(2^2)^x < 2^x \cdot 2^1 + 3$

$(2^x)^2 - 2 \cdot 2^x - 3 < 0$

Пусть $t = 2^x$, где $t > 0$.

Получаем неравенство $t^2 - 2t - 3 < 0$.

Находим корни уравнения $t^2 - 2t - 3 = 0$. Корни равны $t_1 = -1$ и $t_2 = 3$.

Решением неравенства является интервал $-1 < t < 3$.

С учетом ограничения $t > 0$, получаем $0 < t < 3$.

Выполняем обратную замену:

$0 < 2^x < 3$

Неравенство $2^x > 0$ верно для всех $x$. Решим неравенство $2^x < 3$.

Прологарифмируем обе части по основанию 2. Так как основание логарифма $2 > 1$, знак неравенства сохраняется:

$\log_2(2^x) < \log_2(3)$

$x < \log_2(3)$

Ответ: $x \in (-\infty; \log_2(3))$.

Помогло решение? Оставьте отзыв в комментариях ниже.

Присоединяйтесь к Телеграм-группе @gdz_by_belarus

Присоединиться

Мы подготовили для вас ответ c подробным объяснением домашего задания по алгебре за 11 класс, для упражнения номер 2.178 расположенного на странице 91 к учебнику 2020 года издания для учащихся школ и гимназий.

Теперь на нашем сайте ГДЗ.ТОП вы всегда легко и бесплатно найдёте условие с правильным ответом на вопрос «Как решить ДЗ» и «Как сделать» задание по алгебре к упражнению №2.178 (с. 91), авторов: Арефьева (Ирина Глебовна), Пирютко (Ольга Николаевна), учебного пособия издательства Народная асвета.