Номер 228, страница 193 - гдз по алгебре 11 класс учебник Арефьева, Пирютко

Алгебра, 11 класс Учебник, авторы: Арефьева Ирина Глебовна, Пирютко Ольга Николаевна, издательство Народная асвета, Минск, 2020, бирюзового цвета

Авторы: Арефьева И. Г., Пирютко О. Н.

Тип: Учебник

Издательство: Народная асвета

Год издания: 2020 - 2026

Цвет обложки: бирюзовый, зелёный с графиком

ISBN: 978-985-03-3165-6

Популярные ГДЗ в 11 классе

Упражнения для итогового повторения. Выражения и их преобразования - номер 228, страница 193.

№228 (с. 193)
Условие. №228 (с. 193)
скриншот условия
Алгебра, 11 класс Учебник, авторы: Арефьева Ирина Глебовна, Пирютко Ольга Николаевна, издательство Народная асвета, Минск, 2020, бирюзового цвета, страница 193, номер 228, Условие

228. Найдите корни уравнения:

a) $\sqrt{x+2} - \sqrt{x-6} = 2;$

б) $\sqrt{x-5} + \sqrt{10-x} = 3;$

в) $\sqrt{3x+1} - \sqrt{x+1} = 2;$

г) $\sqrt{11x-2} + 3\sqrt{x} = 6.$

Решение. №228 (с. 193)
Алгебра, 11 класс Учебник, авторы: Арефьева Ирина Глебовна, Пирютко Ольга Николаевна, издательство Народная асвета, Минск, 2020, бирюзового цвета, страница 193, номер 228, Решение Алгебра, 11 класс Учебник, авторы: Арефьева Ирина Глебовна, Пирютко Ольга Николаевна, издательство Народная асвета, Минск, 2020, бирюзового цвета, страница 193, номер 228, Решение (продолжение 2)
Решение 2. №228 (с. 193)

а) $\sqrt{x + 2} - \sqrt{x - 6} = 2$

Сначала найдем область допустимых значений (ОДЗ). Выражения под знаком корня должны быть неотрицательными:

$x + 2 \ge 0 \implies x \ge -2$
$x - 6 \ge 0 \implies x \ge 6$

Пересечением этих двух условий является $x \ge 6$. Таким образом, ОДЗ: $x \in [6; +\infty)$.

Перенесем один из корней в правую часть уравнения, чтобы упростить возведение в квадрат:

$\sqrt{x + 2} = 2 + \sqrt{x - 6}$

Теперь возведем обе части уравнения в квадрат:

$(\sqrt{x + 2})^2 = (2 + \sqrt{x - 6})^2$

$x + 2 = 4 + 4\sqrt{x - 6} + (x - 6)$

Упростим полученное выражение:

$x + 2 = x - 2 + 4\sqrt{x - 6}$

Приведем подобные слагаемые и уединим радикал:

$4 = 4\sqrt{x - 6}$

Разделим обе части на 4:

$1 = \sqrt{x - 6}$

Снова возведем обе части в квадрат, чтобы избавиться от оставшегося корня:

$1^2 = (\sqrt{x - 6})^2$

$1 = x - 6$

Отсюда находим $x$:

$x = 7$

Проверим, принадлежит ли найденный корень ОДЗ. Так как $7 \ge 6$, корень подходит. Выполним проверку, подставив $x=7$ в исходное уравнение:

$\sqrt{7 + 2} - \sqrt{7 - 6} = \sqrt{9} - \sqrt{1} = 3 - 1 = 2$

$2 = 2$. Равенство верное, значит, корень найден правильно.

Ответ: 7.

б) $\sqrt{x - 5} + \sqrt{10 - x} = 3$

Найдем ОДЗ:

$x - 5 \ge 0 \implies x \ge 5$
$10 - x \ge 0 \implies x \le 10$

ОДЗ: $x \in [5; 10]$.

