Номер 3.99, страница 125 - гдз по алгебре 11 класс учебник Арефьева, Пирютко

Алгебра, 11 класс Учебник, авторы: Арефьева Ирина Глебовна, Пирютко Ольга Николаевна, издательство Народная асвета, Минск, 2020, бирюзового цвета

Авторы: Арефьева И. Г., Пирютко О. Н.

Тип: Учебник

Издательство: Народная асвета

Год издания: 2020 - 2026

Цвет обложки: бирюзовый, зелёный с графиком

ISBN: 978-985-03-3165-6

Популярные ГДЗ в 11 классе

Глава 3. Логарифмическая функция. Параграф 8. Логарифмическая функция. Свойства логарифмической функции - номер 3.99, страница 125.

№3.99 (с. 125)
Условие. №3.99 (с. 125)
скриншот условия
Алгебра, 11 класс Учебник, авторы: Арефьева Ирина Глебовна, Пирютко Ольга Николаевна, издательство Народная асвета, Минск, 2020, бирюзового цвета, страница 125, номер 3.99, Условие

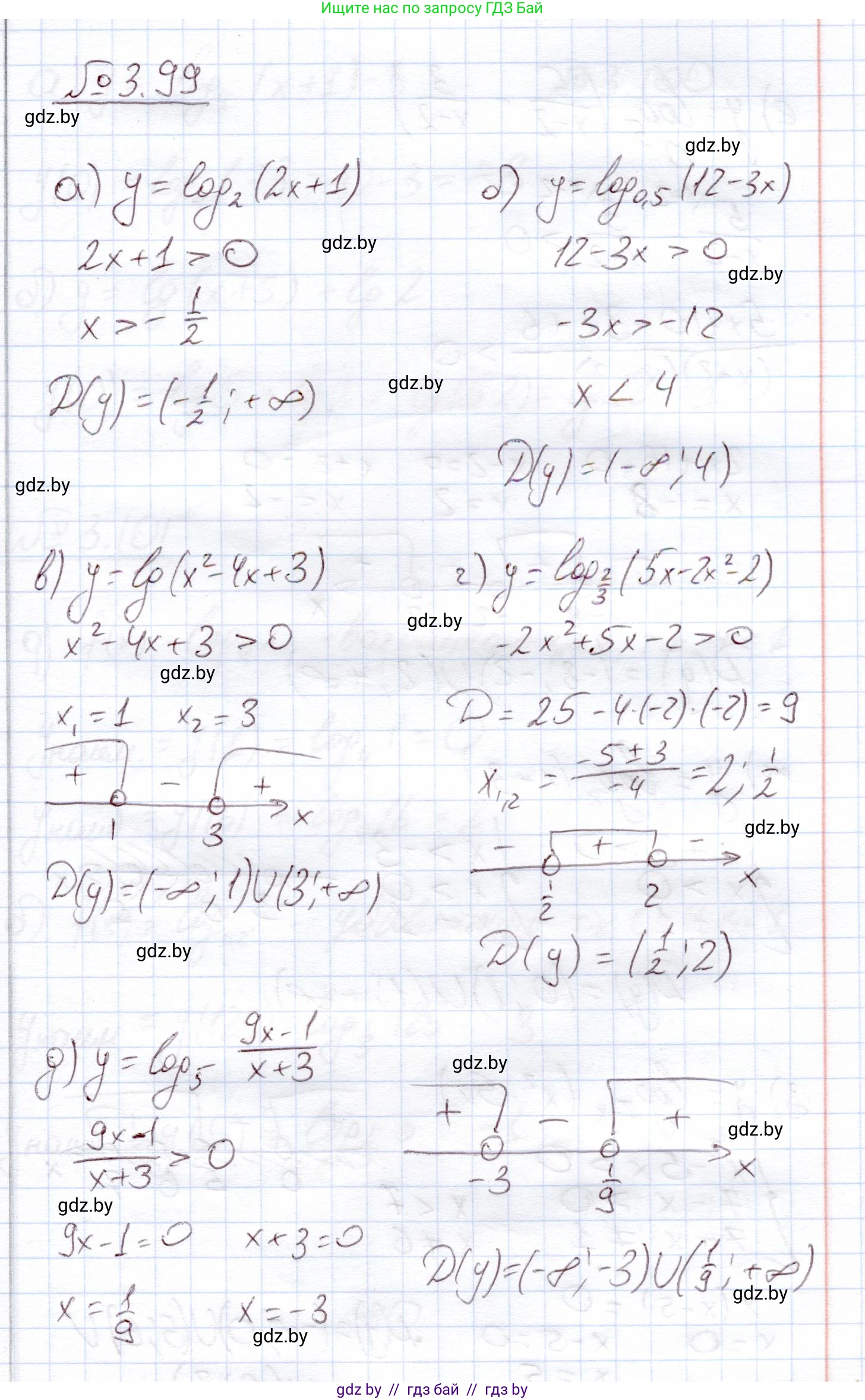
3.99. Найдите область определения функции:

