Номер 3.213, страница 146 - гдз по алгебре 11 класс учебник Арефьева, Пирютко

Алгебра, 11 класс Учебник, авторы: Арефьева Ирина Глебовна, Пирютко Ольга Николаевна, издательство Народная асвета, Минск, 2020, бирюзового цвета

Авторы: Арефьева И. Г., Пирютко О. Н.

Тип: Учебник

Издательство: Народная асвета

Год издания: 2020 - 2026

Цвет обложки: бирюзовый, зелёный с графиком

ISBN: 978-985-03-3165-6

Популярные ГДЗ в 11 классе

Глава 3. Логарифмическая функция. Параграф 9. Логарифмические уравнения - номер 3.213, страница 146.

№3.213 (с. 146)
Условие. №3.213 (с. 146)
скриншот условия
Алгебра, 11 класс Учебник, авторы: Арефьева Ирина Глебовна, Пирютко Ольга Николаевна, издательство Народная асвета, Минск, 2020, бирюзового цвета, страница 146, номер 3.213, Условие

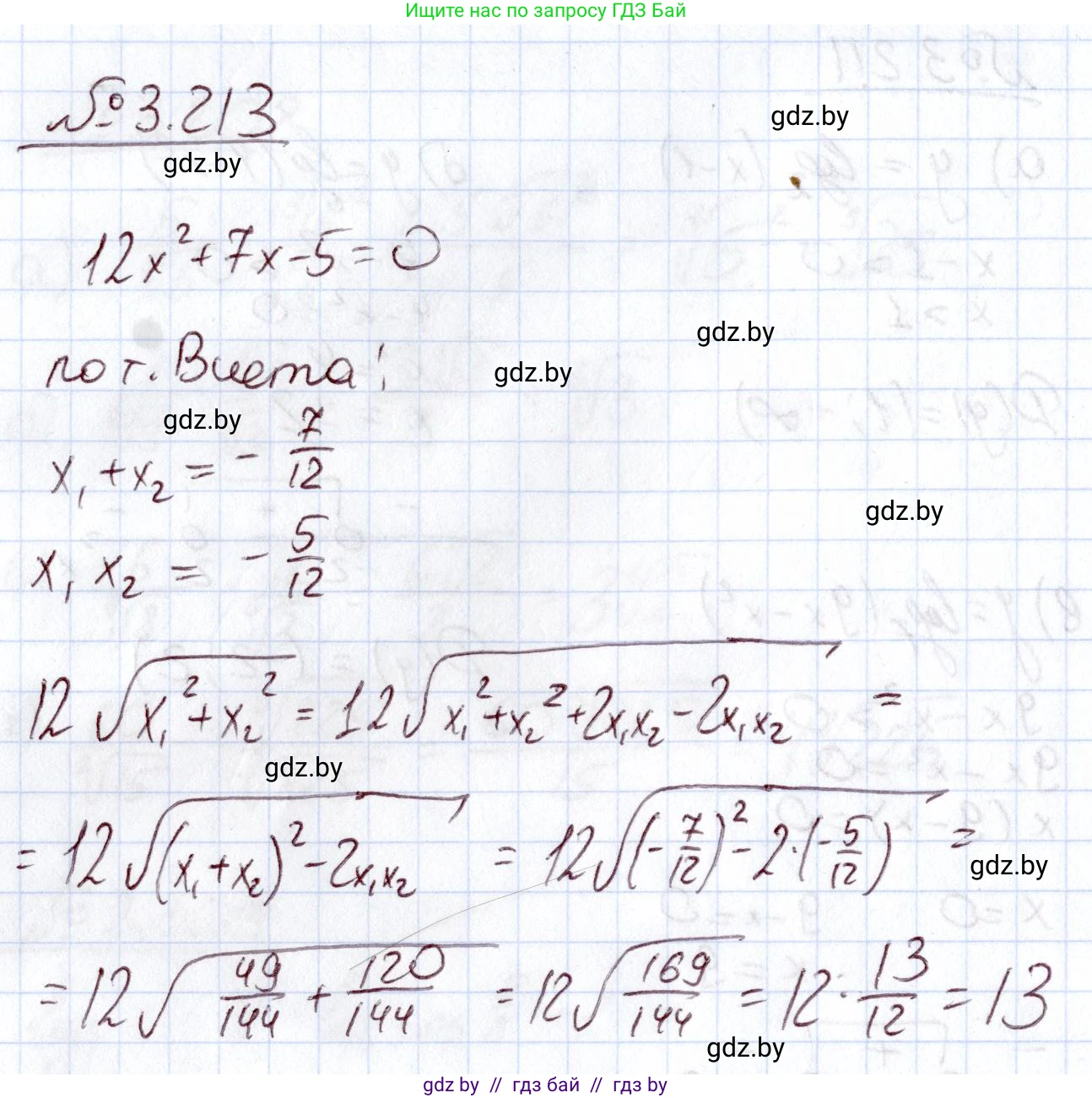
3.213. Найдите значение выражения $12\sqrt{x_1^2 + x_2^2}$, если $x_1$ и $x_2$ — корни уравнения $12x^2 + 7x - 5 = 0$.

