Номер 270, страница 200 - гдз по алгебре 11 класс учебник Арефьева, Пирютко

Алгебра, 11 класс Учебник, авторы: Арефьева Ирина Глебовна, Пирютко Ольга Николаевна, издательство Народная асвета, Минск, 2020, бирюзового цвета

Авторы: Арефьева И. Г., Пирютко О. Н.

Тип: Учебник

Издательство: Народная асвета

Год издания: 2020 - 2026

Цвет обложки: бирюзовый, зелёный с графиком

ISBN: 978-985-03-3165-6

Популярные ГДЗ в 11 классе

Упражнения для итогового повторения. Выражения и их преобразования - номер 270, страница 200.

№270 (с. 200)
Условие. №270 (с. 200)
скриншот условия
Алгебра, 11 класс Учебник, авторы: Арефьева Ирина Глебовна, Пирютко Ольга Николаевна, издательство Народная асвета, Минск, 2020, бирюзового цвета, страница 200, номер 270, Условие

270. Решите неравенство, используя свойства логарифмов:

а) $\lg(x - 2) + \lg(27 - x) < 2;$

б) $\log_{0.5}(x + 1) - \log_2(x - 2) > -2;$

в) $\log_{\frac{1}{6}}(x - 1) + \log_{\frac{1}{6}}(x + 4) \ge -1;$

г) $\log_{\frac{\sqrt{2}}{2}}(x - 1) + \log_2(x - 1) > -2.$

Решение. №270 (с. 200)
Алгебра, 11 класс Учебник, авторы: Арефьева Ирина Глебовна, Пирютко Ольга Николаевна, издательство Народная асвета, Минск, 2020, бирюзового цвета, страница 200, номер 270, Решение Алгебра, 11 класс Учебник, авторы: Арефьева Ирина Глебовна, Пирютко Ольга Николаевна, издательство Народная асвета, Минск, 2020, бирюзового цвета, страница 200, номер 270, Решение (продолжение 2)
Решение 2. №270 (с. 200)

