Номер 3.156, страница 140 - гдз по алгебре 11 класс учебник Арефьева, Пирютко

Алгебра, 11 класс Учебник, авторы: Арефьева Ирина Глебовна, Пирютко Ольга Николаевна, издательство Народная асвета, Минск, 2020, бирюзового цвета

Авторы: Арефьева И. Г., Пирютко О. Н.

Тип: Учебник

Издательство: Народная асвета

Год издания: 2020 - 2026

Цвет обложки: бирюзовый, зелёный с графиком

ISBN: 978-985-03-3165-6

Популярные ГДЗ в 11 классе

Глава 3. Логарифмическая функция. Параграф 9. Логарифмические уравнения - номер 3.156, страница 140.

№3.156 (с. 140)
Условие. №3.156 (с. 140)
скриншот условия
Алгебра, 11 класс Учебник, авторы: Арефьева Ирина Глебовна, Пирютко Ольга Николаевна, издательство Народная асвета, Минск, 2020, бирюзового цвета, страница 140, номер 3.156, Условие

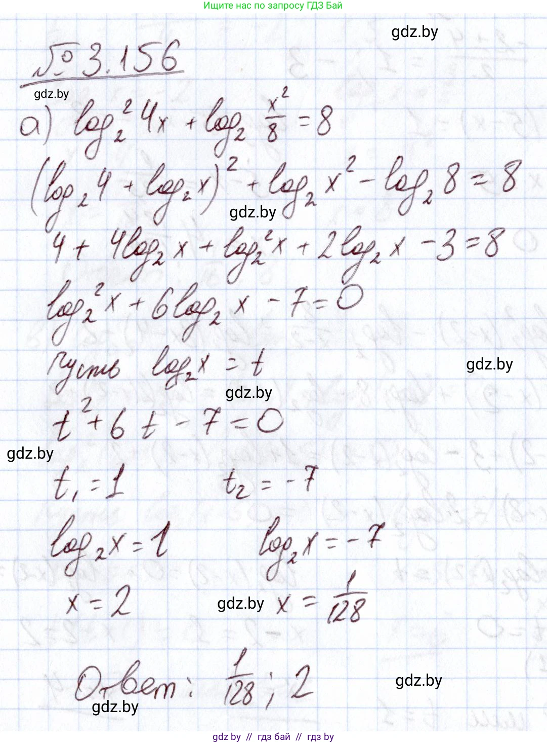
3.156. Решите логарифмическое уравнение:

a) $\log_2^2 4x + \log_2 \frac{x^2}{8} = 8;$

б) $\lg^2 (100x) + \lg^2 (10x) - 14 = \lg \frac{1}{x}.$

Решение. №3.156 (с. 140)
Алгебра, 11 класс Учебник, авторы: Арефьева Ирина Глебовна, Пирютко Ольга Николаевна, издательство Народная асвета, Минск, 2020, бирюзового цвета, страница 140, номер 3.156, Решение Алгебра, 11 класс Учебник, авторы: Арефьева Ирина Глебовна, Пирютко Ольга Николаевна, издательство Народная асвета, Минск, 2020, бирюзового цвета, страница 140, номер 3.156, Решение (продолжение 2)
Решение 2. №3.156 (с. 140)

а) $\log_2^2 4x + \log_2 \frac{x^2}{8} = 8$

Определим область допустимых значений (ОДЗ). Аргументы логарифмов должны быть строго положительными: $4x > 0$ и $\frac{x^2}{8} > 0$. Из этих условий следует, что $x > 0$.

Используя свойства логарифмов $\log_a (bc) = \log_a b + \log_a c$ и $\log_a \frac{b}{c} = \log_a b - \log_a c$, преобразуем уравнение. Заметим, что $\log_2^2 4x$ это $(\log_2(4x))^2$. $\log_2(4x) = \log_2 4 + \log_2 x = 2 + \log_2 x$. $\log_2 \frac{x^2}{8} = \log_2 x^2 - \log_2 8 = 2\log_2 x - 3$.

