Номер 2.191, страница 92 - гдз по алгебре 11 класс учебник Арефьева, Пирютко

Алгебра, 11 класс Учебник, авторы: Арефьева Ирина Глебовна, Пирютко Ольга Николаевна, издательство Народная асвета, Минск, 2020, бирюзового цвета

Авторы: Арефьева И. Г., Пирютко О. Н.

Тип: Учебник

Издательство: Народная асвета

Год издания: 2020 - 2026

Цвет обложки: бирюзовый, зелёный с графиком

ISBN: 978-985-03-3165-6

Популярные ГДЗ в 11 классе

Глава 2. Показательная функция. Параграф 6. Показательные неравенства - номер 2.191, страница 92.

№2.191 (с. 92)
Условие. №2.191 (с. 92)
скриншот условия
Алгебра, 11 класс Учебник, авторы: Арефьева Ирина Глебовна, Пирютко Ольга Николаевна, издательство Народная асвета, Минск, 2020, бирюзового цвета, страница 92, номер 2.191, Условие

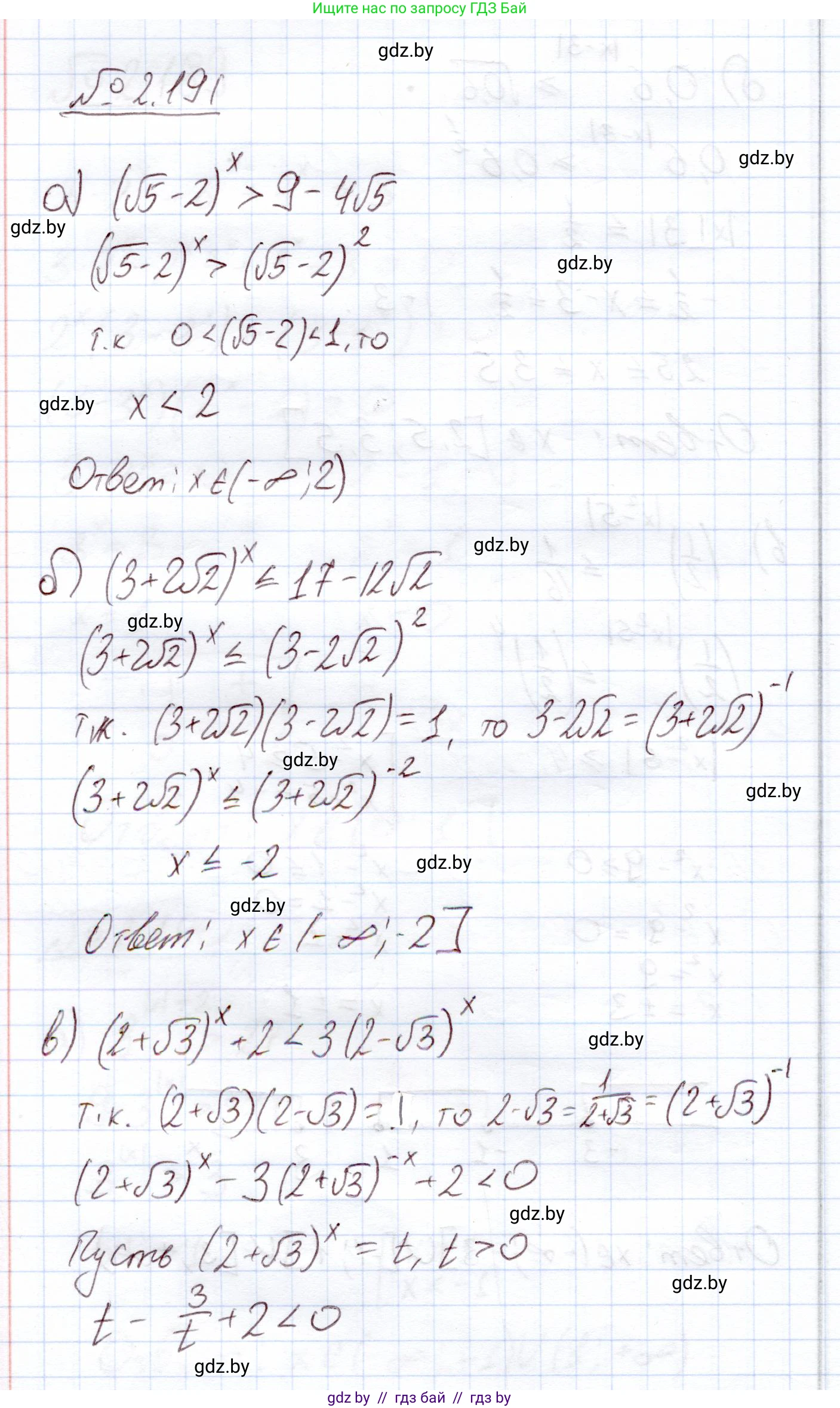
2.191*. Решите неравенство:

а) $(\sqrt{5}-2)^x > 9-4\sqrt{5};$

б) $(3+2\sqrt{2})^x \le 17-12\sqrt{2};$

в) $(2+\sqrt{3})^x + 2 < 3(2-\sqrt{3})^x;$

г) $(\sqrt{5}-2)^x \ge (\sqrt{5}+2)^{\frac{3}{x-4}}.$

Решение. №2.191 (с. 92)
Алгебра, 11 класс Учебник, авторы: Арефьева Ирина Глебовна, Пирютко Ольга Николаевна, издательство Народная асвета, Минск, 2020, бирюзового цвета, страница 92, номер 2.191, Решение Алгебра, 11 класс Учебник, авторы: Арефьева Ирина Глебовна, Пирютко Ольга Николаевна, издательство Народная асвета, Минск, 2020, бирюзового цвета, страница 92, номер 2.191, Решение (продолжение 2)
Решение 2. №2.191 (с. 92)

а) Исходное неравенство $(\sqrt{5}-2)^x > 9-4\sqrt{5}$.
Основание степени $a = \sqrt{5}-2$. Так как $4 < 5 < 9$, то $2 < \sqrt{5} < 3$, и, следовательно, $0 < \sqrt{5}-2 < 1$. Показательная функция с основанием $a$, где $0 < a < 1$, является убывающей.
Преобразуем правую часть неравенства. Заметим, что она является квадратом основания:$(\sqrt{5}-2)^2 = (\sqrt{5})^2 - 2 \cdot \sqrt{5} \cdot 2 + 2^2 = 5 - 4\sqrt{5} + 4 = 9-4\sqrt{5}$.
Таким образом, неравенство можно переписать в виде:$(\sqrt{5}-2)^x > (\sqrt{5}-2)^2$.
Поскольку основание степени $0 < \sqrt{5}-2 < 1$, при переходе от сравнения степеней к сравнению их показателей знак неравенства меняется на противоположный:$x < 2$.
Ответ: $x \in (-\infty; 2)$.

б) Исходное неравенство $(3+2\sqrt{2})^x \le 17-12\sqrt{2}$.
Основание степени $a = 3+2\sqrt{2} > 1$, значит, показательная функция является возрастающей.
Преобразуем правую часть. Заметим, что числа $3+2\sqrt{2}$ и $3-2\sqrt{2}$ являются взаимно обратными, так как их произведение $(3+2\sqrt{2})(3-2\sqrt{2}) = 3^2 - (2\sqrt{2})^2 = 9-8=1$. Следовательно, $3-2\sqrt{2} = (3+2\sqrt{2})^{-1}$.
Проверим, не является ли правая часть степенью числа $3-2\sqrt{2}$.$(3-2\sqrt{2})^2 = 3^2 - 2 \cdot 3 \cdot 2\sqrt{2} + (2\sqrt{2})^2 = 9 - 12\sqrt{2} + 8 = 17-12\sqrt{2}$.
Значит, $17-12\sqrt{2} = (3-2\sqrt{2})^2 = ((3+2\sqrt{2})^{-1})^2 = (3+2\sqrt{2})^{-2}$.
Неравенство принимает вид:$(3+2\sqrt{2})^x \le (3+2\sqrt{2})^{-2}$.
Так как основание $3+2\sqrt{2} > 1$, при переходе к показателям знак неравенства сохраняется:$x \le -2$.
Ответ: $x \in (-\infty; -2]$.