a) $y = \log_2(2x + 1);$

б) $y = \log_{0,5}(12 - 3x);$

в) $y = \lg(x^2 - 4x + 3);$

г) $y = \log_{\frac{2}{3}}(5x - 2x^2 - 2);$

д) $y = \log_5\frac{9x - 1}{x + 3};$

е) $y = \log_5\left(\frac{5}{x - 2} - \frac{3}{x + 2}\right);$

ж) $y = \log_x(x + 3);$

з) $y = \log_{7-x}(x^2 - 5x).$

Решение. №3.99 (с. 125)
Алгебра, 11 класс Учебник, авторы: Арефьева Ирина Глебовна, Пирютко Ольга Николаевна, издательство Народная асвета, Минск, 2020, бирюзового цвета, страница 125, номер 3.99, Решение Алгебра, 11 класс Учебник, авторы: Арефьева Ирина Глебовна, Пирютко Ольга Николаевна, издательство Народная асвета, Минск, 2020, бирюзового цвета, страница 125, номер 3.99, Решение (продолжение 2)
Решение 2. №3.99 (с. 125)

Область определения логарифмической функции $y = \log_a f(x)$ находится из условий:

  • Аргумент логарифма должен быть строго положительным: $f(x) > 0$.
  • Основание логарифма должно быть строго положительным и не равным единице: $a > 0$ и $a \neq 1$.

а) Для функции $y = \log_2(2x + 1)$ основание $a=2$ является константой, удовлетворяющей условиям ($2>0, 2 \neq 1$). Следовательно, нужно найти все значения $x$, для которых аргумент логарифма положителен.

Решим неравенство:

$2x + 1 > 0$

$2x > -1$

$x > -\frac{1}{2}$

Таким образом, область определения функции — это интервал $(-0.5; +\infty)$.

Ответ: $x \in (-0.5; +\infty)$.

б) Для функции $y = \log_{0.5}(12 - 3x)$ основание $a=0.5$ является константой, удовлетворяющей условиям ($0.5>0, 0.5 \neq 1$). Требуется, чтобы аргумент логарифма был положителен.

Решим неравенство:

$12 - 3x > 0$

$12 > 3x$

$4 > x$ или $x < 4$

Область определения функции — это интервал $(-\infty; 4)$.

Ответ: $x \in (-\infty; 4)$.

в) Для функции $y = \lg(x^2 - 4x + 3)$ основание $a=10$ (десятичный логарифм) является константой, удовлетворяющей условиям ($10>0, 10 \neq 1$). Найдём, при каких $x$ аргумент положителен.

Решим квадратное неравенство:

$x^2 - 4x + 3 > 0$

Сначала найдем корни соответствующего уравнения $x^2 - 4x + 3 = 0$. По теореме Виета, корни $x_1 = 1$ и $x_2 = 3$.

Парабола $y = x^2 - 4x + 3$ имеет ветви, направленные вверх (коэффициент при $x^2$ положителен), поэтому она принимает положительные значения вне интервала между корнями.

Следовательно, $x < 1$ или $x > 3$.

Область определения функции — это объединение интервалов $(-\infty; 1) \cup (3; +\infty)$.

Ответ: $x \in (-\infty; 1) \cup (3; +\infty)$.

г) Для функции $y = \log_{\frac{2}{3}}(5x - 2x^2 - 2)$ основание $a=\frac{2}{3}$ является константой, удовлетворяющей условиям ($\frac{2}{3}>0, \frac{2}{3} \neq 1$). Требуется, чтобы аргумент был положителен.

Решим неравенство:

$5x - 2x^2 - 2 > 0$

Умножим обе части на -1, изменив знак неравенства:

$2x^2 - 5x + 2 < 0$

Найдем корни уравнения $2x^2 - 5x + 2 = 0$. Дискриминант $D = (-5)^2 - 4 \cdot 2 \cdot 2 = 25 - 16 = 9$.

Корни: $x_1 = \frac{5 - \sqrt{9}}{4} = \frac{2}{4} = 0.5$ и $x_2 = \frac{5 + \sqrt{9}}{4} = \frac{8}{4} = 2$.

Парабола $y = 2x^2 - 5x + 2$ имеет ветви, направленные вверх, поэтому она принимает отрицательные значения между корнями.

Следовательно, $0.5 < x < 2$.

Ответ: $x \in (0.5; 2)$.

д) Для функции $y = \log_5\frac{9x - 1}{x + 3}$ основание $a=5$ — константа ($5>0, 5 \neq 1$). Аргумент должен быть положителен.

Решим рациональное неравенство методом интервалов:

$\frac{9x - 1}{x + 3} > 0$

Нули числителя: $9x - 1 = 0 \Rightarrow x = \frac{1}{9}$.

Нули знаменателя: $x + 3 = 0 \Rightarrow x = -3$.

Отметим точки $-3$ и $\frac{1}{9}$ на числовой оси. Они разбивают ось на три интервала: $(-\infty; -3)$, $(-3; \frac{1}{9})$, $(\frac{1}{9}; +\infty)$.