Решение. №3.213 (с. 146)
Алгебра, 11 класс Учебник, авторы: Арефьева Ирина Глебовна, Пирютко Ольга Николаевна, издательство Народная асвета, Минск, 2020, бирюзового цвета, страница 146, номер 3.213, Решение
Решение 2. №3.213 (с. 146)

Для решения данной задачи воспользуемся теоремой Виета для квадратного уравнения вида $ax^2+bx+c=0$. Согласно этой теореме, сумма корней $x_1$ и $x_2$ равна $-\frac{b}{a}$, а их произведение равно $\frac{c}{a}$.

В нашем уравнении $12x^2+7x-5=0$ коэффициенты равны: $a=12$, $b=7$, $c=-5$.

Найдем сумму и произведение корней $x_1$ и $x_2$:

Сумма корней: $x_1+x_2 = -\frac{b}{a} = -\frac{7}{12}$

Произведение корней: $x_1 \cdot x_2 = \frac{c}{a} = -\frac{5}{12}$

Теперь преобразуем выражение под корнем $x_1^2+x_2^2$. Для этого воспользуемся формулой квадрата суммы: $(x_1+x_2)^2 = x_1^2 + 2x_1x_2 + x_2^2$.

Отсюда выразим сумму квадратов корней:

$x_1^2+x_2^2 = (x_1+x_2)^2 - 2x_1x_2$

Подставим найденные значения суммы и произведения корней в это выражение:

$x_1^2+x_2^2 = \left(-\frac{7}{12}\right)^2 - 2\left(-\frac{5}{12}\right) = \frac{49}{144} + \frac{10}{12}$

Приведем дроби к общему знаменателю 144:

$\frac{49}{144} + \frac{10 \cdot 12}{12 \cdot 12} = \frac{49}{144} + \frac{120}{144} = \frac{49+120}{144} = \frac{169}{144}$

Теперь подставим полученное значение в исходное выражение $12\sqrt{x_1^2+x_2^2}$:

$12\sqrt{\frac{169}{144}} = 12 \cdot \frac{\sqrt{169}}{\sqrt{144}} = 12 \cdot \frac{13}{12}$

Сократив 12, получаем:

$13$

Ответ: 13

Помогло решение? Оставьте отзыв в комментариях ниже.

Присоединяйтесь к Телеграм-группе @gdz_by_belarus

Присоединиться

Мы подготовили для вас ответ c подробным объяснением домашего задания по алгебре за 11 класс, для упражнения номер 3.213 расположенного на странице 146 к учебнику 2020 года издания для учащихся школ и гимназий.

Теперь на нашем сайте ГДЗ.ТОП вы всегда легко и бесплатно найдёте условие с правильным ответом на вопрос «Как решить ДЗ» и «Как сделать» задание по алгебре к упражнению №3.213 (с. 146), авторов: Арефьева (Ирина Глебовна), Пирютко (Ольга Николаевна), учебного пособия издательства Народная асвета.