Номер 2.63, страница 59 - гдз по алгебре 11 класс учебник Арефьева, Пирютко

Алгебра, 11 класс Учебник, авторы: Арефьева Ирина Глебовна, Пирютко Ольга Николаевна, издательство Народная асвета, Минск, 2020, бирюзового цвета

Авторы: Арефьева И. Г., Пирютко О. Н.

Тип: Учебник

Издательство: Народная асвета

Год издания: 2020 - 2026

Цвет обложки: бирюзовый, зелёный с графиком

ISBN: 978-985-03-3165-6

Популярные ГДЗ в 11 классе

Глава 2. Показательная функция. Параграф 4. Показательная функция - номер 2.63, страница 59.

№2.63 (с. 59)
Условие. №2.63 (с. 59)
скриншот условия
Алгебра, 11 класс Учебник, авторы: Арефьева Ирина Глебовна, Пирютко Ольга Николаевна, издательство Народная асвета, Минск, 2020, бирюзового цвета, страница 59, номер 2.63, Условие

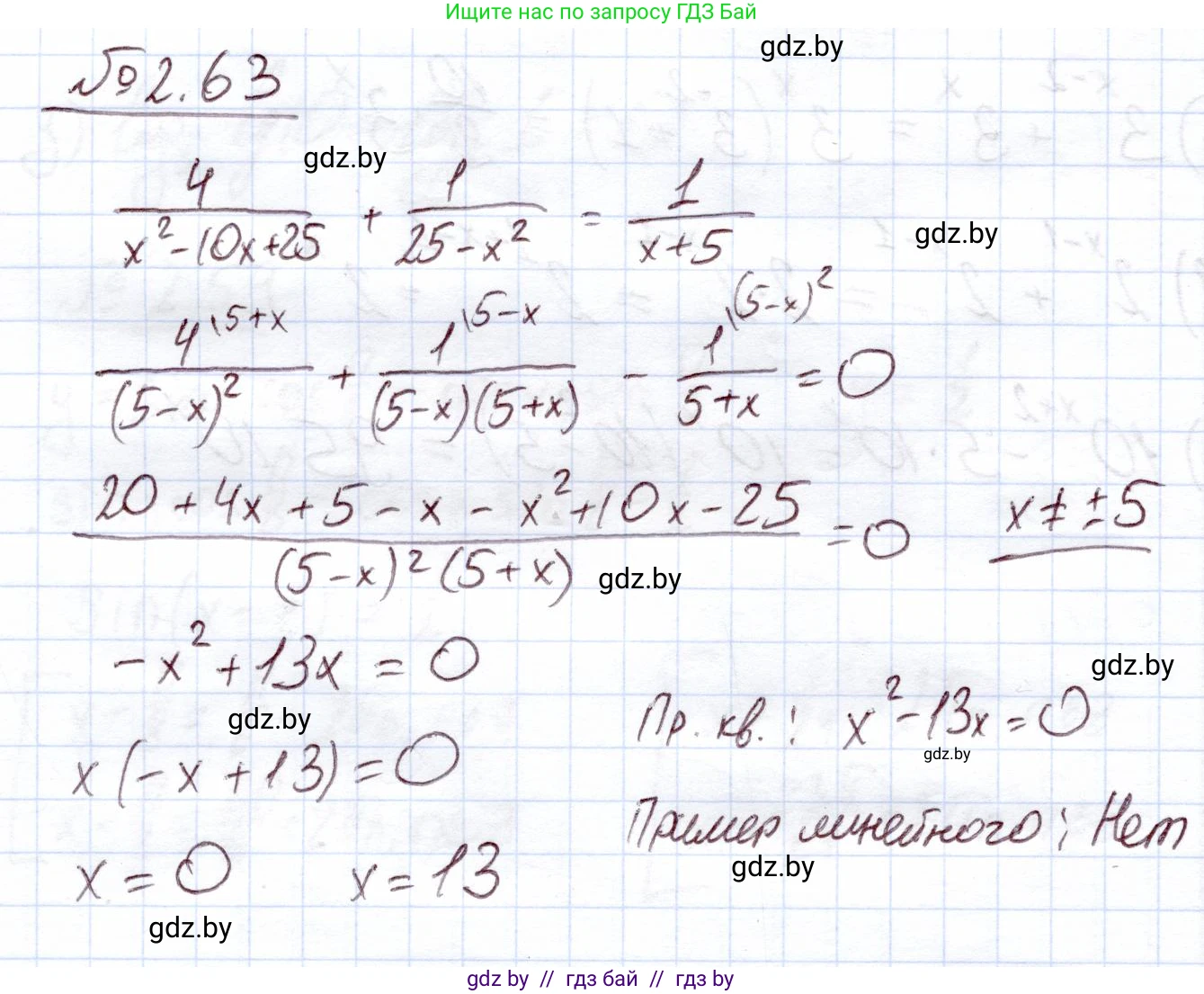
2.63. Решите дробно-рациональное уравнение

$\frac{4}{x^2 - 10x + 25} + \frac{1}{25 - x^2} = \frac{1}{x + 5}$

Приведите пример квадратного уравнения, равносильного данному. Можно ли привести пример линейного уравнения, равносильного данному?