Определим знак выражения в каждом интервале.

  • При $x > \frac{1}{9}$ (например, $x=1$): $\frac{9-1}{1+3} > 0$. Знак +.
  • При $-3 < x < \frac{1}{9}$ (например, $x=0$): $\frac{-1}{3} < 0$. Знак -.
  • При $x < -3$ (например, $x=-4$): $\frac{-36-1}{-4+3} > 0$. Знак +.

Нам нужны интервалы со знаком +, так как неравенство строгое.

Ответ: $x \in (-\infty; -3) \cup (\frac{1}{9}; +\infty)$.

е) Для функции $y = \log_5(\frac{5}{x - 2} - \frac{3}{x + 2})$ основание $a=5$ — константа. Упростим аргумент и потребуем, чтобы он был положителен.

$\frac{5}{x - 2} - \frac{3}{x + 2} = \frac{5(x+2) - 3(x-2)}{(x-2)(x+2)} = \frac{5x+10-3x+6}{x^2 - 4} = \frac{2x+16}{x^2 - 4}$

Решим неравенство $\frac{2x+16}{x^2 - 4} > 0$ методом интервалов.

Нули числителя: $2x+16 = 0 \Rightarrow x = -8$.

Нули знаменателя: $x^2-4 = 0 \Rightarrow x = -2, x = 2$.

Точки $-8, -2, 2$ разбивают числовую ось на интервалы.

  • $x>2$: $\frac{+}{+} > 0$.
  • $-2<x<2$: $\frac{+}{-} < 0$.
  • $-8<x<-2$: $\frac{+}{+} > 0$.
  • $x<-8$: $\frac{-}{+} < 0$.

Выбираем интервалы, где выражение положительно.

Ответ: $x \in (-8; -2) \cup (2; +\infty)$.

ж) В функции $y = \log_x(x + 3)$ и основание, и аргумент зависят от $x$. Область определения задается системой условий:

$\begin{cases} x + 3 > 0 & \text{(аргумент > 0)} \\ x > 0 & \text{(основание > 0)} \\ x \neq 1 & \text{(основание ≠ 1)} \end{cases}$

Решаем систему:

$\begin{cases} x > -3 \\ x > 0 \\ x \neq 1 \end{cases}$

Пересечением условий $x > -3$ и $x > 0$ является $x > 0$. Добавляя условие $x \neq 1$, получаем решение: $x \in (0; 1) \cup (1; +\infty)$.

Ответ: $x \in (0; 1) \cup (1; +\infty)$.

з) В функции $y = \log_{7-x}(x^2 - 5x)$ и основание, и аргумент зависят от $x$. Область определения задается системой условий:

$\begin{cases} x^2 - 5x > 0 & \text{(аргумент > 0)} \\ 7-x > 0 & \text{(основание > 0)} \\ 7-x \neq 1 & \text{(основание ≠ 1)} \end{cases}$

Решим каждое неравенство отдельно:

  1. $x^2 - 5x > 0 \Rightarrow x(x - 5) > 0$. Корни $0$ и $5$. Ветви параболы вверх, значит решение: $x \in (-\infty; 0) \cup (5; +\infty)$.
  2. $7 - x > 0 \Rightarrow 7 > x \Rightarrow x < 7$. Решение: $x \in (-\infty; 7)$.
  3. $7 - x \neq 1 \Rightarrow x \neq 6$.

Теперь найдем пересечение этих трех решений.

Из 1 и 2: нужно найти пересечение множеств $((-\infty; 0) \cup (5; +\infty))$ и $(-\infty; 7)$.

Пересечение $(-\infty; 0)$ и $(-\infty; 7)$ дает $(-\infty; 0)$.

Пересечение $(5; +\infty)$ и $(-\infty; 7)$ дает $(5; 7)$.

Таким образом, пересечение первых двух условий: $x \in (-\infty; 0) \cup (5; 7)$.

Теперь учтем третье условие $x \neq 6$. Число $6$ попадает в интервал $(5; 7)$, поэтому мы должны его исключить.

Итоговая область определения: $(-\infty; 0) \cup (5; 6) \cup (6; 7)$.

Ответ: $x \in (-\infty; 0) \cup (5; 6) \cup (6; 7)$.

Помогло решение? Оставьте отзыв в комментариях ниже.

Присоединяйтесь к Телеграм-группе @gdz_by_belarus

Присоединиться

Мы подготовили для вас ответ c подробным объяснением домашего задания по алгебре за 11 класс, для упражнения номер 3.99 расположенного на странице 125 к учебнику 2020 года издания для учащихся школ и гимназий.

Теперь на нашем сайте ГДЗ.ТОП вы всегда легко и бесплатно найдёте условие с правильным ответом на вопрос «Как решить ДЗ» и «Как сделать» задание по алгебре к упражнению №3.99 (с. 125), авторов: Арефьева (Ирина Глебовна), Пирютко (Ольга Николаевна), учебного пособия издательства Народная асвета.