Возведем обе части уравнения в квадрат:

$(\sqrt{x - 5} + \sqrt{10 - x})^2 = 3^2$

$(x - 5) + 2\sqrt{(x - 5)(10 - x)} + (10 - x) = 9$

Упростим левую часть:

$5 + 2\sqrt{10x - x^2 - 50 + 5x} = 9$

$2\sqrt{-x^2 + 15x - 50} = 4$

Разделим обе части на 2:

$\sqrt{-x^2 + 15x - 50} = 2$

Снова возведем в квадрат:

$-x^2 + 15x - 50 = 4$

$-x^2 + 15x - 54 = 0$

Умножим на -1, чтобы получить приведенное квадратное уравнение:

$x^2 - 15x + 54 = 0$

Решим уравнение по теореме Виета. Сумма корней равна 15, а их произведение равно 54. Корнями являются:

$x_1 = 6$, $x_2 = 9$

Оба корня, 6 и 9, принадлежат ОДЗ $[5; 10]$.

Проверка для $x = 6$:

$\sqrt{6 - 5} + \sqrt{10 - 6} = \sqrt{1} + \sqrt{4} = 1 + 2 = 3$. Верно.

Проверка для $x = 9$:

$\sqrt{9 - 5} + \sqrt{10 - 9} = \sqrt{4} + \sqrt{1} = 2 + 1 = 3$. Верно.

Ответ: 6; 9.

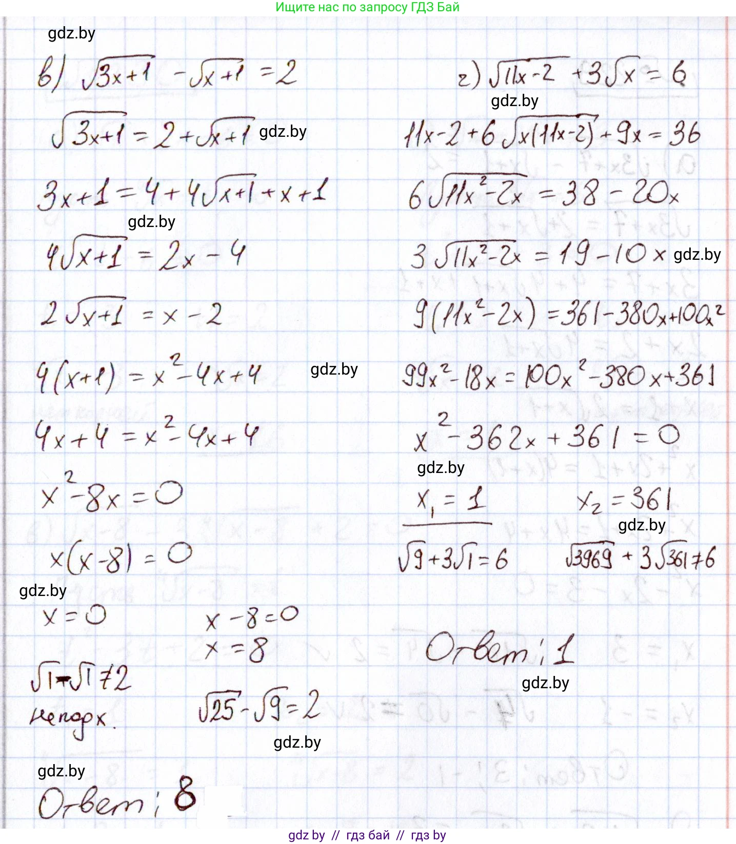
в) $\sqrt{3x + 1} - \sqrt{x + 1} = 2$

Найдем ОДЗ:

$3x + 1 \ge 0 \implies x \ge -1/3$
$x + 1 \ge 0 \implies x \ge -1$

ОДЗ: $x \in [-1/3; +\infty)$.

Перенесем корень в правую часть:

$\sqrt{3x + 1} = 2 + \sqrt{x + 1}$

Возведем обе части в квадрат:

$(\sqrt{3x + 1})^2 = (2 + \sqrt{x + 1})^2$

$3x + 1 = 4 + 4\sqrt{x + 1} + (x + 1)$

$3x + 1 = x + 5 + 4\sqrt{x + 1}$

Уединим оставшийся корень:

$2x - 4 = 4\sqrt{x + 1}$

Разделим обе части на 2:

$x - 2 = 2\sqrt{x + 1}$

Так как правая часть $2\sqrt{x + 1}$ неотрицательна, то и левая часть должна быть неотрицательной: $x - 2 \ge 0$, то есть $x \ge 2$. Это условие является более строгим, чем ОДЗ.