Подставим эти выражения в исходное уравнение: $(2 + \log_2 x)^2 + (2\log_2 x - 3) = 8$.

Введем замену переменной $t = \log_2 x$. Уравнение примет вид: $(2 + t)^2 + 2t - 3 = 8$.

Раскроем скобки и приведем подобные слагаемые: $4 + 4t + t^2 + 2t - 3 = 8$ $t^2 + 6t + 1 = 8$ $t^2 + 6t - 7 = 0$.

Решим полученное квадратное уравнение. По теореме Виета, сумма корней равна $-6$, а произведение равно $-7$. Корни уравнения: $t_1 = 1$ и $t_2 = -7$.

Выполним обратную замену: 1) $\log_2 x = t_1 = 1 \implies x = 2^1 = 2$. 2) $\log_2 x = t_2 = -7 \implies x = 2^{-7} = \frac{1}{128}$.

Оба найденных значения $x$ удовлетворяют ОДЗ ($x > 0$). Ответ: $2; \frac{1}{128}$.

б) $\lg^2(100x) + \lg^2(10x) - 14 = \lg \frac{1}{x}$

Область допустимых значений (ОДЗ) определяется условиями $100x > 0$, $10x > 0$ и $\frac{1}{x} > 0$. Все эти условия эквивалентны $x > 0$.

Используем свойства десятичного логарифма ($\lg x = \log_{10} x$): $\lg(100x) = \lg 100 + \lg x = 2 + \lg x$. $\lg(10x) = \lg 10 + \lg x = 1 + \lg x$. $\lg \frac{1}{x} = \lg x^{-1} = -\lg x$.

Подставим преобразованные выражения в уравнение. Учитывая, что $\lg^2(100x) = (\lg(100x))^2$ и $\lg^2(10x) = (\lg(10x))^2$: $(2 + \lg x)^2 + (1 + \lg x)^2 - 14 = -\lg x$.

Введем замену переменной $t = \lg x$: $(2 + t)^2 + (1 + t)^2 - 14 = -t$.

Раскроем скобки и решим полученное уравнение: $(4 + 4t + t^2) + (1 + 2t + t^2) - 14 = -t$ $2t^2 + 6t - 9 = -t$ $2t^2 + 7t - 9 = 0$.

Решим это квадратное уравнение. Дискриминант $D = b^2 - 4ac = 7^2 - 4(2)(-9) = 49 + 72 = 121 = 11^2$. Корни уравнения: $t_1 = \frac{-7 + \sqrt{121}}{2 \cdot 2} = \frac{-7 + 11}{4} = \frac{4}{4} = 1$. $t_2 = \frac{-7 - \sqrt{121}}{2 \cdot 2} = \frac{-7 - 11}{4} = \frac{-18}{4} = -\frac{9}{2}$.

Выполним обратную замену: 1) $\lg x = t_1 = 1 \implies x = 10^1 = 10$. 2) $\lg x = t_2 = -\frac{9}{2} \implies x = 10^{-9/2}$.

Оба корня ($10$ и $10^{-9/2}$) положительны и удовлетворяют ОДЗ. Ответ: $10; 10^{-9/2}$.

Помогло решение? Оставьте отзыв в комментариях ниже.

Присоединяйтесь к Телеграм-группе @gdz_by_belarus

Присоединиться

Мы подготовили для вас ответ c подробным объяснением домашего задания по алгебре за 11 класс, для упражнения номер 3.156 расположенного на странице 140 к учебнику 2020 года издания для учащихся школ и гимназий.

Теперь на нашем сайте ГДЗ.ТОП вы всегда легко и бесплатно найдёте условие с правильным ответом на вопрос «Как решить ДЗ» и «Как сделать» задание по алгебре к упражнению №3.156 (с. 140), авторов: Арефьева (Ирина Глебовна), Пирютко (Ольга Николаевна), учебного пособия издательства Народная асвета.