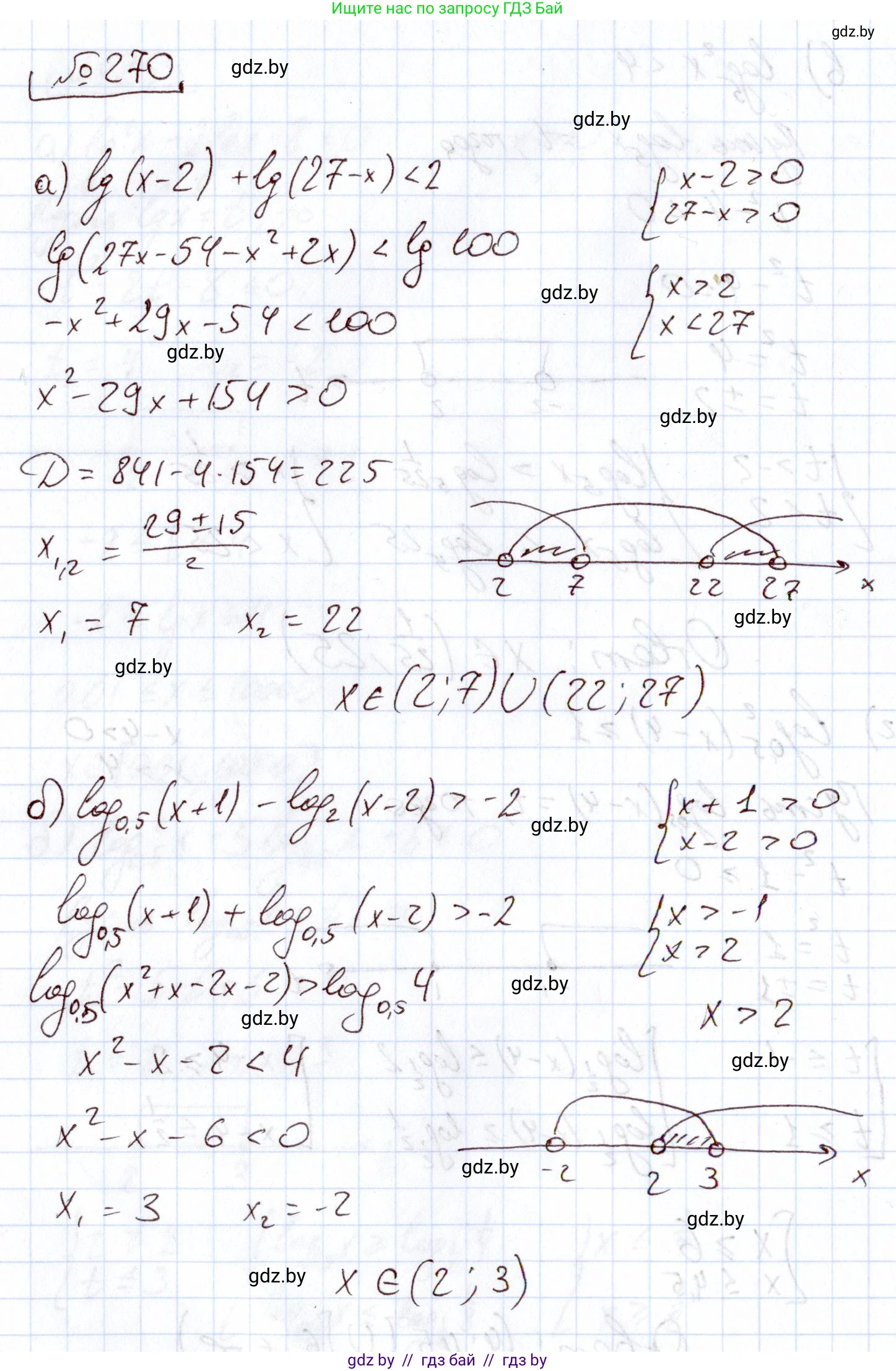
а) $ \lg(x - 2) + \lg(27 - x) < 2 $
Первым шагом найдем область допустимых значений (ОДЗ). Аргументы логарифмов должны быть строго положительными:
$ \begin{cases} x - 2 > 0 \\ 27 - x > 0 \end{cases} $
$ \begin{cases} x > 2 \\ x < 27 \end{cases} $
Таким образом, ОДЗ: $ x \in (2, 27) $.
Теперь решим само неравенство. Воспользуемся свойством суммы логарифмов $ \log_a b + \log_a c = \log_a (bc) $:
$ \lg((x - 2)(27 - x)) < 2 $
Представим правую часть в виде десятичного логарифма: $ 2 = \lg(10^2) = \lg(100) $.
$ \lg((x - 2)(27 - x)) < \lg(100) $
Так как основание логарифма $ 10 > 1 $, знак неравенства при переходе к аргументам сохраняется:
$ (x - 2)(27 - x) < 100 $
$ 27x - x^2 - 54 + 2x < 100 $
$ -x^2 + 29x - 54 - 100 < 0 $
$ -x^2 + 29x - 154 < 0 $
Умножим обе части на -1, изменив знак неравенства на противоположный:
$ x^2 - 29x + 154 > 0 $
Найдем корни соответствующего квадратного уравнения $ x^2 - 29x + 154 = 0 $.
Дискриминант $ D = b^2 - 4ac = (-29)^2 - 4 \cdot 1 \cdot 154 = 841 - 616 = 225 = 15^2 $.
$ x_1 = \frac{29 - 15}{2} = \frac{14}{2} = 7 $
$ x_2 = \frac{29 + 15}{2} = \frac{44}{2} = 22 $
Парабола $ y = x^2 - 29x + 154 $ направлена ветвями вверх, поэтому неравенство $ > 0 $ выполняется при $ x < 7 $ или $ x > 22 $. То есть $ x \in (-\infty, 7) \cup (22, \infty) $.
Найдем пересечение полученного решения с ОДЗ $ x \in (2, 27) $:
$ ((-\infty, 7) \cup (22, \infty)) \cap (2, 27) = (2, 7) \cup (22, 27) $.
Ответ: $ (2, 7) \cup (22, 27) $.

