Номер 383, страница 215 - гдз по алгебре 11 класс учебник Арефьева, Пирютко

Алгебра, 11 класс Учебник, авторы: Арефьева Ирина Глебовна, Пирютко Ольга Николаевна, издательство Народная асвета, Минск, 2020, бирюзового цвета

Авторы: Арефьева И. Г., Пирютко О. Н.

Тип: Учебник

Издательство: Народная асвета

Год издания: 2020 - 2026

Цвет обложки: бирюзовый, зелёный с графиком

ISBN: 978-985-03-3165-6

Популярные ГДЗ в 11 классе

Упражнения для итогового повторения. Функции и их свойства - номер 383, страница 215.

№383 (с. 215)
Условие. №383 (с. 215)
скриншот условия
Алгебра, 11 класс Учебник, авторы: Арефьева Ирина Глебовна, Пирютко Ольга Николаевна, издательство Народная асвета, Минск, 2020, бирюзового цвета, страница 215, номер 383, Условие

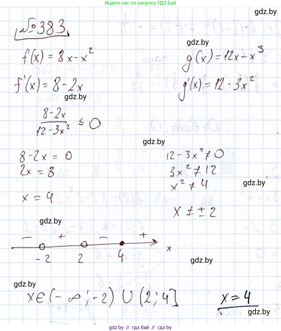
383. Найти наибольшее целое решение неравенства $ \frac{f'(x)}{g'(x)} \le 0 $, где

$ f(x) = 8x - x^2 $, $ g(x) = 12x - x^3 $.

Решение. №383 (с. 215)
Алгебра, 11 класс Учебник, авторы: Арефьева Ирина Глебовна, Пирютко Ольга Николаевна, издательство Народная асвета, Минск, 2020, бирюзового цвета, страница 215, номер 383, Решение
Решение 2. №383 (с. 215)

Для решения неравенства $\frac{f'(x)}{g'(x)} \le 0$ необходимо найти производные функций $f(x)$ и $g(x)$, подставить их в неравенство и решить его.

Даны функции:

$f(x) = 8x - x^2$

$g(x) = 12x - x^3$

1. Находим производные функций.

Производная функции $f(x)$:

$f'(x) = (8x - x^2)' = 8 \cdot 1 - 2x^{2-1} = 8 - 2x$

Производная функции $g(x)$:

$g'(x) = (12x - x^3)' = 12 \cdot 1 - 3x^{3-1} = 12 - 3x^2$

2. Составляем и решаем неравенство.

Подставляем найденные производные в исходное неравенство:

$\frac{8 - 2x}{12 - 3x^2} \le 0$

Для решения этого рационального неравенства применим метод интервалов. Сначала найдем точки, в которых числитель или знаменатель равны нулю.

Приравняем числитель к нулю:

$8 - 2x = 0$

$2x = 8$

$x = 4$

Так как неравенство нестрогое ($\le$), точка $x=4$ является решением и будет включена в ответ (обозначается на оси закрашенной точкой).

Приравняем знаменатель к нулю, чтобы найти точки, в которых выражение не определено:

$12 - 3x^2 = 0$

$3x^2 = 12$

$x^2 = 4$

$x_1 = -2$, $x_2 = 2$

Эти точки (точки разрыва) не входят в область допустимых значений, поэтому они будут исключены из решения (обозначаются на оси "выколотыми" точками).

3. Определяем знаки на интервалах.

Нанесем точки -2, 2 и 4 на числовую ось. Они разбивают ось на четыре интервала: $(-\infty, -2)$, $(-2, 2)$, $(2, 4)$ и $(4, +\infty)$. Определим знак выражения $\frac{8 - 2x}{12 - 3x^2}$ в каждом интервале.

  • Интервал $(-\infty, -2)$: возьмем $x = -3$. $\frac{8 - 2(-3)}{12 - 3(-3)^2} = \frac{8+6}{12-27} = \frac{14}{-15} < 0$. Знак "минус", интервал подходит.
  • Интервал $(-2, 2)$: возьмем $x = 0$. $\frac{8 - 2(0)}{12 - 3(0)^2} = \frac{8}{12} > 0$. Знак "плюс", интервал не подходит.
  • Интервал $(2, 4)$: возьмем $x = 3$. $\frac{8 - 2(3)}{12 - 3(3)^2} = \frac{8-6}{12-27} = \frac{2}{-15} < 0$. Знак "минус", интервал подходит.
  • Интервал $(4, +\infty)$: возьмем $x = 5$. $\frac{8 - 2(5)}{12 - 3(5)^2} = \frac{8-10}{12-75} = \frac{-2}{-63} > 0$. Знак "плюс", интервал не подходит.

Объединяя подходящие интервалы и учитывая включенные и выколотые точки, получаем решение неравенства:

$x \in (-\infty, -2) \cup (2, 4]$

4. Находим наибольшее целое решение.

Нам нужно найти наибольшее целое число, принадлежащее множеству решений $(-\infty, -2) \cup (2, 4]$.

Целые числа из этого множества: ..., -4, -3, а также 3, 4.

Самым большим целым числом из этого набора является 4.

Ответ: 4

Помогло решение? Оставьте отзыв в комментариях ниже.

Присоединяйтесь к Телеграм-группе @gdz_by_belarus

Присоединиться

Мы подготовили для вас ответ c подробным объяснением домашего задания по алгебре за 11 класс, для упражнения номер 383 расположенного на странице 215 к учебнику 2020 года издания для учащихся школ и гимназий.

Теперь на нашем сайте ГДЗ.ТОП вы всегда легко и бесплатно найдёте условие с правильным ответом на вопрос «Как решить ДЗ» и «Как сделать» задание по алгебре к упражнению №383 (с. 215), авторов: Арефьева (Ирина Глебовна), Пирютко (Ольга Николаевна), учебного пособия издательства Народная асвета.