в) Исходное неравенство $(2+\sqrt{3})^x + 2 < 3(2-\sqrt{3})^x$.
Заметим, что $(2+\sqrt{3})(2-\sqrt{3}) = 2^2 - (\sqrt{3})^2 = 4-3=1$. Отсюда следует, что $2-\sqrt{3} = \frac{1}{2+\sqrt{3}} = (2+\sqrt{3})^{-1}$.
Сделаем замену. Пусть $t = (2+\sqrt{3})^x$. Поскольку $2+\sqrt{3} > 0$, то $t > 0$ для любого $x$. Тогда $(2-\sqrt{3})^x = ( (2+\sqrt{3})^{-1} )^x = (2+\sqrt{3})^{-x} = t^{-1} = \frac{1}{t}$.
Подставим в неравенство:$t + 2 < 3 \cdot \frac{1}{t}$.
Так как $t>0$, мы можем умножить обе части на $t$, не меняя знака неравенства:$t^2 + 2t < 3$.
$t^2 + 2t - 3 < 0$.
Найдем корни квадратного трехчлена $t^2 + 2t - 3=0$. Корнями являются $t_1=1$ и $t_2=-3$.
Неравенство $(t-1)(t+3)<0$ выполняется для $t \in (-3, 1)$.
Учитывая условие $t>0$, получаем $0 < t < 1$.
Вернемся к переменной $x$:$0 < (2+\sqrt{3})^x < 1$.
Представим $1$ как $(2+\sqrt{3})^0$. Неравенство примет вид $(2+\sqrt{3})^x < (2+\sqrt{3})^0$. Основание $2+\sqrt{3} > 1$, поэтому показательная функция возрастает. Следовательно, знак неравенства для показателей сохраняется:$x < 0$.
Ответ: $x \in (-\infty; 0)$.

г) Исходное неравенство $(\sqrt{5}-2)^x \ge (\sqrt{5}+2)^{\frac{3}{x-4}}$.
Область допустимых значений (ОДЗ) определяется выражением в показателе степени: $x-4 \neq 0$, откуда $x \neq 4$.
Заметим, что $(\sqrt{5}-2)(\sqrt{5}+2) = (\sqrt{5})^2 - 2^2 = 5-4=1$. Значит, $\sqrt{5}+2 = \frac{1}{\sqrt{5}-2} = (\sqrt{5}-2)^{-1}$.
Подставим это в правую часть неравенства:$(\sqrt{5}+2)^{\frac{3}{x-4}} = ((\sqrt{5}-2)^{-1})^{\frac{3}{x-4}} = (\sqrt{5}-2)^{-\frac{3}{x-4}}$.
Неравенство принимает вид:$(\sqrt{5}-2)^x \ge (\sqrt{5}-2)^{-\frac{3}{x-4}}$.
Основание степени $a = \sqrt{5}-2$. Как было показано в пункте а), $0 < a < 1$. Показательная функция с таким основанием является убывающей, поэтому при переходе к неравенству для показателей знак меняется на противоположный:$x \le -\frac{3}{x-4}$.
Решим это рациональное неравенство:$x + \frac{3}{x-4} \le 0$.
$\frac{x(x-4)+3}{x-4} \le 0$.
$\frac{x^2-4x+3}{x-4} \le 0$.
Найдем корни числителя $x^2-4x+3=0$. Это $x_1=1$ и $x_2=3$. Корень знаменателя $x_3=4$. Неравенство можно записать как $\frac{(x-1)(x-3)}{x-4} \le 0$.
Решим его методом интервалов. Нанесем на числовую ось точки $1, 3, 4$. Точки $1$ и $3$ включаются в решение, а точка $4$ исключается.
- Промежуток $(4, +\infty)$: $\frac{(+)(+)}{(+)} > 0$.- Промежуток $[3, 4)$: $\frac{(+)(+)}{(-)} < 0$.- Промежуток $[1, 3]$: $\frac{(+)(-)}{(-)} > 0$.- Промежуток $(-\infty, 1]$: $\frac{(-)(-)}{(-)} < 0$.
Нам нужны промежутки, где выражение меньше или равно нулю. Объединяя их, получаем решение.
Ответ: $x \in (-\infty, 1] \cup [3, 4)$.

Помогло решение? Оставьте отзыв в комментариях ниже.

Присоединяйтесь к Телеграм-группе @gdz_by_belarus

Присоединиться

Мы подготовили для вас ответ c подробным объяснением домашего задания по алгебре за 11 класс, для упражнения номер 2.191 расположенного на странице 92 к учебнику 2020 года издания для учащихся школ и гимназий.

Теперь на нашем сайте ГДЗ.ТОП вы всегда легко и бесплатно найдёте условие с правильным ответом на вопрос «Как решить ДЗ» и «Как сделать» задание по алгебре к упражнению №2.191 (с. 92), авторов: Арефьева (Ирина Глебовна), Пирютко (Ольга Николаевна), учебного пособия издательства Народная асвета.