Решение. №2.63 (с. 59)
Алгебра, 11 класс Учебник, авторы: Арефьева Ирина Глебовна, Пирютко Ольга Николаевна, издательство Народная асвета, Минск, 2020, бирюзового цвета, страница 59, номер 2.63, Решение
Решение 2. №2.63 (с. 59)

Решим данное дробно-рациональное уравнение:

$$ \frac{4}{x^2 - 10x + 25} + \frac{1}{25 - x^2} = \frac{1}{x + 5} $$

1. Найдем область допустимых значений (ОДЗ). Знаменатели дробей не могут быть равны нулю:

$x^2 - 10x + 25 \neq 0 \implies (x-5)^2 \neq 0 \implies x \neq 5$

$25 - x^2 \neq 0 \implies (5-x)(5+x) \neq 0 \implies x \neq 5$ и $x \neq -5$

$x + 5 \neq 0 \implies x \neq -5$

Таким образом, ОДЗ: $x \neq 5$ и $x \neq -5$.

2. Преобразуем уравнение. Разложим знаменатели на множители. Используем формулы сокращенного умножения: квадрат разности $a^2 - 2ab + b^2 = (a-b)^2$ и разность квадратов $a^2 - b^2 = (a-b)(a+b)$.

$x^2 - 10x + 25 = (x-5)^2$

$25 - x^2 = (5-x)(5+x) = -(x-5)(x+5)$

Подставим разложенные знаменатели в исходное уравнение:

$$ \frac{4}{(x-5)^2} + \frac{1}{-(x-5)(x+5)} = \frac{1}{x+5} $$

$$ \frac{4}{(x-5)^2} - \frac{1}{(x-5)(x+5)} = \frac{1}{x+5} $$

3. Перенесем все слагаемые в левую часть и приведем их к общему знаменателю $(x-5)^2(x+5)$:

$$ \frac{4}{(x-5)^2} - \frac{1}{(x-5)(x+5)} - \frac{1}{x+5} = 0 $$

$$ \frac{4(x+5) - 1(x-5) - 1(x-5)^2}{(x-5)^2(x+5)} = 0 $$

4. Дробь равна нулю, когда ее числитель равен нулю, а знаменатель не равен нулю. Условие неравенства знаменателя нулю мы учли в ОДЗ. Приравняем числитель к нулю:

$4(x+5) - (x-5) - (x-5)^2 = 0$

Раскроем скобки и упростим выражение:

$4x + 20 - x + 5 - (x^2 - 10x + 25) = 0$

$3x + 25 - x^2 + 10x - 25 = 0$

Приведем подобные слагаемые:

$-x^2 + 13x = 0$

Умножим обе части уравнения на -1:

$x^2 - 13x = 0$

5. Решим полученное неполное квадратное уравнение, вынеся общий множитель $x$ за скобки:

$x(x - 13) = 0$

Произведение равно нулю, если хотя бы один из множителей равен нулю:

$x_1 = 0$ или $x - 13 = 0 \implies x_2 = 13$

6. Проверим, удовлетворяют ли найденные корни ОДЗ ($x \neq 5$ и $x \neq -5$).

Корень $x_1 = 0$ удовлетворяет условиям ОДЗ, так как $0 \neq 5$ и $0 \neq -5$.

Корень $x_2 = 13$ удовлетворяет условиям ОДЗ, так как $13 \neq 5$ и $13 \neq -5$.

Следовательно, оба корня являются решениями исходного уравнения.

Ответ: $0; 13$.

Приведите пример квадратного уравнения, равносильного данному.

Два уравнения называются равносильными (или эквивалентными), если множества их решений совпадают. Решениями исходного дробно-рационального уравнения являются числа $0$ и $13$. Нам нужно составить квадратное уравнение, которое имеет те же самые корни.

В ходе решения мы получили уравнение $x^2 - 13x = 0$, которое после проверки корней на соответствие ОДЗ оказалось равносильным исходному. Его решениями являются $x=0$ и $x=13$. Таким образом, это уравнение является искомым примером.

Ответ: $x^2 - 13x = 0$.

Можно ли привести пример линейного уравнения, равносильного данному?

Линейное уравнение — это уравнение вида $ax + b = 0$, где $a \neq 0$. Такое уравнение всегда имеет ровно один корень: $x = -b/a$.

Данное в задаче дробно-рациональное уравнение имеет два различных корня: $0$ и $13$. Поскольку количество корней у линейного уравнения (один) и у данного уравнения (два) различно, их множества решений не могут совпадать. Следовательно, никакое линейное уравнение не может быть равносильно данному.

Ответ: Нет, нельзя.

Помогло решение? Оставьте отзыв в комментариях ниже.

Присоединяйтесь к Телеграм-группе @gdz_by_belarus

Присоединиться

Мы подготовили для вас ответ c подробным объяснением домашего задания по алгебре за 11 класс, для упражнения номер 2.63 расположенного на странице 59 к учебнику 2020 года издания для учащихся школ и гимназий.

Теперь на нашем сайте ГДЗ.ТОП вы всегда легко и бесплатно найдёте условие с правильным ответом на вопрос «Как решить ДЗ» и «Как сделать» задание по алгебре к упражнению №2.63 (с. 59), авторов: Арефьева (Ирина Глебовна), Пирютко (Ольга Николаевна), учебного пособия издательства Народная асвета.