Номер 2.27, страница 55 - гдз по алгебре 11 класс учебник Арефьева, Пирютко

Алгебра, 11 класс Учебник, авторы: Арефьева Ирина Глебовна, Пирютко Ольга Николаевна, издательство Народная асвета, Минск, 2020, бирюзового цвета

Авторы: Арефьева И. Г., Пирютко О. Н.

Тип: Учебник

Издательство: Народная асвета

Год издания: 2020 - 2026

Цвет обложки: бирюзовый, зелёный с графиком

ISBN: 978-985-03-3165-6

Популярные ГДЗ в 11 классе

Глава 2. Показательная функция. Параграф 4. Показательная функция - номер 2.27, страница 55.

№2.27 (с. 55)
Условие. №2.27 (с. 55)
скриншот условия
Алгебра, 11 класс Учебник, авторы: Арефьева Ирина Глебовна, Пирютко Ольга Николаевна, издательство Народная асвета, Минск, 2020, бирюзового цвета, страница 55, номер 2.27, Условие

2.27*. Используйте свойства тригонометрических и показательной функций и найдите наибольшее и наименьшее значения функции на $R$:

a) $y = 5^{\sin x};$

б) $y = \left(\frac{1}{7}\right)^{\cos x};$

в) $y = 4^{\sin x + 2};$

г) $y = \left(\frac{1}{3}\right)^{\cos x-1};$

д) $y = 3^{\sin x} - 4;$

е) $y = \left(\frac{1}{6}\right)^{\cos x} + 5.$

Решение. №2.27 (с. 55)
Алгебра, 11 класс Учебник, авторы: Арефьева Ирина Глебовна, Пирютко Ольга Николаевна, издательство Народная асвета, Минск, 2020, бирюзового цвета, страница 55, номер 2.27, Решение Алгебра, 11 класс Учебник, авторы: Арефьева Ирина Глебовна, Пирютко Ольга Николаевна, издательство Народная асвета, Минск, 2020, бирюзового цвета, страница 55, номер 2.27, Решение (продолжение 2)
Решение 2. №2.27 (с. 55)

