Номер 2.75, страница 70 - гдз по алгебре 11 класс учебник Арефьева, Пирютко

Алгебра, 11 класс Учебник, авторы: Арефьева Ирина Глебовна, Пирютко Ольга Николаевна, издательство Народная асвета, Минск, 2020, бирюзового цвета

Авторы: Арефьева И. Г., Пирютко О. Н.

Тип: Учебник

Издательство: Народная асвета

Год издания: 2020 - 2026

Цвет обложки: бирюзовый, зелёный с графиком

ISBN: 978-985-03-3165-6

Популярные ГДЗ в 11 классе

Глава 2. Показательная функция. Параграф 5. Показательные уравнения - номер 2.75, страница 70.

№2.75 (с. 70)
Условие. №2.75 (с. 70)
скриншот условия
Алгебра, 11 класс Учебник, авторы: Арефьева Ирина Глебовна, Пирютко Ольга Николаевна, издательство Народная асвета, Минск, 2020, бирюзового цвета, страница 70, номер 2.75, Условие

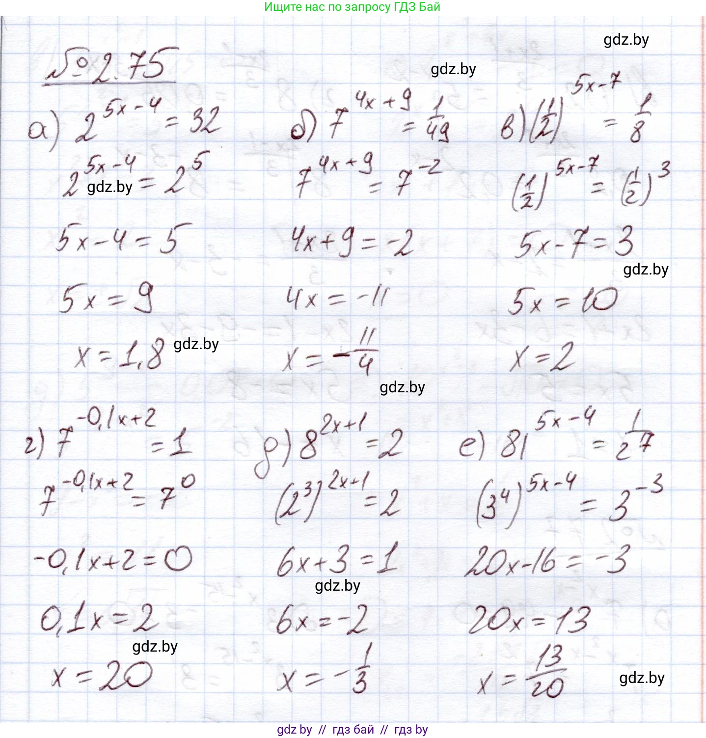
2.75. Определите вид уравнения и решите его:

а) $2^{5x-4} = 32;$

б) $7^{4x+9} = \frac{1}{49};$

в) $(\frac{1}{2})^{5x-7} = \frac{1}{8};$

г) $7^{-0,1x+2} = 1;$

д) $8^{2x+1} = 2;$

е) $81^{5x-4} = \frac{1}{27}.$

Решение. №2.75 (с. 70)
Алгебра, 11 класс Учебник, авторы: Арефьева Ирина Глебовна, Пирютко Ольга Николаевна, издательство Народная асвета, Минск, 2020, бирюзового цвета, страница 70, номер 2.75, Решение
Решение 2. №2.75 (с. 70)

Все представленные в задании уравнения являются показательными, так как неизвестная переменная $x$ находится в показателе степени. Общий метод их решения заключается в приведении обеих частей уравнения к одному и тому же основанию.

а) $2^{5x-4} = 32$
Это показательное уравнение. Для его решения приведем обе части к одному основанию — 2.
Поскольку $32 = 2^5$, уравнение принимает вид:
$2^{5x-4} = 2^5$
Так как основания равны, приравниваем показатели степеней:
$5x - 4 = 5$
$5x = 9$
$x = \frac{9}{5} = 1,8$
Ответ: $1,8$.

б) $7^{4x+9} = \frac{1}{49}$
Это показательное уравнение. Приведем обе части к основанию 7.
Поскольку $\frac{1}{49} = \frac{1}{7^2} = 7^{-2}$, уравнение принимает вид:
$7^{4x+9} = 7^{-2}$
Приравниваем показатели степеней:
$4x + 9 = -2$
$4x = -11$
$x = -\frac{11}{4} = -2,75$
Ответ: $-2,75$.

в) $(\frac{1}{2})^{5x-7} = \frac{1}{8}$
Это показательное уравнение. Приведем обе части к основанию $\frac{1}{2}$.
Поскольку $\frac{1}{8} = \frac{1}{2^3} = (\frac{1}{2})^3$, уравнение принимает вид:
$(\frac{1}{2})^{5x-7} = (\frac{1}{2})^3$
Приравниваем показатели степеней:
$5x - 7 = 3$
$5x = 10$
$x = \frac{10}{5} = 2$
Ответ: $2$.

г) $7^{-0,1x+2} = 1$
Это показательное уравнение. Приведем обе части к основанию 7.
Поскольку любое число в нулевой степени равно 1, то $1 = 7^0$. Уравнение принимает вид:
$7^{-0,1x+2} = 7^0$
Приравниваем показатели степеней:
$-0,1x + 2 = 0$
$-0,1x = -2$
$x = \frac{-2}{-0,1} = 20$
Ответ: $20$.

д) $8^{2x+1} = 2$
Это показательное уравнение. Приведем обе части к основанию 2.
Преобразуем левую часть: $8^{2x+1} = (2^3)^{2x+1} = 2^{3(2x+1)} = 2^{6x+3}$.
Уравнение принимает вид:
$2^{6x+3} = 2^1$
Приравниваем показатели степеней:
$6x + 3 = 1$
$6x = -2$
$x = -\frac{2}{6} = -\frac{1}{3}$
Ответ: $-\frac{1}{3}$.

е) $81^{5x-4} = \frac{1}{27}$
Это показательное уравнение. Приведем обе части к основанию 3.
Преобразуем левую часть: $81^{5x-4} = (3^4)^{5x-4} = 3^{4(5x-4)} = 3^{20x-16}$.
Преобразуем правую часть: $\frac{1}{27} = \frac{1}{3^3} = 3^{-3}$.
Уравнение принимает вид:
$3^{20x-16} = 3^{-3}$
Приравниваем показатели степеней:
$20x - 16 = -3$
$20x = 13$
$x = \frac{13}{20} = 0,65$
Ответ: $0,65$.

Помогло решение? Оставьте отзыв в комментариях ниже.

Присоединяйтесь к Телеграм-группе @gdz_by_belarus

Присоединиться

Мы подготовили для вас ответ c подробным объяснением домашего задания по алгебре за 11 класс, для упражнения номер 2.75 расположенного на странице 70 к учебнику 2020 года издания для учащихся школ и гимназий.

Теперь на нашем сайте ГДЗ.ТОП вы всегда легко и бесплатно найдёте условие с правильным ответом на вопрос «Как решить ДЗ» и «Как сделать» задание по алгебре к упражнению №2.75 (с. 70), авторов: Арефьева (Ирина Глебовна), Пирютко (Ольга Николаевна), учебного пособия издательства Народная асвета.