б) $ \log_{0.5}(x + 1) - \log_2(x - 2) > -2 $
Найдем ОДЗ:
$ \begin{cases} x + 1 > 0 \\ x - 2 > 0 \end{cases} $
$ \begin{cases} x > -1 \\ x > 2 \end{cases} $
ОДЗ: $ x \in (2, \infty) $.
Приведем логарифмы к одному основанию 2. Используем свойство $ \log_{a^k} b = \frac{1}{k}\log_a b $:
$ \log_{0.5}(x + 1) = \log_{2^{-1}}(x + 1) = -1 \cdot \log_2(x+1) = -\log_2(x+1) $.
Подставим в исходное неравенство:
$ -\log_2(x + 1) - \log_2(x - 2) > -2 $
Умножим на -1, изменив знак неравенства:
$ \log_2(x + 1) + \log_2(x - 2) < 2 $
Применим свойство суммы логарифмов:
$ \log_2((x + 1)(x - 2)) < 2 $
$ \log_2((x + 1)(x - 2)) < \log_2(2^2) $
$ \log_2(x^2 - x - 2) < \log_2(4) $
Так как основание $ 2 > 1 $, знак неравенства сохраняется:
$ x^2 - x - 2 < 4 $
$ x^2 - x - 6 < 0 $
Найдем корни уравнения $ x^2 - x - 6 = 0 $. По теореме Виета, корни $ x_1 = -2, x_2 = 3 $.
Парабола $ y = x^2 - x - 6 $ направлена ветвями вверх, поэтому неравенство $ < 0 $ выполняется между корнями: $ x \in (-2, 3) $.
Пересечем с ОДЗ $ x \in (2, \infty) $:
$ (-2, 3) \cap (2, \infty) = (2, 3) $.
Ответ: $ (2, 3) $.

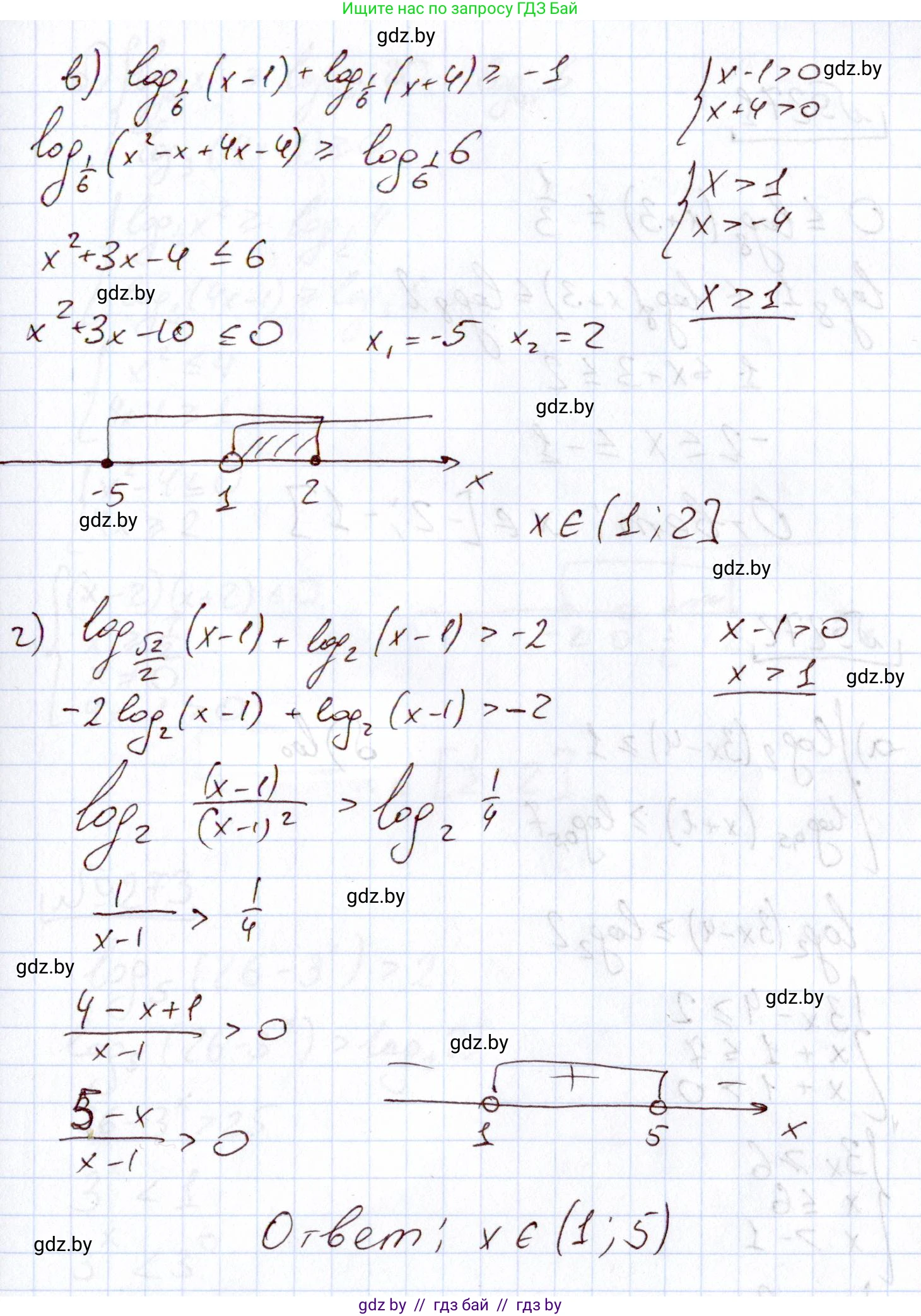
в) $ \log_{\frac{1}{6}}(x - 1) + \log_{\frac{1}{6}}(x + 4) \ge -1 $
Найдем ОДЗ:
$ \begin{cases} x - 1 > 0 \\ x + 4 > 0 \end{cases} $
$ \begin{cases} x > 1 \\ x > -4 \end{cases} $
ОДЗ: $ x \in (1, \infty) $.
Используем свойство суммы логарифмов:
$ \log_{\frac{1}{6}}((x - 1)(x + 4)) \ge -1 $
Представим правую часть в виде логарифма по основанию $ \frac{1}{6} $: $ -1 = \log_{\frac{1}{6}}((\frac{1}{6})^{-1}) = \log_{\frac{1}{6}}(6) $.
$ \log_{\frac{1}{6}}((x - 1)(x + 4)) \ge \log_{\frac{1}{6}}(6) $
Так как основание $ 0 < \frac{1}{6} < 1 $, то при переходе к аргументам знак неравенства меняется на противоположный:
$ (x - 1)(x + 4) \le 6 $
$ x^2 + 4x - x - 4 \le 6 $
$ x^2 + 3x - 10 \le 0 $
Найдем корни уравнения $ x^2 + 3x - 10 = 0 $. По теореме Виета, корни $ x_1 = -5, x_2 = 2 $.
Парабола $ y = x^2 + 3x - 10 $ направлена ветвями вверх, поэтому неравенство $ \le 0 $ выполняется между корнями, включая их: $ x \in [-5, 2] $.
Пересечем с ОДЗ $ x \in (1, \infty) $:
$ [-5, 2] \cap (1, \infty) = (1, 2] $.
Ответ: $ (1, 2] $.