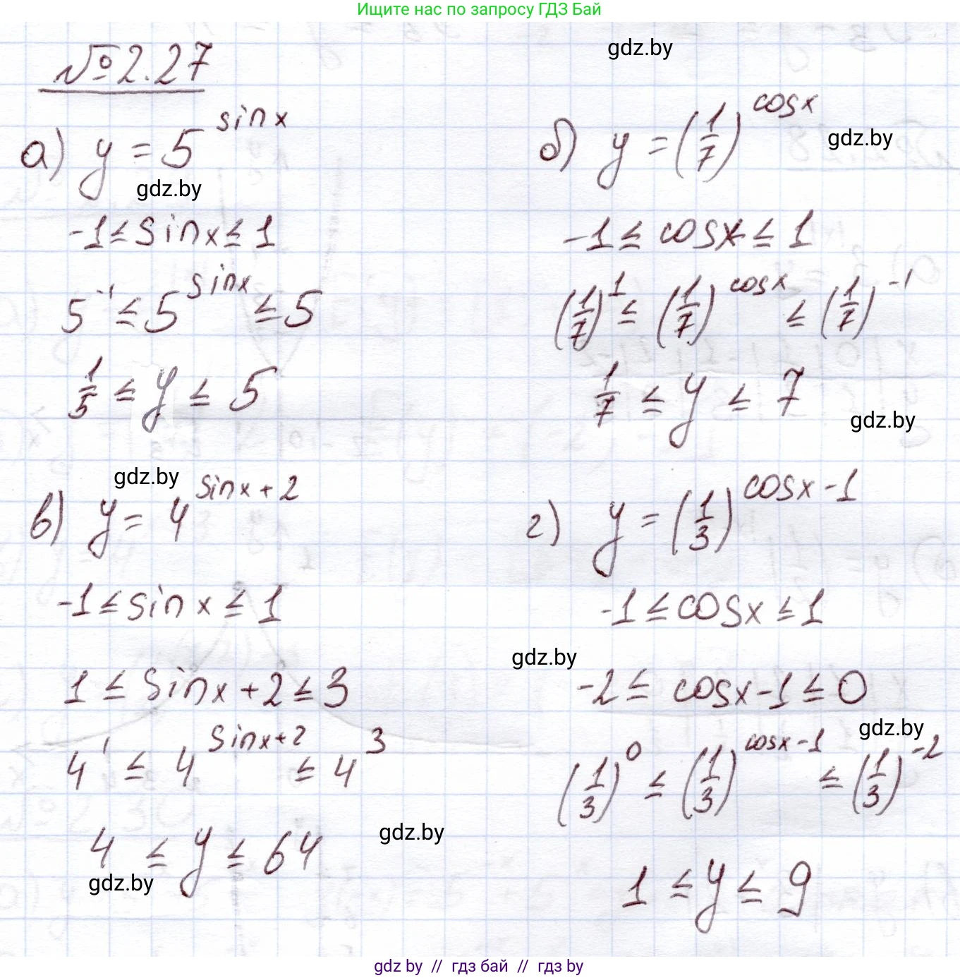
а) $y = 5^{\sin x}$

Область значений тригонометрической функции синус: $-1 \le \sin x \le 1$.

Показательная функция $f(t) = 5^t$ с основанием $5 > 1$ является монотонно возрастающей. Это означает, что большему значению аргумента (показателя степени) соответствует большее значение функции.

Следовательно, наименьшее значение функции $y$ достигается при наименьшем значении показателя, а наибольшее — при наибольшем.

Наименьшее значение показателя $\sin x$ равно $-1$. Наименьшее значение функции: $y_{наим} = 5^{-1} = \frac{1}{5}$.

Наибольшее значение показателя $\sin x$ равно $1$. Наибольшее значение функции: $y_{наиб} = 5^1 = 5$.

Ответ: наименьшее значение функции равно $\frac{1}{5}$, наибольшее значение равно $5$.

б) $y = \left(\frac{1}{7}\right)^{\cos x}$

Область значений тригонометрической функции косинус: $-1 \le \cos x \le 1$.

Показательная функция $f(t) = \left(\frac{1}{7}\right)^t$ с основанием $0 < \frac{1}{7} < 1$ является монотонно убывающей. Это означает, что большему значению аргумента (показателя степени) соответствует меньшее значение функции.

Следовательно, наименьшее значение функции $y$ достигается при наибольшем значении показателя, а наибольшее — при наименьшем.

Наибольшее значение показателя $\cos x$ равно $1$. Наименьшее значение функции: $y_{наим} = \left(\frac{1}{7}\right)^1 = \frac{1}{7}$.

Наименьшее значение показателя $\cos x$ равно $-1$. Наибольшее значение функции: $y_{наиб} = \left(\frac{1}{7}\right)^{-1} = 7$.

Ответ: наименьшее значение функции равно $\frac{1}{7}$, наибольшее значение равно $7$.

в) $y = 4^{\sin x + 2}$

Сначала найдем область значений показателя степени, то есть выражения $\sin x + 2$.

Так как $-1 \le \sin x \le 1$, то, прибавив $2$ ко всем частям неравенства, получим: $-1 + 2 \le \sin x + 2 \le 1 + 2$, что дает $1 \le \sin x + 2 \le 3$.

Показательная функция $f(t) = 4^t$ с основанием $4 > 1$ является монотонно возрастающей. Следовательно, функция $y$ принимает наименьшее значение при наименьшем значении показателя, и наибольшее — при наибольшем.

Наименьшее значение показателя равно $1$. Наименьшее значение функции: $y_{наим} = 4^1 = 4$.

Наибольшее значение показателя равно $3$. Наибольшее значение функции: $y_{наиб} = 4^3 = 64$.

Ответ: наименьшее значение функции равно $4$, наибольшее значение равно $64$.

г) $y = \left(\frac{1}{3}\right)^{\cos x - 1}$

Сначала найдем область значений показателя степени, то есть выражения $\cos x - 1$.