Возведем в квадрат обе части уравнения $x - 2 = 2\sqrt{x + 1}$ при условии $x \ge 2$:

$(x - 2)^2 = (2\sqrt{x + 1})^2$

$x^2 - 4x + 4 = 4(x + 1)$

$x^2 - 4x + 4 = 4x + 4$

$x^2 - 8x = 0$

$x(x - 8) = 0$

Получаем два возможных корня: $x_1 = 0$ и $x_2 = 8$.

Проверим корни на соответствие условию $x \ge 2$.

$x_1 = 0$ не удовлетворяет этому условию ($0 < 2$), поэтому это посторонний корень.

$x_2 = 8$ удовлетворяет условию ($8 \ge 2$).

Выполним проверку, подставив $x = 8$ в исходное уравнение:

$\sqrt{3 \cdot 8 + 1} - \sqrt{8 + 1} = \sqrt{25} - \sqrt{9} = 5 - 3 = 2$. Верно.

Ответ: 8.

г) $\sqrt{11x - 2} + 3\sqrt{x} = 6$

Найдем ОДЗ:

$11x - 2 \ge 0 \implies x \ge 2/11$
$x \ge 0$

ОДЗ: $x \in [2/11; +\infty)$.

Уединим один из корней:

$\sqrt{11x - 2} = 6 - 3\sqrt{x}$

Правая часть уравнения должна быть неотрицательной: $6 - 3\sqrt{x} \ge 0$, что приводит к $6 \ge 3\sqrt{x}$, или $2 \ge \sqrt{x}$. Возведя в квадрат, получаем $4 \ge x$. Таким образом, корень должен лежать в промежутке $[2/11; 4]$.

Возведем обе части уравнения $\sqrt{11x - 2} = 6 - 3\sqrt{x}$ в квадрат:

$(\sqrt{11x - 2})^2 = (6 - 3\sqrt{x})^2$

$11x - 2 = 36 - 36\sqrt{x} + 9x$

Соберем члены, содержащие $x$, в левой части, а свободные члены - в правой:

$2x - 38 = -36\sqrt{x}$

Разделим обе части на 2:

$x - 19 = -18\sqrt{x}$

Сделаем замену переменной. Пусть $y = \sqrt{x}$, где $y \ge 0$. Тогда $x = y^2$. Уравнение примет вид:

$y^2 - 19 = -18y$

$y^2 + 18y - 19 = 0$

Решим это квадратное уравнение относительно $y$. По теореме Виета, сумма корней равна -18, произведение -19. Корни: $y_1 = 1$ и $y_2 = -19$.

Так как $y = \sqrt{x}$, то $y$ не может быть отрицательным. Поэтому $y = -19$ является посторонним корнем. Остается $y = 1$.

Вернемся к исходной переменной: $\sqrt{x} = 1 \implies x = 1$.

Проверим, удовлетворяет ли корень $x=1$ найденным ограничениям $x \in [2/11; 4]$. Да, $2/11 \le 1 \le 4$.

Подставим $x=1$ в исходное уравнение для проверки:

$\sqrt{11 \cdot 1 - 2} + 3\sqrt{1} = \sqrt{9} + 3 \cdot 1 = 3 + 3 = 6$. Верно.

Ответ: 1.

Помогло решение? Оставьте отзыв в комментариях ниже.

Присоединяйтесь к Телеграм-группе @gdz_by_belarus

Присоединиться

Мы подготовили для вас ответ c подробным объяснением домашего задания по алгебре за 11 класс, для упражнения номер 228 расположенного на странице 193 к учебнику 2020 года издания для учащихся школ и гимназий.

Теперь на нашем сайте ГДЗ.ТОП вы всегда легко и бесплатно найдёте условие с правильным ответом на вопрос «Как решить ДЗ» и «Как сделать» задание по алгебре к упражнению №228 (с. 193), авторов: Арефьева (Ирина Глебовна), Пирютко (Ольга Николаевна), учебного пособия издательства Народная асвета.