г) $ \log_{\frac{\sqrt{2}}{2}}(x - 1) + \log_2(x - 1) > -2 $
Найдем ОДЗ: $ x - 1 > 0 $, откуда $ x > 1 $. ОДЗ: $ x \in (1, \infty) $.
Приведем логарифмы к одному основанию 2. Преобразуем основание первого логарифма:
$ \frac{\sqrt{2}}{2} = \frac{2^{1/2}}{2^1} = 2^{1/2 - 1} = 2^{-1/2} $.
Используем формулу перехода к новому основанию $ \log_{a^k} b = \frac{1}{k}\log_a b $:
$ \log_{\frac{\sqrt{2}}{2}}(x - 1) = \log_{2^{-1/2}}(x - 1) = \frac{1}{-1/2} \log_2(x - 1) = -2\log_2(x - 1) $.
Подставим в неравенство:
$ -2\log_2(x - 1) + \log_2(x - 1) > -2 $
$ -\log_2(x - 1) > -2 $
Умножим на -1, изменив знак неравенства:
$ \log_2(x - 1) < 2 $
$ \log_2(x - 1) < \log_2(2^2) $
$ \log_2(x - 1) < \log_2(4) $
Так как основание $ 2 > 1 $, знак неравенства сохраняется:
$ x - 1 < 4 $
$ x < 5 $
Пересечем с ОДЗ $ x \in (1, \infty) $:
$ (-\infty, 5) \cap (1, \infty) = (1, 5) $.
Ответ: $ (1, 5) $.

Помогло решение? Оставьте отзыв в комментариях ниже.

Присоединяйтесь к Телеграм-группе @gdz_by_belarus

Присоединиться

Мы подготовили для вас ответ c подробным объяснением домашего задания по алгебре за 11 класс, для упражнения номер 270 расположенного на странице 200 к учебнику 2020 года издания для учащихся школ и гимназий.

Теперь на нашем сайте ГДЗ.ТОП вы всегда легко и бесплатно найдёте условие с правильным ответом на вопрос «Как решить ДЗ» и «Как сделать» задание по алгебре к упражнению №270 (с. 200), авторов: Арефьева (Ирина Глебовна), Пирютко (Ольга Николаевна), учебного пособия издательства Народная асвета.