Так как $-1 \le \cos x \le 1$, то, вычтя $1$ из всех частей неравенства, получим: $-1 - 1 \le \cos x - 1 \le 1 - 1$, что дает $-2 \le \cos x - 1 \le 0$.

Показательная функция $f(t) = \left(\frac{1}{3}\right)^t$ с основанием $0 < \frac{1}{3} < 1$ является монотонно убывающей. Следовательно, функция $y$ принимает наименьшее значение при наибольшем значении показателя, и наибольшее — при наименьшем.

Наибольшее значение показателя равно $0$. Наименьшее значение функции: $y_{наим} = \left(\frac{1}{3}\right)^0 = 1$.

Наименьшее значение показателя равно $-2$. Наибольшее значение функции: $y_{наиб} = \left(\frac{1}{3}\right)^{-2} = 3^2 = 9$.

Ответ: наименьшее значение функции равно $1$, наибольшее значение равно $9$.

д) $y = 3^{\sin x} - 4$

Найдем область значений для слагаемого $3^{\sin x}$. Область значений синуса: $-1 \le \sin x \le 1$. Функция $f(t) = 3^t$ возрастающая, так как основание $3 > 1$.

Следовательно, наименьшее значение $3^{\sin x}$ равно $3^{-1} = \frac{1}{3}$, а наибольшее $3^1 = 3$. Область значений выражения $3^{\sin x}$ — это отрезок $[\frac{1}{3}; 3]$.

Исходная функция $y$ получается вычитанием $4$ из $3^{\sin x}$. Чтобы найти ее наименьшее и наибольшее значения, нужно из границ найденного отрезка вычесть $4$.

Наименьшее значение функции: $y_{наим} = \frac{1}{3} - 4 = \frac{1-12}{3} = -\frac{11}{3}$.

Наибольшее значение функции: $y_{наиб} = 3 - 4 = -1$.

Ответ: наименьшее значение функции равно $-\frac{11}{3}$, наибольшее значение равно $-1$.

е) $y = \left(\frac{1}{6}\right)^{\cos x} + 5$

Найдем область значений для слагаемого $\left(\frac{1}{6}\right)^{\cos x}$. Область значений косинуса: $-1 \le \cos x \le 1$. Функция $f(t) = \left(\frac{1}{6}\right)^t$ убывающая, так как основание $0 < \frac{1}{6} < 1$.

Следовательно, наименьшее значение $\left(\frac{1}{6}\right)^{\cos x}$ достигается при $\cos x = 1$ и равно $\left(\frac{1}{6}\right)^1 = \frac{1}{6}$. Наибольшее значение достигается при $\cos x = -1$ и равно $\left(\frac{1}{6}\right)^{-1} = 6$. Область значений выражения $\left(\frac{1}{6}\right)^{\cos x}$ — это отрезок $[\frac{1}{6}; 6]$.

Исходная функция $y$ получается прибавлением $5$ к $\left(\frac{1}{6}\right)^{\cos x}$. Чтобы найти ее наименьшее и наибольшее значения, нужно к границам найденного отрезка прибавить $5$.

Наименьшее значение функции: $y_{наим} = \frac{1}{6} + 5 = \frac{1+30}{6} = \frac{31}{6}$.

Наибольшее значение функции: $y_{наиб} = 6 + 5 = 11$.

Ответ: наименьшее значение функции равно $\frac{31}{6}$, наибольшее значение равно $11$.

Помогло решение? Оставьте отзыв в комментариях ниже.

Присоединяйтесь к Телеграм-группе @gdz_by_belarus

Присоединиться

Мы подготовили для вас ответ c подробным объяснением домашего задания по алгебре за 11 класс, для упражнения номер 2.27 расположенного на странице 55 к учебнику 2020 года издания для учащихся школ и гимназий.

Теперь на нашем сайте ГДЗ.ТОП вы всегда легко и бесплатно найдёте условие с правильным ответом на вопрос «Как решить ДЗ» и «Как сделать» задание по алгебре к упражнению №2.27 (с. 55), авторов: Арефьева (Ирина Глебовна), Пирютко (Ольга Николаевна), учебного пособия издательства Народная асвета.